
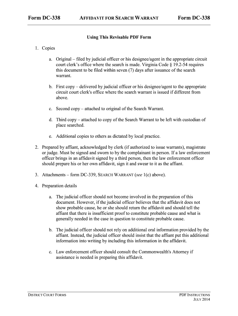
Virginia Form Dc 339


What is the Virginia Form DC 339
The Virginia Form DC 339, commonly referred to as the Virginia search warrant form, is a legal document utilized by law enforcement to request a search warrant from a court. This form is essential for obtaining judicial approval to search a specified location for evidence related to criminal activity. The form outlines the particulars of the case, including the nature of the crime, the items sought, and the location to be searched. It is crucial for ensuring that searches are conducted legally and in accordance with the Fourth Amendment of the U.S. Constitution, which protects against unreasonable searches and seizures.
How to Use the Virginia Form DC 339
Using the Virginia Form DC 339 involves several key steps to ensure its proper completion and submission. First, law enforcement officers must accurately fill out the form with all required information, including details about the suspect, the crime, and the items to be searched for. Once completed, the form must be presented to a judge or magistrate for review. If approved, the judge will sign the form, granting the authority to conduct the search as specified. It is important to follow all legal protocols during this process to maintain the validity of the search warrant.
Steps to Complete the Virginia Form DC 339
Completing the Virginia Form DC 339 requires careful attention to detail. The following steps outline the process:
- Gather necessary information regarding the case, including suspect details and evidence sought.
- Fill out the form with accurate and complete information, ensuring all sections are addressed.
- Review the form for any errors or omissions before submission.
- Submit the completed form to a judge or magistrate for approval.
- Obtain the signed warrant once it is approved, which allows for the search to proceed.
Legal Use of the Virginia Form DC 339
The legal use of the Virginia Form DC 339 is governed by state laws and regulations regarding search warrants. This form must be used in compliance with the Fourth Amendment, which requires probable cause and judicial oversight before a search can be conducted. The information provided in the form must justify the need for a search warrant, and any search conducted without proper authorization may lead to evidence being deemed inadmissible in court. Therefore, it is vital for law enforcement to adhere strictly to legal standards when utilizing this form.
Key Elements of the Virginia Form DC 339
Several key elements must be included in the Virginia Form DC 339 to ensure its effectiveness and legality. These elements include:
- A detailed description of the location to be searched.
- Specific items or evidence that law enforcement seeks to find.
- A clear statement of the probable cause supporting the request for a search warrant.
- The signature of the requesting officer and the date of submission.
- The judge's or magistrate's signature upon approval.
State-Specific Rules for the Virginia Form DC 339
Each state has its own regulations regarding the use of search warrants, and Virginia is no exception. The Virginia Form DC 339 must comply with state laws that dictate the process for obtaining a search warrant. This includes requirements for probable cause, the necessity of judicial review, and adherence to specific procedural guidelines. Additionally, law enforcement must be aware of any local ordinances that may impact the execution of the search warrant.
Quick guide on how to complete virginia search warrant form
Prepare virginia search warrant form effortlessly on any device
Digital document management has gained traction among businesses and individuals alike. It serves as an ideal environmentally friendly alternative to traditional printed and signed documents, allowing you to locate the required form and securely save it online. airSlate SignNow equips you with all the necessary tools to create, modify, and eSign your documents swiftly without delays. Manage virginia search warrant form dc 339 on any device using airSlate SignNow's Android or iOS applications and streamline any document-related process today.
The easiest way to modify and eSign dc339 with ease
- Obtain virginia form dc 339 and then click Get Form to begin.
- Utilize the resources we provide to fill out your form.
- Emphasize important sections of the documents or conceal sensitive information using tools specifically offered by airSlate SignNow.
- Create your signature with the Sign tool, which takes mere seconds and holds the same legal validity as a conventional wet ink signature.
- Review all information carefully and then click the Done button to save your modifications.
