
Ss1 2018-2025 Form


What is the SS1 Form Instructions For Disposing Of A Computer
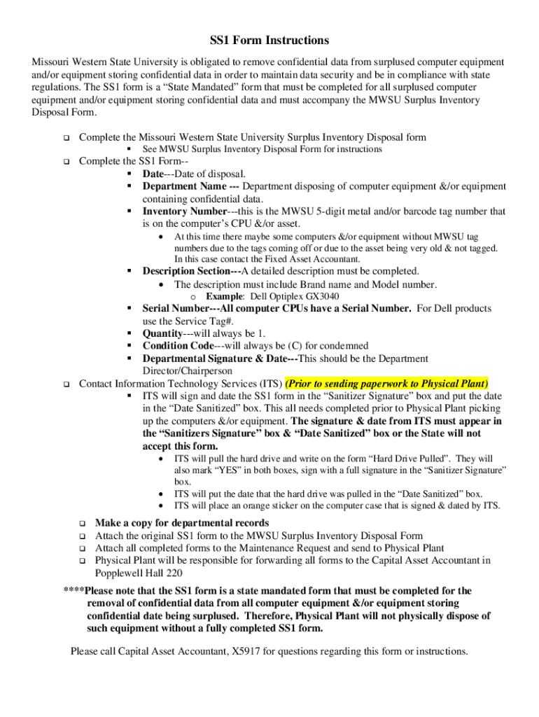
The SS1 form provides essential instructions for the legal disposal of computers. This form is particularly important for businesses and individuals who need to ensure that their electronic devices are disposed of in compliance with relevant laws and regulations. Proper disposal is crucial to protect sensitive data and the environment. The instructions guide users through the necessary steps to ensure that all data is securely erased and that the disposal process adheres to state and federal guidelines.
How to use the SS1 Form Instructions For Disposing Of A Computer
Using the SS1 form involves several straightforward steps. First, gather all necessary information regarding the computer that needs to be disposed of, including its make, model, and any associated serial numbers. Next, follow the instructions outlined in the form to ensure that all data is securely wiped from the device. This may involve using specific software tools designed for data erasure. Finally, complete the form by documenting the disposal method chosen, whether recycling, donation, or other means, and retain a copy for your records.
Steps to complete the SS1 Form Instructions For Disposing Of A Computer
Completing the SS1 form requires careful attention to detail. Begin by filling in your personal or business information at the top of the form. Next, provide details about the computer being disposed of, including its specifications and condition. Follow the instructions to indicate the method of disposal you plan to use. It is important to ensure that all data has been securely erased prior to submission. Finally, sign and date the form, and keep a copy for your records to demonstrate compliance with disposal regulations.
Legal use of the SS1 Form Instructions For Disposing Of A Computer
The legal use of the SS1 form is critical for ensuring compliance with environmental and data protection laws. This form serves as a record that the disposal of the computer was conducted according to legal requirements. Using the form helps protect against potential liabilities associated with improper disposal, such as data breaches or environmental violations. It is advisable to familiarize yourself with local regulations regarding electronic waste to ensure that all aspects of the disposal process are covered.
Key elements of the SS1 Form Instructions For Disposing Of A Computer
Key elements of the SS1 form include detailed instructions on data erasure, documentation requirements, and disposal methods. The form outlines the importance of securely wiping data to prevent unauthorized access. Additionally, it specifies the types of disposal methods that are legally acceptable, such as recycling or certified e-waste disposal services. Understanding these elements is essential for ensuring that the disposal process is both legal and environmentally responsible.
State-specific rules for the SS1 Form Instructions For Disposing Of A Computer
State-specific rules regarding the disposal of computers can vary significantly. Some states have strict regulations on electronic waste, requiring specific disposal methods or certifications. It is important to review the regulations applicable in your state to ensure compliance when using the SS1 form. This may include additional documentation or specific procedures that must be followed to meet state laws regarding electronic waste disposal.
Quick guide on how to complete ss1 form
Complete ss1 form effortlessly on any device
Web-based document management has gained traction among organizations and individuals. It serves as an ideal environmentally friendly alternative to conventional printed and signed documents, allowing you to obtain the necessary form and securely store it online. airSlate SignNow equips you with all the resources required to create, modify, and eSign your files rapidly without holdups. Manage ss1 form on any platform using airSlate SignNow Android or iOS applications and streamline any document-related procedure today.
How to alter and eSign form ss1 with ease
- Find ss1 form and then click Get Form to begin.
- Make use of the tools we provide to complete your form.
