
Complaint to Collect a Debt State of Alaska Form


What is the Complaint To Collect A Debt State Of Alaska
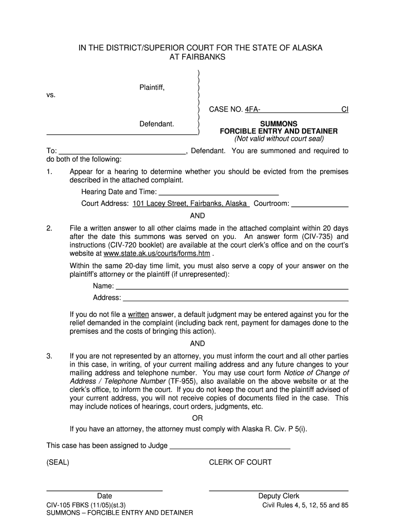
The Complaint To Collect A Debt State Of Alaska is a legal document used by creditors to initiate a lawsuit against a debtor in the state of Alaska. This form outlines the creditor's claim for the amount owed and provides a basis for the court to take action. It is essential for creditors to follow the proper legal procedures when filing this complaint to ensure that their rights are protected and that they have a valid claim in court.
How to use the Complaint To Collect A Debt State Of Alaska
To use the Complaint To Collect A Debt State Of Alaska effectively, creditors must first complete the form with accurate information regarding the debt and the parties involved. This includes detailing the nature of the debt, the amount owed, and any relevant agreements or contracts. Once the form is filled out, it must be filed with the appropriate court in Alaska, along with any required filing fees. After filing, a copy of the complaint must be served to the debtor to officially notify them of the legal action.
Steps to complete the Complaint To Collect A Debt State Of Alaska
Completing the Complaint To Collect A Debt State Of Alaska involves several key steps:
- Gather all necessary information about the debt, including the amount owed and any supporting documentation.
- Fill out the complaint form accurately, ensuring that all details are correct and complete.
- File the completed form with the appropriate court, paying any required fees.
- Serve the complaint to the debtor, following state laws regarding service of process.
- Keep copies of all documents for your records.
Key elements of the Complaint To Collect A Debt State Of Alaska
The Complaint To Collect A Debt State Of Alaska should include several key elements to be effective:
- The names and addresses of both the creditor and the debtor.
- A clear statement of the amount owed and the basis for the debt.
- Details of any agreements or contracts that support the claim.
- The specific relief sought, such as the total amount due and any applicable interest.
- A signature from the creditor or their representative, affirming the truthfulness of the information provided.
State-specific rules for the Complaint To Collect A Debt State Of Alaska
In Alaska, there are specific rules governing the filing of a Complaint To Collect A Debt. Creditors must adhere to state laws regarding the statute of limitations for debt collection, which generally ranges from three to six years depending on the type of debt. Additionally, the complaint must be filed in the correct jurisdiction, and all procedural requirements, such as service of process, must be followed to ensure the case proceeds smoothly through the court system.
Form Submission Methods (Online / Mail / In-Person)
The Complaint To Collect A Debt State Of Alaska can be submitted through various methods:
- In-Person: Creditors may file the complaint directly at the courthouse, where staff can assist with the process.
- Mail: The completed form can be mailed to the appropriate court along with any required fees. It is advisable to use a trackable mailing service.
- Online: Some courts may offer online filing options through their official websites, allowing for a more convenient submission process.
Quick guide on how to complete complaint to collect a debt state of alaska
Complete [SKS] effortlessly on any gadget
Web-based document management has gained traction among companies and individuals alike. It offers an excellent eco-conscious substitute for traditional printed and signed documents, enabling users to locate the appropriate form and safely store it online. airSlate SignNow equips you with all the tools necessary to create, modify, and electronically sign your documents swiftly without delays. Manage [SKS] on any device through airSlate SignNow's Android or iOS applications and enhance any document-focused task today.
The easiest method to alter and electronically sign [SKS] with ease
- Obtain [SKS] and click Get Form to begin.
- Use the tools we offer to complete your document.
- Emphasize important sections of your documents or redact sensitive information using tools specially provided by airSlate SignNow for that purpose.
- Create your eSignature with the Sign feature, which takes mere seconds and carries the same legal validity as a conventional handwritten signature.
- Review the details and click on the Done button to save your modifications.
- Choose how you wish to share your form, via email, text message (SMS), invitation link, or download it to your computer.
