
Hereby Grants and Conveys Unto , a Corporation Organized under the Laws of Form


What is the hereby grants and conveys unto a corporation organized under the laws of?
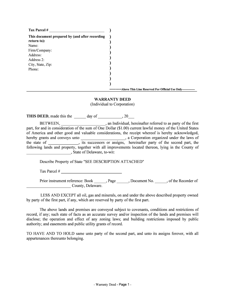
The hereby grants and conveys unto a corporation organized under the laws of form is a legal document that facilitates the transfer of property or rights from one entity to another. This form is often used in real estate transactions, business agreements, and other legal contexts where ownership or rights need to be clearly defined and transferred. It is essential for ensuring that the transfer is recognized by law and that all parties involved are protected under the applicable regulations.
Key elements of the hereby grants and conveys unto a corporation organized under the laws of
Several critical components make up the hereby grants and conveys unto a corporation organized under the laws of form. These include:
- Grantor and Grantee Information: Clearly identifying the parties involved in the transaction.
- Description of Property: A detailed description of the property or rights being transferred.
- Consideration: The value exchanged for the transfer, which can be monetary or otherwise.
- Signatures: The signatures of both the grantor and grantee, which validate the document.
- Date of Transfer: The date when the transfer becomes effective.
Steps to complete the hereby grants and conveys unto a corporation organized under the laws of
Completing the hereby grants and conveys unto a corporation organized under the laws of form involves several key steps:
- Gather all necessary information about the parties involved and the property.
- Fill out the form accurately, ensuring all details are correct.
- Review the completed form for any errors or omissions.
- Obtain signatures from both the grantor and grantee.
- Submit the form according to the relevant state regulations, which may include filing with a local government office.
Legal use of the hereby grants and conveys unto a corporation organized under the laws of
The legal use of the hereby grants and conveys unto a corporation organized under the laws of form requires compliance with state laws governing property transfers. This includes ensuring that the form is executed in accordance with local regulations, which may vary by state. Proper execution includes obtaining necessary notarizations, if required, and adhering to any filing requirements to make the transfer legally binding.
State-specific rules for the hereby grants and conveys unto a corporation organized under the laws of
Each state in the U.S. has its own regulations regarding the hereby grants and conveys unto a corporation organized under the laws of form. These rules can dictate how the form must be filled out, what additional documentation may be required, and how the form should be submitted. It is crucial to consult state-specific guidelines to ensure compliance and avoid potential legal issues.
Digital vs. Paper Version
When considering the hereby grants and conveys unto a corporation organized under the laws of form, users can choose between digital and paper versions. Digital forms offer convenience and efficiency, allowing for easy editing and electronic signatures. However, some jurisdictions may still require paper submissions or specific formats for legal recognition. Understanding the requirements of your state will help determine the best option for your needs.
Quick guide on how to complete hereby grants and conveys unto a corporation organized under the laws of
Effortlessly prepare [SKS] on any device
Digital document management has gained traction among businesses and individuals. It serves as an ideal eco-friendly alternative to conventional printed and signed papers, enabling you to locate the appropriate form and securely store it online. airSlate SignNow equips you with all the tools necessary to create, edit, and eSign your documents swiftly without delays. Manage [SKS] on any platform using airSlate SignNow's Android or iOS applications and enhance any document-centric process today.
How to modify and eSign [SKS] with ease
- Obtain [SKS] and click on Get Form to begin.
- Utilize the tools we offer to fill out your document.
- Highlight pertinent sections of the documents or obscure sensitive information with tools that airSlate SignNow provides specifically for that purpose.
- Create your eSignature using the Sign feature, which only takes seconds and holds the same legal validity as a conventional wet ink signature.
- Verify the information and select the Done button to save your modifications.
- Decide how you want to deliver your form, either via email, text (SMS), or invitation link, or download it to your computer.
Say goodbye to lost or misplaced documents, tedious form searches, or mistakes that require reprinting. airSlate SignNow addresses all your document management needs in just a few clicks from any device of your choice. Modify and eSign [SKS] and ensure excellent communication at every step of your document preparation process with airSlate SignNow.
