
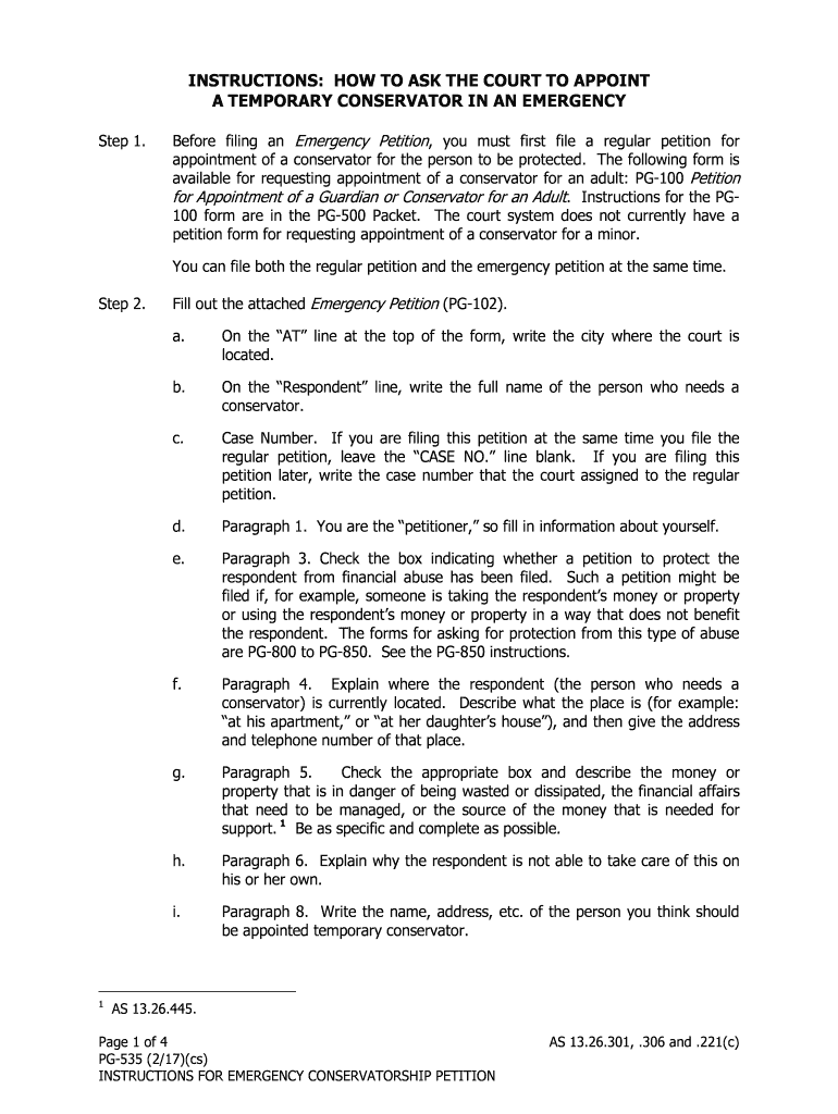
INSTRUCTIONS HOW to GET a GUARDIAN ANDOR CONSERVATOR Form


Understanding the Instructions for Obtaining a Guardian or Conservator
The instructions on how to get a guardian and/or conservator provide essential guidance for individuals seeking legal protection for someone unable to make decisions for themselves. This process typically involves a court application where a guardian or conservator is appointed to manage personal and financial affairs. Understanding the legal definitions and roles of guardians and conservators is crucial. A guardian is responsible for making personal decisions, while a conservator manages financial matters.
Steps to Complete the Instructions for Getting a Guardian or Conservator
Completing the instructions involves several key steps:
- Determine the need for a guardian or conservator by assessing the individual's ability to make decisions.
- Gather necessary documentation, including medical evaluations and financial records.
- Complete the required forms, which may vary by state.
- File the application with the appropriate court, ensuring all forms are signed and dated.
- Attend the court hearing, where evidence will be presented to support the need for a guardian or conservator.
- Receive the court's decision and follow any additional instructions provided.
Legal Use of the Instructions for Getting a Guardian or Conservator
The legal use of these instructions ensures that the process adheres to state laws and court requirements. It is important to follow the specific legal framework in your state, as each jurisdiction may have different procedures and documentation requirements. Utilizing these instructions correctly can help prevent delays and potential legal issues during the application process.
Required Documents for the Guardian or Conservator Application
When applying for a guardian or conservator, specific documents are typically required:
- Completed application form.
- Medical evaluation report indicating the individual's incapacity.
- Financial statements to demonstrate the individual's financial situation.
- Any existing legal documents, such as power of attorney or advance directives.
- Notice of hearing to inform interested parties.
State-Specific Rules for Guardianship and Conservatorship
Each state has its own regulations governing guardianship and conservatorship. It is essential to familiarize yourself with your state’s specific rules, as they dictate the application process, required forms, and hearing procedures. Some states may also have unique requirements for notifying family members or interested parties about the proceedings.
Application Process and Approval Time for Guardianship or Conservatorship
The application process for obtaining a guardian or conservator can vary significantly by state. Generally, the process includes filing the application, attending a court hearing, and waiting for a decision. The approval time may range from a few weeks to several months, depending on court schedules, the complexity of the case, and any objections raised by interested parties. It is advisable to prepare for potential delays by submitting all required documentation promptly.
