
What Does a Section 8 Voucher Look Like 2006-2025 Form


What is the Section 8 Voucher Application
The Section 8 Voucher Application is a crucial document for individuals seeking housing assistance through the Housing Choice Voucher Program, administered by the U.S. Department of Housing and Urban Development (HUD). This application allows eligible low-income families to receive financial assistance for rent, making housing more affordable. The application typically requires personal information, income details, and family composition to determine eligibility.
Key elements of the Section 8 Voucher Application
Understanding the key elements of the Section 8 Voucher Application is essential for successful submission. The application usually includes:
- Personal Information: This section requests the applicant's name, address, and contact information.
- Income Details: Applicants must provide information about all sources of income, including wages, benefits, and any other financial support.
- Family Composition: This part requires details about all household members, including their ages and relationships to the primary applicant.
- Housing Preferences: Applicants may indicate preferences for specific types of housing or locations.
Steps to complete the Section 8 Voucher Application
Completing the Section 8 Voucher Application involves several steps to ensure accuracy and compliance:
- Gather Required Documents: Collect all necessary documents, including proof of income and identification for all household members.
- Fill Out the Application: Carefully complete each section of the application, ensuring all information is accurate and up to date.
- Review the Application: Double-check the application for any errors or missing information before submission.
- Submit the Application: Follow the specified submission method, whether online, by mail, or in person, as directed by the local housing authority.
How to obtain the Section 8 Voucher Application
Obtaining the Section 8 Voucher Application can be done through various channels. Applicants can:
- Visit Local Housing Authorities: Most local housing authorities provide physical copies of the application.
- Access Online Resources: Many housing authorities offer downloadable versions of the application on their official websites.
- Request by Phone: Applicants can call their local housing authority to request an application be mailed to them.
Legal use of the Section 8 Voucher Application
The legal use of the Section 8 Voucher Application is governed by federal and state regulations. It is essential that the application is filled out honestly and accurately, as providing false information can lead to penalties, including disqualification from the program. Additionally, applicants should ensure they comply with all local housing authority guidelines to maintain eligibility.
Eligibility Criteria
To qualify for the Section 8 Voucher Program, applicants must meet specific eligibility criteria, including:
- Income Limits: Applicants must have a household income that falls below the income limits set by HUD, which vary by location.
- Citizenship Status: Applicants must be U.S. citizens or eligible non-citizens.
- Background Checks: A background check may be conducted to assess the applicant's rental history and any criminal background.
Quick guide on how to complete section 8 forms for tenants
Ensure all details are in order on Section 8 Voucher Application
Handling contracts, managing listings, organizing meetings, and conducting viewings—real estate professionals manage a variety of responsibilities each day. Many of these responsibilities involve numerous documents, such as section 8 forms for tenants, that need to be processed promptly and accurately.
airSlate SignNow is a comprehensive solution that assists professionals in the real estate field in alleviating the burden of paperwork, enabling them to focus more on their clients’ objectives throughout the negotiation process and secure the most favorable deal terms.
How to complete what does a section 8 voucher look like with airSlate SignNow:
- Go to the hud voucher form page or utilize the search functionalities in our library to find what you’re looking for.
- Select Get form—you’ll be directed straight to the editor.
- Begin filling out the document by selecting fillable fields and entering your information into them.
- Insert additional text and modify its settings if necessary.
- Utilize the Sign option in the top toolbar to create your eSignature.
- Explore other features available for annotating and enhancing your document, such as drawing, highlighting, and adding shapes.
- Select the comments section to include notes regarding your document.
- Conclude the process by downloading, sharing, or emailing your document to the appropriate parties or organizations.
Bid farewell to paper for good and enhance the homebuying experience with our user-friendly and powerful platform. Experience greater convenience when completing what does a housing voucher look like and other real estate paperwork online. Try our tool today!
Create this form in 5 minutes or less
FAQs section 8 forms
-
How long does it take to get a section 8 voucher?
It all depends on the area you want to live in and the circumstances that created your need for applying for section 8. In most of the 55 PHA areas ( all 50 states, theDistrict of Columbia, Puerto Rico, Guam, Virgin Islands and the Mariana Islands) demand for affordable housing is so high there is a 3-10 year waiting list, but if you are willing to relocate some areas have no waiting list at all. To find section 8 areas with no waiting list you can go to affordable housing online and access Dave Layfield's database of Open Section 8 Waiting Lists Across The Country Additionally, if your application for section 8 was based on special circumstances such as victim of domestic abuse, displaced [house burned down or condemned] veteran, disabled or elderly with live-in aide you are given preferential treatment and can bypass waiting list and be admitted into sec 8 program immediately
-
How do I port a section 8 voucher to San Diego from another state?