- Emphasize pertinent sections of the documents or redact confidential information with tools that airSlate SignNow provides specifically for that purpose.
- Create your signature using the Sign tool, which takes mere seconds and carries the same legal validity as a conventional wet ink signature.
- Verify the details and then click on the Done button to save your modifications.
- Choose how you wish to send your form, via email, SMS, or invitation link, or download it to your computer.
Eliminate the worries of lost or misplaced documents, tedious form navigation, or errors that necessitate printing additional copies. airSlate SignNow fulfills all your document management needs in just a few clicks from any device you prefer. Modify and eSign form ss1 and ensure effective communication at every stage of your form preparation process with airSlate SignNow.
Create this form in 5 minutes or less
Create this form in 5 minutes!
How to create an eSignature for the form ss1
How to generate an eSignature for your PDF online
How to generate an eSignature for your PDF in Google Chrome
How to generate an electronic signature for signing PDFs in Gmail
The best way to make an eSignature straight from your smartphone
The best way to create an electronic signature for a PDF on iOS
The best way to make an eSignature for a PDF document on Android
People also ask form ss1
-
What is the ss1 form and how can airSlate SignNow help?
The ss1 form is a critical document for various business processes, especially in tax and regulatory contexts. airSlate SignNow streamlines the completion and signing of the ss1 form, ensuring that your documents are processed quickly and accurately.
-
Is there a cost associated with using airSlate SignNow for the ss1 form?
Yes, airSlate SignNow offers various pricing plans that accommodate different business needs. These plans are cost-effective and provide full access to features that ease the signing of the ss1 form, offering great value for your investment.
-
What features does airSlate SignNow offer for managing the ss1 form?
airSlate SignNow provides several features specifically designed for effective document management, including template creation, real-time tracking, and secure storage. These capabilities signNowly enhance the efficiency of processing the ss1 form.
-
Can I integrate airSlate SignNow with other applications for the ss1 form?
Absolutely! airSlate SignNow supports integration with various applications, helping you manage workflows that involve the ss1 form seamlessly. This means you can connect your favorite tools to enhance your document management process.
-
What are the benefits of using airSlate SignNow for electronic signatures on the ss1 form?
Using airSlate SignNow for electronic signatures on the ss1 form offers numerous benefits, including enhanced security, faster turnaround times, and improved compliance. This sophisticated solution ensures your documents are legally binding and easily accessible.
-
How user-friendly is airSlate SignNow for completing the ss1 form?
airSlate SignNow is designed with user experience in mind, making it very user-friendly for completing the ss1 form. Its intuitive interface allows users to navigate easily through the signing process without the need for extensive training.
-
Is airSlate SignNow suitable for small businesses dealing with the ss1 form?
Yes, airSlate SignNow is highly suitable for small businesses looking to handle the ss1 form efficiently. Its cost-effective pricing and feature set are tailored to meet the needs of smaller organizations, ensuring they can manage documents effectively.
Get more for ss1 form
- Page 17 form ich 09 1 name of the organization unesco unesco
- Supreme court of arizona en banc james l lee form
- 1 country profile iraq august country formal name memory loc
- Osmosis in pocket switched networks form
- Modelling destination competitiveness sustainable tourism online form
- Dealing with someone39s estate form
- Unit 3 simple machines sedl sedl form
- Instructions for form nyc 210 claim for new york city school tax credit tax year 772083191
Find out other form ss1
- Electronic signature Arizona Car Dealer Contract Secure
- Electronic signature Arizona Car Dealer Contract Fast
- Electronic signature Arizona Car Dealer Contract Simple
- How To Electronic signature Arizona Car Dealer Contract
- Electronic signature Arizona Car Dealer Contract Easy
- Electronic signature Arizona Car Dealer Contract Safe
- How Do I Electronic signature Arizona Car Dealer Contract
- Electronic signature Alaska Car Dealer RFP Online
- Help Me With Electronic signature Arizona Car Dealer Contract
- How To Electronic signature Alaska Car Dealer RFP
- How Do I Electronic signature Alaska Car Dealer RFP
- Electronic signature Alaska Car Dealer RFP Computer
- Help Me With Electronic signature Alaska Car Dealer RFP
- How Can I Electronic signature Alaska Car Dealer RFP
- How Can I Electronic signature Arizona Car Dealer Contract
- Can I Electronic signature Alaska Car Dealer RFP
- Electronic signature Alaska Car Dealer RFP Mobile
- Can I Electronic signature Arizona Car Dealer Contract
- Electronic signature Alaska Car Dealer NDA Online
- Electronic signature Alaska Car Dealer RFP Now