Eliminate concerns about lost or misplaced files, tedious form searching, or mistakes that require new document prints. airSlate SignNow meets your document management needs with just a few clicks from any device you prefer. Modify and electronically sign [SKS] and ensure outstanding communication at every stage of the form preparation process with airSlate SignNow.
Create this form in 5 minutes or less
Related searches to Complaint To Collect A Debt State Of Alaska
Create this form in 5 minutes!
People also ask
-
What is a Complaint To Collect A Debt in the State Of Alaska?
A Complaint To Collect A Debt in the State Of Alaska is a legal document filed by a creditor to initiate collection proceedings against a debtor. This document outlines the amount owed and the basis for the debt. Understanding how to file this complaint correctly is vital for successful debt recovery.
-
How can airSlate SignNow help with filing a Complaint To Collect A Debt in the State Of Alaska?
airSlate SignNow provides an efficient and secure platform for drafting, sending, and eSigning your Complaint To Collect A Debt in the State Of Alaska. The easy-to-use interface allows you to customize your document templates and ensure compliance with state regulations. This streamlines the process, saving you time and resources.
-
What features does airSlate SignNow offer for debt collection documents?
airSlate SignNow offers features such as customizable templates, real-time document tracking, and secure eSigning options that make managing your Complaint To Collect A Debt in the State Of Alaska straightforward. Additionally, users can integrate with other tools to streamline their workflow, making it easier to manage collections effectively.
-
Is there a cost associated with using airSlate SignNow for a Complaint To Collect A Debt in the State Of Alaska?
Yes, there is a cost associated with using airSlate SignNow, but it's designed to be cost-effective for businesses of all sizes. Pricing plans vary based on the features you need, but they are competitively priced to ensure you can efficiently file your Complaint To Collect A Debt in the State Of Alaska without breaking the bank.
-
Can multiple users collaborate on a Complaint To Collect A Debt in the State Of Alaska with airSlate SignNow?
Absolutely! airSlate SignNow allows multiple users to collaborate on documents, including a Complaint To Collect A Debt in the State Of Alaska. This feature enables team members to work together in real-time, ensuring all parties are informed and involved in the document's progress.
-
What are the benefits of using airSlate SignNow for debt collection?
Using airSlate SignNow for debt collection offers several benefits, including improved efficiency, time savings, and reduced paper usage. It simplifies the process of filing a Complaint To Collect A Debt in the State Of Alaska with its user-friendly interface, allowing businesses to focus on their core operations rather than getting bogged down in paperwork.
-
Does airSlate SignNow integrate with other software for managing debts?
Yes, airSlate SignNow seamlessly integrates with various software solutions to facilitate the management of debts. You can connect it with CRM systems, accounting software, and other tools, making it an ideal choice when preparing your Complaint To Collect A Debt in the State Of Alaska and managing the entire debt collection process.
Get more for Complaint To Collect A Debt State Of Alaska
- Pennsylvania petition change name form
- Hand washing procedures faccm form
- Employee waiver form neighborhood health plan nhp
- Princess cruises refund request form
- Testimonial of sea service 43570086 form
- Priority provider appeal form
- Visa card application form
- Vsc security request packet forms onlyapril 2012masterdocx
Find out other Complaint To Collect A Debt State Of Alaska
- Sign Louisiana Education Work Order Simple
- Sign Louisiana Education Affidavit Of Heirship Computer
- Sign Louisiana Education Work Order Easy
- How Do I Sign Louisiana Education Purchase Order Template
- Sign Louisiana Education Affidavit Of Heirship Mobile
- Sign Louisiana Education Work Order Safe
- Sign Louisiana Education Affidavit Of Heirship Now
- Sign Education Presentation Maine Online
- Help Me With Sign Louisiana Education Purchase Order Template
- Sign Education Presentation Maine Computer
- Sign Louisiana Education Affidavit Of Heirship Later
- Sign Education Presentation Maine Mobile
- How Can I Sign Louisiana Education Purchase Order Template
- Sign Education Presentation Maine Now
- Sign Louisiana Education Affidavit Of Heirship Myself
- Sign Education Presentation Maine Later
- Sign Education Presentation Maine Myself
- Sign Louisiana Education Affidavit Of Heirship Free
- Sign Education Presentation Maine Free
- Can I Sign Louisiana Education Purchase Order Template