You have to check with the new Housing Authority and see if they are accepting port-ins and what kind.Hope this helps How to Port
-
How do I move with a Section 8 voucher?
I don’t know a lot but my understanding would be:First, confirm that you have a voucher. Some Section 8 programs are not vouchers - they are attached to a specific building.Then contact the agency that administers your voucher and ask them how much you are authorized to spend on rent, and how to go about moving/transferring your voucher to a new landlord.It will be much easier if you stay in the same area.Then find a landlord who is willing to accept your voucher. If you are disabled, you may find a new place on this list: How to Find Housing that is Both Cheap & Good
-
Should I rent to a person with a section 8 voucher?
In my experience, absolutely. Two reasons, one of which may or may not apply to you.StabilityPeople stereotype Section 8 tenants as bad/irresponsible/etc. In practice, though, Section 8 is structured to ensure you get paid. First of all, you get the majority of your rent straight from the city government, which is definitely reliable. Second, if Section 8 tenants get evicted, they lose their Section 8 voucher. Losing that voucher would lead a lot of those tenants to become homeless, so they’re highly motivated to pay you. Even if they can’t pay, in my experience they’ll work with you - not all my Section 8 tenants pay on time, but they always pay.Rent ControlThe properties I own are in the East Bay if Northern California, where rent control puts signNow caps on how much you can raise rents on tenants when their leases expire (your allowed increase is the CPI increase for the year). Section 8 rents, however, aren’t governed by rent control - they’re governed by the local city government organization that administers the Section 8 program. This means that you can raise the rent as much as you want, provided the local housing authority approves the increase. (There are caps to the rent you can charge based on the size of the unit, but they’re pretty close to market rate.)On top of that, you can raise rent without feeling guilty about making low income tenants pay more, because there is an income-based cap on what they’ll pay. That means that a very large rent increase leads to little or no increase in what the tenant actually pays.
Related searches to section 8 voucher look like
Create this form in 5 minutes!
How to create an eSignature for the section 8 lease agreement template
How to create an electronic signature for the Section 8 Voucher Lease Form in the online mode
How to create an electronic signature for the Section 8 Voucher Lease Form in Google Chrome
How to generate an electronic signature for putting it on the Section 8 Voucher Lease Form in Gmail
How to generate an eSignature for the Section 8 Voucher Lease Form right from your mobile device
How to make an eSignature for the Section 8 Voucher Lease Form on iOS
How to generate an electronic signature for the Section 8 Voucher Lease Form on Android devices
People also ask section 8 form
-
What does a section 8 voucher look like in general?
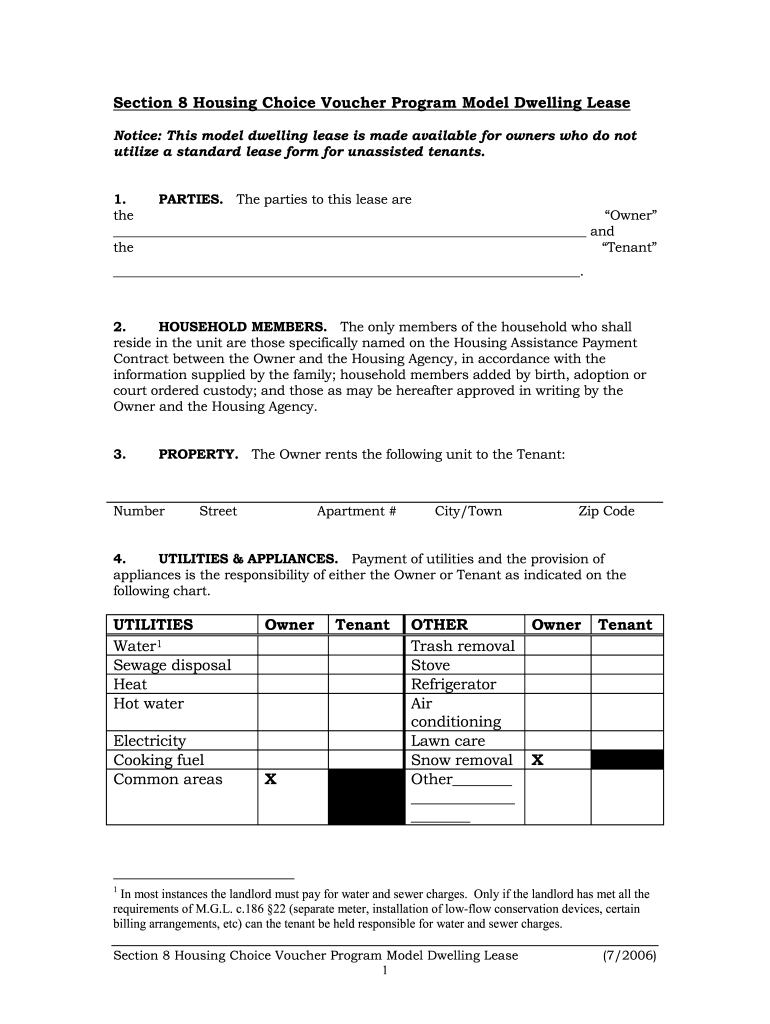
A section 8 voucher is typically a paper document containing specific information regarding the voucher holder, their housing assistance, and the rent payment amount. It usually includes the name of the issuing Public Housing Authority, the date of issuance, and the expiration date. Understanding what does a section 8 voucher look like is crucial for navigating housing options.