Create this form in 5 minutes or less
Create this form in 5 minutes!
People also ask
-
What are the benefits of using airSlate SignNow for my corporation?
Using airSlate SignNow, you can streamline your document management process, allowing for quick and secure eSigning. With features that specifically cater to businesses 'Hereby Grants And Conveys Unto, A Corporation Organized Under The Laws Of,' you can improve your workflow efficiency and enhance compliance.
-
How does airSlate SignNow ensure the security of my documents?
airSlate SignNow employs industry-standard encryption and secure access protocols to protect your documents. Therefore, you can confidently manage your sensitive paperwork, especially when it 'Hereby Grants And Conveys Unto, A Corporation Organized Under The Laws Of,' ensuring that your data remains safe and compliant.
-
What features does airSlate SignNow offer for document signing?
airSlate SignNow provides a variety of features including templates, in-person signing, and advanced authentication options. This makes it an excellent choice for businesses that 'Hereby Grants And Conveys Unto, A Corporation Organized Under The Laws Of,' enabling them to customize their signing experience and improve operational efficiency.
-
Is airSlate SignNow affordable for small businesses?
Yes, airSlate SignNow offers competitive pricing that suits small to large businesses. By choosing us, you gain access to essential features without breaking the bank, allowing your business 'Hereby Grants And Conveys Unto, A Corporation Organized Under The Laws Of' to thrive with a cost-effective eSigning solution.
-
Can I integrate airSlate SignNow with other tools?
Absolutely! airSlate SignNow easily integrates with various platforms like Salesforce, Google Drive, and more. This flexibility means that your organization 'Hereby Grants And Conveys Unto, A Corporation Organized Under The Laws Of' can enhance its existing workflow with seamless document eSigning.
-
What types of documents can I sign using airSlate SignNow?
You can sign a wide range of document types, from contracts to agreements and forms, using airSlate SignNow. This feature equips businesses that 'Hereby Grants And Conveys Unto, A Corporation Organized Under The Laws Of' to handle all their important paperwork efficiently and securely.
-
Does airSlate SignNow provide mobile support?
Yes, airSlate SignNow offers robust mobile support, allowing users to send and sign documents from their smartphones and tablets. This feature is essential for businesses that 'Hereby Grants And Conveys Unto, A Corporation Organized Under The Laws Of,' ensuring that you can manage documents on the go.
Get more for Hereby Grants And Conveys Unto , A Corporation Organized Under The Laws Of
- Ohio legal last will and testament form for single person with adult children
- Oregon legal last will and testament form for divorced person not remarried with no children
- Georgia marital legal separation and property settlement agreement where no children or no joint property or debts and divorce form
- Change name in virginia form
- Will last testament form
- Agreement series form
- Trusts issue form
- Alaska prenuptial agreement form
Find out other Hereby Grants And Conveys Unto , A Corporation Organized Under The Laws Of
- Can I eSign South Dakota Banking Moving Checklist
- Can I eSign South Dakota Banking Warranty Deed
- eSign South Dakota Banking Warranty Deed Safe
- How To eSign Tennessee Banking Resignation Letter
- How Do I eSign Tennessee Banking Resignation Letter
- Help Me With eSign Tennessee Banking Resignation Letter
- How Can I eSign Tennessee Banking Resignation Letter
- Can I eSign Tennessee Banking Resignation Letter
- eSign Tennessee Banking Business Plan Template Online
- How To eSign Tennessee Banking Business Plan Template
- eSign Tennessee Banking Claim Online
- How Do I eSign Tennessee Banking Business Plan Template
- eSign Tennessee Banking Business Plan Template Computer
- Help Me With eSign Tennessee Banking Business Plan Template
- How Can I eSign Tennessee Banking Business Plan Template
- Can I eSign Tennessee Banking Business Plan Template
- eSign Tennessee Banking Business Plan Template Mobile
- eSign Tennessee Banking Claim Computer
- eSign Tennessee Banking Business Plan Template Now
- eSign Tennessee Banking Claim Mobile