
Jdf 11 Form Colorado


What is the Jdf 11 Form Colorado
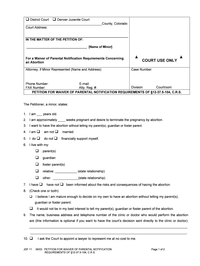
The Jdf 11 form, also known as the Colorado Jdf 11 form, is a legal document used primarily in the state of Colorado. It is typically utilized in family law cases, particularly for matters related to parental responsibilities, such as child custody and support. This form serves as a means for individuals to provide necessary information and requests to the court regarding their parental rights and obligations.
How to Use the Jdf 11 Form Colorado
Using the Jdf 11 form requires careful attention to detail to ensure all information is accurately provided. Begin by downloading the fillable form from a reliable source. Fill out the required sections, which may include personal information, details about the child, and any specific requests regarding custody or visitation. It is important to review the completed form for accuracy before submission to avoid delays or complications in the legal process.
Steps to Complete the Jdf 11 Form Colorado
Completing the Jdf 11 form involves several key steps:
- Download the latest version of the Jdf 11 form from a trusted website.
- Fill in your personal information, including your name, address, and contact details.
- Provide information about the child, including their name, date of birth, and current living situation.
- Clearly outline your requests regarding parental responsibilities, such as custody arrangements.
- Review the form for any errors or omissions before finalizing it.
- Sign and date the form to validate your submission.
Legal Use of the Jdf 11 Form Colorado
The Jdf 11 form is legally binding when filled out correctly and submitted to the appropriate court. It must comply with Colorado state laws concerning family matters. The information provided in this form can significantly impact custody decisions, so it is essential to ensure that all details are accurate and complete. Additionally, electronic signatures may be used, provided they meet the legal requirements set forth by the state.
Key Elements of the Jdf 11 Form Colorado
Several key elements must be included in the Jdf 11 form to ensure its validity:
- Personal Information: Full names and contact details of both parents.
- Child Information: Name, date of birth, and current residence of the child.
- Parental Requests: Specific requests regarding custody, visitation, and support.
- Signatures: Signatures of both parents, or legal representatives if applicable.
Who Issues the Form
The Jdf 11 form is issued by the Colorado Judicial Branch. It is designed to facilitate communication between parents and the court regarding parental responsibilities. Individuals seeking to use this form should ensure they are using the most current version, as updates may occur to reflect changes in law or procedure.
Quick guide on how to complete jdf 11 forms colorado
Accomplish jdf 11 forms colorado effortlessly on any device
Digital document management has become favored by businesses and individuals. It serves as an ideal environmentally friendly alternative to conventional printed and signed documents, allowing you to access the appropriate format and securely store it online. airSlate SignNow equips you with all the resources necessary to create, edit, and eSign your documents promptly and without interruptions. Manage jdf11 across any platform with airSlate SignNow Android or iOS applications and enhance any document-oriented procedure today.
Steps to edit and eSign jdf signature with ease
- Locate jdf 11 form colorado and then click Get Form to begin.
- Utilize the tools we provide to complete your document.
- Emphasize key sections of the documents or obscure sensitive data with tools that airSlate SignNow offers specifically for that purpose.
- Create your eSignature using the Sign feature, which takes mere seconds and carries the same legal validity as a conventional wet ink signature.
- Review all the information and then click on the Done button to save your modifications.
- Choose your preferred method of delivering your form, whether by email, text message (SMS), invitation link, or download it to your computer.
Eliminate concerns about lost or misplaced documents, tedious form searches, or errors that require printing new document copies. airSlate SignNow meets your requirements in document management in just a few clicks from any device you prefer. Edit and eSign jdf11 form for colorado and guarantee outstanding communication at every stage of the form preparation process with airSlate SignNow.
Create this form in 5 minutes or less
Related searches to co jdf11
Create this form in 5 minutes!
How to create an eSignature for the colorado jdf11 parental form
The way to generate an eSignature for your PDF file online
The way to generate an eSignature for your PDF file in Google Chrome
How to make an eSignature for signing PDFs in Gmail
How to generate an eSignature straight from your mobile device
The way to create an electronic signature for a PDF file on iOS
How to generate an eSignature for a PDF document on Android devices
People also ask jdf11 form
-
What is jdf11 and how does it relate to airSlate SignNow?
jdf11 is a unique feature within airSlate SignNow that streamlines the document signing process. By utilizing jdf11, users can easily automate workflows, ensuring all parties sign documents efficiently and securely. This feature enhances the user experience while maintaining compliance.
-
How much does airSlate SignNow cost, and what plans include jdf11?
airSlate SignNow offers various pricing plans, including options that incorporate the jdf11 functionality. Each plan is designed to suit different business needs, with jdf11 included in both the Professional and Business tiers. You can easily find a plan that fits your budget while leveraging the powerful jdf11 feature.
-
What are the key features of jdf11 in airSlate SignNow?
The jdf11 feature in airSlate SignNow includes automated workflow processes, customizable templates, and advanced security options. These features empower teams to manage document signing efficiently while ensuring the protection of sensitive information. With jdf11, businesses experience an organized approach to document management.
-
How does jdf11 improve the document signing experience?
jdf11 improves the document signing experience by automating tedious tasks and reducing the time needed to complete transactions. Users can track document status in real-time, leading to quicker agreement finalization. This efficiency translates to better customer satisfaction for businesses using airSlate SignNow.
-
What integrations does airSlate SignNow offer with the jdf11 feature?
airSlate SignNow provides seamless integrations with popular tools such as Google Drive, Salesforce, and Slack, all enhanced by the jdf11 feature. These integrations allow users to access and manage documents directly within their preferred applications, improving overall productivity. This connectivity makes jdf11 an essential tool within your tech stack.
-
Can jdf11 be used for both small businesses and large enterprises?
Yes, jdf11 is designed to cater to the needs of both small businesses and large enterprises. Its customizable nature allows organizations of all sizes to implement efficient document signing workflows tailored to their operational requirements. With jdf11, businesses can scale their document management processes effectively.
-
What are the security measures associated with jdf11 in airSlate SignNow?
Security is a top priority for airSlate SignNow, and jdf11 is equipped with robust security measures including encryption and secure cloud storage. These features ensure that your documents remain confidential and protected from unauthorized access. Businesses can trust jdf11 to safeguard sensitive information throughout the signing process.
Get more for jdf11
Find out other jdf signature
- How Can I Sign Massachusetts Police Form
- How To Sign Massachusetts Police Form
- Can I Sign Massachusetts Police Form
- How Do I Sign Massachusetts Police Form
- Help Me With Sign Massachusetts Police Form
- How Can I Sign Massachusetts Police Form
- Can I Sign Massachusetts Police Form
- How To Sign Massachusetts Police Form
- How To Sign Massachusetts Police Form
- How Do I Sign Massachusetts Police Form
- How Do I Sign Massachusetts Police Form
- Help Me With Sign Massachusetts Police Form
- How Can I Sign Massachusetts Police Form
- Help Me With Sign Massachusetts Police Form
- Can I Sign Massachusetts Police Form
- How To Sign Massachusetts Police PPT
- How Can I Sign Massachusetts Police Form
- How To Sign Massachusetts Police PPT
- Can I Sign Massachusetts Police Form
- How Do I Sign Massachusetts Police PPT