-
Can you explain the benefits of a section 8 voucher?
A section 8 voucher allows eligible individuals and families to access safe and affordable housing by subsidizing a portion of their rent. This assistance enables recipients to choose housing from private landlords, expanding their options. Knowing what does a section 8 voucher look like can help applicants to understand their rights and responsibilities.
-
What features are included in the section 8 voucher program?
The section 8 voucher program offers several features such as portability, allowing holders to move to different areas while still receiving rental assistance. It also provides tailored housing options based on family size and income levels. Understanding what does a section 8 voucher look like ensures potential recipients are well-informed about available features.
-
How do I apply for a section 8 voucher?
To apply for a section 8 voucher, individuals must contact their local Public Housing Authority (PHA) to fill out an application. The process typically involves providing personal, financial, and household information. Knowing what does a section 8 voucher look like can help applicants prepare the necessary documentation more effectively.
-
What is the cost associated with section 8 vouchers?
There is no direct cost for obtaining a section 8 voucher, as it is a government program designed to assist low-income families. However, it is essential to consider potential costs related to housing selection, utilities, and other living expenses. Understanding what does a section 8 voucher look like includes being aware of these associated costs.
-
How do section 8 vouchers connect with different types of housing?
Section 8 vouchers can be used to rent various types of housing, including apartments, single-family homes, and townhouses, provided they meet health and safety standards. Landlords must be willing to accept section 8 vouchers and comply with program regulations. Knowing what does a section 8 voucher look like is crucial when searching for suitable housing.
-
Are there any restrictions on using a section 8 voucher?
Yes, there are specific restrictions for section 8 voucher holders, including the requirement that the housing unit passes inspections and meets program standards. Additionally, the owner must comply with the terms set by the Public Housing Authority. Familiarizing yourself with what does a section 8 voucher look like will help you navigate these restrictions.
Get more for section 8 voucher amount
Find out other section 8 pdf
- Electronic signature Tennessee Construction Medical History Fast
- How To Electronic signature Tennessee Construction Medical History
- Electronic signature Tennessee Construction Medical History Simple
- How To Electronic signature Tennessee Construction Credit Memo
- Electronic signature Tennessee Construction Medical History Easy
- How Do I Electronic signature Tennessee Construction Medical History
- Electronic signature Tennessee Construction Medical History Safe
- How Do I Electronic signature Tennessee Construction Credit Memo
- Help Me With Electronic signature Tennessee Construction Medical History
- Electronic signature North Dakota Doctors Work Order Online
- Electronic signature North Dakota Doctors Work Order Computer
- How Can I Electronic signature Tennessee Construction Medical History
- Help Me With Electronic signature Tennessee Construction Credit Memo
- Electronic signature North Dakota Doctors Work Order Mobile
- Electronic signature North Dakota Doctors Work Order Now
- Can I Electronic signature Tennessee Construction Medical History
- Electronic signature North Dakota Doctors Work Order Later
- Electronic signature North Dakota Doctors Work Order Myself
- How Can I Electronic signature Tennessee Construction Credit Memo
- Electronic signature North Dakota Doctors Work Order Free