
Stanley Mosk Courthouse Directory 2018-2025 Form


What is the WE REGRET WE MUST RETURN THE JUDGMENT FOR THE REASONS CHECKED
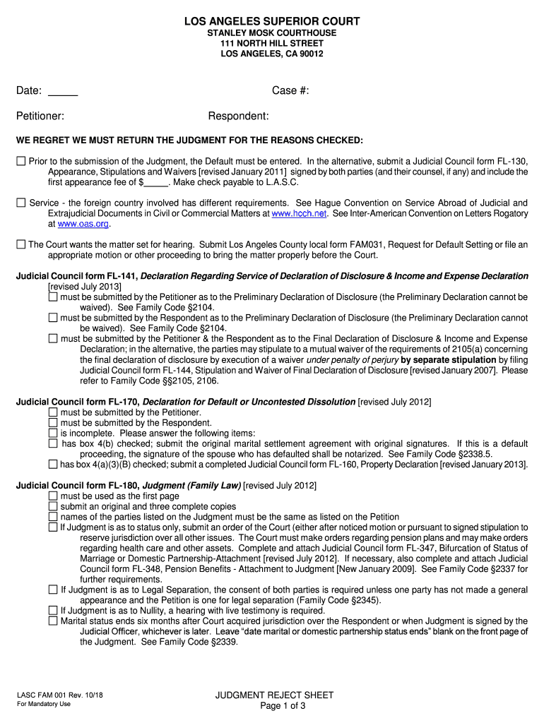
The form titled "WE REGRET WE MUST RETURN THE JUDGMENT FOR THE REASONS CHECKED" is a legal document used within the judicial system, particularly in the context of court proceedings. This form serves as a notification from the court, indicating that a judgment has been returned for specific reasons that are outlined within the document. Understanding the implications of this form is crucial for parties involved in legal matters, as it can affect the outcome of cases and subsequent actions required by the parties.
How to use the WE REGRET WE MUST RETURN THE JUDGMENT FOR THE REASONS CHECKED
Using the "WE REGRET WE MUST RETURN THE JUDGMENT FOR THE REASONS CHECKED" form involves several steps. First, it is important to carefully read the reasons provided for the judgment's return. Each reason may require specific actions or responses from the involved parties. Once the reasons are understood, parties should gather any necessary documentation or evidence to address the concerns raised in the form. Finally, the completed form should be submitted to the appropriate court or legal authority, ensuring compliance with any deadlines specified in the document.
Steps to complete the WE REGRET WE MUST RETURN THE JUDGMENT FOR THE REASONS CHECKED
Completing the "WE REGRET WE MUST RETURN THE JUDGMENT FOR THE REASONS CHECKED" form requires attention to detail. Follow these steps:
- Review the form thoroughly to understand the reasons for the judgment's return.
- Collect any relevant documents that support your case or address the issues raised.
- Fill out the form accurately, ensuring all required fields are completed.
- Attach any supporting documents that are necessary for your response.
- Submit the completed form to the designated court office, either online or in person, as specified.
Key elements of the WE REGRET WE MUST RETURN THE JUDGMENT FOR THE REASONS CHECKED
Key elements of the "WE REGRET WE MUST RETURN THE JUDGMENT FOR THE REASONS CHECKED" form include:
- The specific reasons for the judgment's return, which must be clearly outlined.
- Information about the parties involved in the case, including names and case numbers.
- Instructions on how to respond to the judgment, including any deadlines.
- Signature lines for the appropriate court officials.
Legal use of the WE REGRET WE MUST RETURN THE JUDGMENT FOR THE REASONS CHECKED
The legal use of the "WE REGRET WE MUST RETURN THE JUDGMENT FOR THE REASONS CHECKED" form is significant in ensuring that all parties are informed of the court's decisions. This form is legally binding and must be treated with the utmost seriousness. Failure to respond appropriately can lead to adverse legal consequences, including the potential dismissal of a case or unfavorable judgments. It is advisable to consult with a legal professional when dealing with this form to ensure compliance with all legal requirements.
Quick guide on how to complete stanley mosk courthouse address
Complete stanley mosk courthouse address effortlessly on any device
Digital document management has become popular among businesses and individuals alike. It offers an ideal eco-friendly alternative to traditional printed and signed paperwork, allowing you to locate the appropriate form and securely save it online. airSlate SignNow provides you with all the tools necessary to create, edit, and electronically sign your documents swiftly without delays. Manage stanley mosk courthouse directory on any platform with airSlate SignNow's Android or iOS applications and simplify any document-related process today.
How to modify and eSign 111 n hill st restraining order with ease
- Obtain stanley form and then click Get Form to initiate.
- Utilize the tools we provide to fill out your form.
- Emphasize relevant sections of your documents or redact sensitive information with tools that airSlate SignNow offers specifically for that purpose.
- Create your signature using the Sign tool, which takes mere seconds and holds the same legal validity as a conventional wet ink signature.