Quick guide on how to complete instructions how to get a guardian andor conservator
Complete [SKS] effortlessly on any device
Managing documents online has gained popularity among businesses and individuals. It offers a superb eco-friendly substitute for traditional printed and signed documents, allowing you to locate the appropriate form and securely keep it online. airSlate SignNow provides you with all the tools necessary to create, modify, and eSign your documents quickly and without delays. Manage [SKS] on any platform using airSlate SignNow's Android or iOS applications and streamline any document-related process today.
How to modify and eSign [SKS] effortlessly
- Locate [SKS] and click Get Form to commence.
- Utilize the tools we provide to complete your document.
- Emphasize relevant sections of your documents or obscure sensitive information with tools specifically designed by airSlate SignNow for that purpose.
- Create your signature using the Sign tool, which takes mere seconds and holds the same legal validity as a conventional wet ink signature.
- Verify the details and click on the Done button to save your changes.
- Choose your preferred method for sharing your form, via email, text message (SMS), or invitation link, or download it to your computer.
Eliminate worries about lost or misfiled documents, tedious form searches, or errors necessitating the printing of new document copies. airSlate SignNow meets your document management needs in just a few clicks from any device you choose. Edit and eSign [SKS] to ensure excellent communication at every stage of the form preparation process with airSlate SignNow.
Create this form in 5 minutes or less
Related searches to INSTRUCTIONS HOW TO GET A GUARDIAN ANDOR CONSERVATOR
Create this form in 5 minutes!
People also ask
-
What are the general INSTRUCTIONS HOW TO GET A GUARDIAN ANDOR CONSERVATOR?
To obtain a guardian or conservator, start by understanding the legal process involved in your state. Typically, you will need to file a petition with the local court and attend a hearing where you'll present evidence of why guardianship or conservatorship is necessary. Following the court's approval, you'll receive official INSTRUCTIONS HOW TO GET A GUARDIAN ANDOR CONSERVATOR set forth by the judge.
-
How can airSlate SignNow assist in the process of obtaining a guardian or conservator?
airSlate SignNow provides a user-friendly platform for electronic signatures and document management, making it easier to prepare and send required legal documents. Utilizing SignNow can help streamline the process, ensuring that all forms related to your INSTRUCTIONS HOW TO GET A GUARDIAN ANDOR CONSERVATOR are signed quickly and securely.
-
What features does airSlate SignNow offer for legal document preparation?
airSlate SignNow offers robust features such as customizable templates, seamless document sharing, and cloud storage integration, all of which are helpful when following INSTRUCTIONS HOW TO GET A GUARDIAN ANDOR CONSERVATOR. Additionally, you can track document status and ensure compliance with legal requirements.
-
Is there a cost associated with using airSlate SignNow for legal documents?
Yes, while airSlate SignNow offers different pricing plans, it features cost-effective options suitable for individuals and businesses alike. Investing in airSlate SignNow is beneficial, especially when following INSTRUCTIONS HOW TO GET A GUARDIAN ANDOR CONSERVATOR, as it saves time and improves efficiency in document handling.
-
Can I integrate airSlate SignNow with other software for my guardianship needs?
Absolutely! airSlate SignNow integrates seamlessly with numerous business applications such as Google Drive, Dropbox, and more. This integration allows you to access and manage all your documents related to the INSTRUCTIONS HOW TO GET A GUARDIAN ANDOR CONSERVATOR from a single dashboard.
-
What benefits does eSigning provide for legal documents?
eSigning with airSlate SignNow ensures faster and more secure signing processes for important documents that are part of your INSTRUCTIONS HOW TO GET A GUARDIAN ANDOR CONSERVATOR. It can signNowly reduce turnaround times, and the digital record of signatures can enhance legal validity.
-
How does airSlate SignNow ensure the security of my documents?
airSlate SignNow employs industry-standard security measures, including encryption and secure access protocols, to protect sensitive documents. This guarantees that all files related to your INSTRUCTIONS HOW TO GET A GUARDIAN ANDOR CONSERVATOR remain confidential and secure throughout the signing process.
Get more for INSTRUCTIONS HOW TO GET A GUARDIAN ANDOR CONSERVATOR
- Pepco add name to account form
- Ablevets is recipient of first ever hire vets medallion program form
- Aaa windshield reimbursement form fill online printable
- Delaware estimated income tax form
- Allianz refund request form
- Texas official jury summons form
- Farm investor pathway interest guidelines form manitoba
- Csesap employee election form
Find out other INSTRUCTIONS HOW TO GET A GUARDIAN ANDOR CONSERVATOR
- eSignature Police Document Vermont Later
- eSignature Mississippi Sports POA Easy
- eSignature Police Document Vermont Myself
- eSignature Mississippi Sports POA Safe
- eSignature Utah Police Rental Lease Agreement Online
- eSignature Police Document Vermont Free
- eSignature Police Document Vermont Secure
- eSignature Police Document Vermont Simple
- eSignature Police Document Vermont Fast
- eSignature Utah Police Rental Lease Agreement Computer
- eSignature Police Document Vermont Easy
- eSignature Police Document Vermont Safe
- eSignature Utah Police Rental Lease Agreement Mobile
- How To eSignature Utah Police Rental Lease Agreement
- eSignature Oregon Real Estate Resignation Letter Online
- eSignature Oregon Real Estate Resignation Letter Computer
- How Do I eSignature Utah Police Rental Lease Agreement
- eSignature Utah Police Rental Lease Agreement Now
- eSignature Oregon Real Estate Resignation Letter Mobile
- eSignature Oregon Real Estate Resignation Letter Now