- Choose how you wish to deliver your form, whether by email, SMS, or invitation link, or download it to your computer.
Say goodbye to lost or misplaced files, tedious form searching, or mistakes that necessitate printing new copies of documents. airSlate SignNow meets all your document management needs in just a few clicks from your preferred device. Edit and eSign virginia criminal complaint pdf and guarantee excellent communication at every phase of your form preparation process with airSlate SignNow.
Create this form in 5 minutes or less
Related searches to printable form dc 338 virginia
Create this form in 5 minutes!
People also ask dc form 338
-
What is the Virginia search warrant form DC 339 used for?
The Virginia search warrant form DC 339 is a legal document utilized by law enforcement to request the authority to search a specified location and seize evidence. Using the Virginia search warrant form DC 339 ensures that the search adheres to state regulations, maintaining the integrity of the legal process.
-
How can I access the Virginia search warrant form DC 339?
You can easily access the Virginia search warrant form DC 339 online through legal resource websites or directly from the Virginia court system's official site. Additionally, with airSlate SignNow, you can eSign and manage this document efficiently once downloaded.
-
Is there a cost associated with using the Virginia search warrant form DC 339?
While downloading the Virginia search warrant form DC 339 is typically free, there may be costs involved if you require legal counsel or filing services. Using airSlate SignNow offers a cost-effective solution for eSigning and managing all related documentation.
-
What features does airSlate SignNow offer for the Virginia search warrant form DC 339?
airSlate SignNow provides features like eSigning, document tracking, and templates for the Virginia search warrant form DC 339. These features enhance efficiency, allowing users to complete and verify documents securely and swiftly.
-
Can I integrate airSlate SignNow with other software for handling the Virginia search warrant form DC 339?
Yes, airSlate SignNow offers seamless integrations with various software applications such as Google Drive and Microsoft Office. This allows users to effortlessly manage the Virginia search warrant form DC 339 alongside their existing workflows.
-
What are the benefits of using airSlate SignNow for the Virginia search warrant form DC 339?
Using airSlate SignNow for the Virginia search warrant form DC 339 streamlines the document approval process. It ensures quick turnaround times, enhances accuracy, and promotes compliance with legal requirements while providing an easy-to-use interface.
-
Is training required to use airSlate SignNow for the Virginia search warrant form DC 339?
No formal training is required to use airSlate SignNow; the platform is designed to be user-friendly. However, our resources and support are available to help you navigate the features related to the Virginia search warrant form DC 339.
Get more for virginia search warrant form dc 339
- Cpr template card form
- Plea form
- Obec instructor applicant packet pdf 252kb watercraft ohio form
- Mv2917 green bay packer license plates information and application dot wi
- Ocip insurance coverage wisconsin dot ftp server ftp dot wi form
- The united republic of tanzania visa application form
- Petition for removal of bscr delinquency phase ii the florida bar floridabar form
- Material safety data sheet monopol colors form
Find out other dc339
- How Can I Sign New York Life Sciences PPT
- How To Sign New York Life Sciences PPT
- How Do I Sign New York Life Sciences PPT
- How Do I Sign New York Life Sciences PPT
- Help Me With Sign New York Life Sciences PPT
- Can I Sign New York Life Sciences PPT
- How Can I Sign New York Life Sciences PPT
- Help Me With Sign New York Life Sciences PPT
- Can I Sign New York Life Sciences PPT
- How Can I Sign New York Life Sciences PPT
- How To Sign New York Life Sciences PPT
- How Do I Sign New York Life Sciences PPT
- Can I Sign New York Life Sciences PPT
- Help Me With Sign New York Life Sciences PPT
- How Can I Sign New York Life Sciences PPT
- Can I Sign New York Life Sciences PPT
- How To Sign New York Life Sciences PPT
- How To Sign New York Life Sciences PPT
- How Do I Sign New York Life Sciences PPT
- How To Sign New York Life Sciences Presentation