- Verify all the details and then click the Done button to save your changes.
- Select how you wish to deliver your form: via email, SMS, or an invitation link, or download it to your computer.
Say goodbye to lost or misplaced documents, tedious form searching, or errors that require printing new copies. airSlate SignNow takes care of all your document management needs in just a few clicks from any device you prefer. Edit and eSign stanley mosk courthouse and ensure excellent communication at any stage of your form preparation process with airSlate SignNow.
Create this form in 5 minutes or less
Find and fill out the correct 111 n hill st restraining order
Related searches to stanley mosk courthouse
Create this form in 5 minutes!
How to create an eSignature for the stanley mosk courthouse address
How to generate an electronic signature for the We Regret We Must Return The Judgment For The Reasons Checked online
How to generate an electronic signature for your We Regret We Must Return The Judgment For The Reasons Checked in Google Chrome
How to generate an electronic signature for putting it on the We Regret We Must Return The Judgment For The Reasons Checked in Gmail
How to make an electronic signature for the We Regret We Must Return The Judgment For The Reasons Checked straight from your smart phone
How to generate an eSignature for the We Regret We Must Return The Judgment For The Reasons Checked on iOS devices
How to create an electronic signature for the We Regret We Must Return The Judgment For The Reasons Checked on Android devices
People also ask 111 n hill st restraining order
-
What is the Stanley Mosk Courthouse directory?
The Stanley Mosk Courthouse directory is an organized list of services, personnel, and departments within the courthouse. It provides essential information for individuals seeking assistance with legal matters and is a vital resource for navigating court processes effectively.
-
How can airSlate SignNow assist with documents related to the Stanley Mosk Courthouse directory?
airSlate SignNow enables users to electronically send and sign documents relevant to court cases, including forms associated with the Stanley Mosk Courthouse directory. This streamlining of document management helps in reducing processing time and enhances overall efficiency in legal proceedings.
-
Are there any fees associated with using the Stanley Mosk Courthouse directory?
Accessing the Stanley Mosk Courthouse directory typically does not involve any fees, as it is a publicly available resource. However, costs may be incurred when using services or documents related to the courthouse that need to be managed through tools like airSlate SignNow.
-
What features does airSlate SignNow offer for users referencing the Stanley Mosk Courthouse directory?
AirSlate SignNow offers various features such as eSigning, document templates, and automated workflows that can signNowly simplify processes for individuals using the Stanley Mosk Courthouse directory. These features are designed to enhance efficiency and ensure compliance with legal requirements.
-
How does airSlate SignNow integrate with other platforms when using the Stanley Mosk Courthouse directory?
AirSlate SignNow provides seamless integration with multiple platforms, making it easy for users to link their workflows with the Stanley Mosk Courthouse directory. This allows for a more streamlined approach to documentation and communication across various legal systems.
-
What are the benefits of using airSlate SignNow for legal documents associated with the Stanley Mosk Courthouse directory?
Using airSlate SignNow for legal documents associated with the Stanley Mosk Courthouse directory offers enhanced security, a user-friendly interface, and reduced turnaround times. These benefits free up valuable resources for legal professionals, enabling them to focus on their cases and clients.
-
Can airSlate SignNow help with court filings related to the Stanley Mosk Courthouse directory?
Yes, airSlate SignNow can assist with the preparation and submission of court filings related to the Stanley Mosk Courthouse directory. Its features allow users to easily create, sign, and send necessary documents directly to the court, ensuring compliance with filing requirements.
Get more for stanley form
- Section 1915b state of michigan michigan form
- Business procedure manual blue cross and blue shield of kansas form
- Medicaid and schip in pennsylvania form
- California school based medi cal administrative activities manual dhcs ca form
- Virginia permedion form
- Case study molina healthcare of michigan39s step by chcs form
- Time of request thursday february 17 form
- Receiving treatment for domestic violence forms doc image
Find out other stanley mosk courthouse
- eSign New York Standard residential lease agreement Secure
- Can I eSign New Jersey Standard residential lease agreement
- eSign South Dakota Simple rental agreement form Free
- eSign New York Standard residential lease agreement Fast
- eSign New York Standard residential lease agreement Simple
- eSign New York Standard residential lease agreement Easy
- eSign South Dakota Simple rental agreement form Secure
- eSign New York Standard residential lease agreement Safe
- eSign South Dakota Simple rental agreement form Fast
- How To eSign New York Standard residential lease agreement
- eSign South Dakota Simple rental agreement form Simple
- How Do I eSign New York Standard residential lease agreement
- Help Me With eSign New York Standard residential lease agreement
- How Can I eSign New York Standard residential lease agreement
- eSign South Dakota Simple rental agreement form Easy
- Can I eSign New York Standard residential lease agreement
- eSignature Mississippi Profit Sharing Agreement Template Online
- eSign South Dakota Simple rental agreement form Safe
- eSign North Carolina Standard residential lease agreement Online
- eSignature Mississippi Profit Sharing Agreement Template Computer