
Illinois Statutes Chapter 755 Estates 5 4 Short Term Guardian Form


What is the Illinois Statutes Chapter 755 Estates 5 4 Short term Guardian
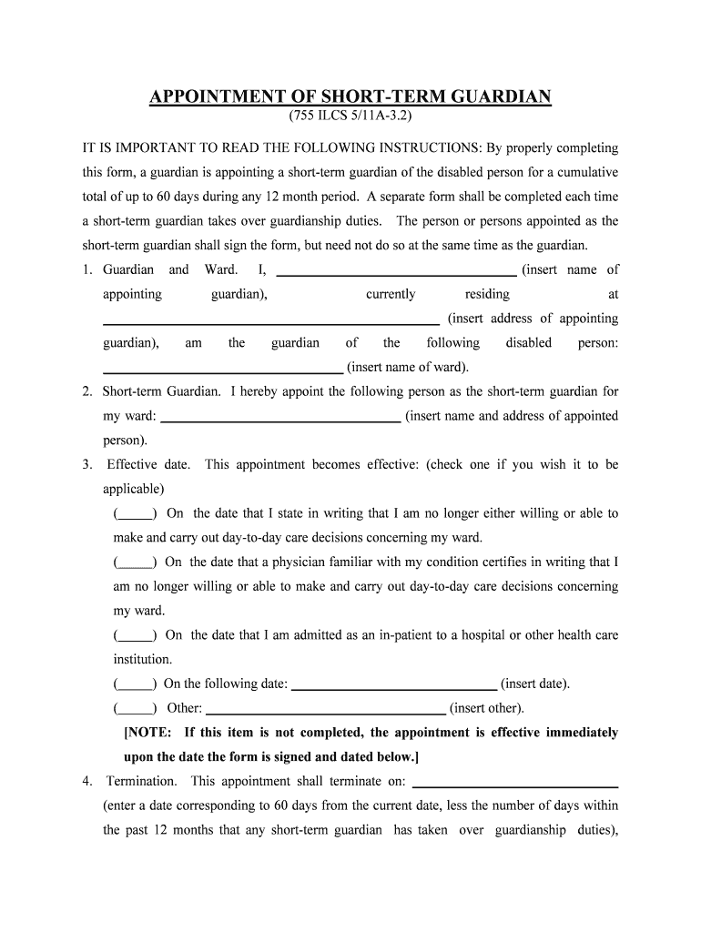
The Illinois Statutes Chapter 755 Estates 5 4 Short term Guardian form is a legal document designed to appoint a temporary guardian for a minor or an individual unable to care for themselves. This form is particularly relevant in situations where immediate guardianship is necessary, such as during emergencies or when a parent is temporarily unavailable. The statute outlines the responsibilities and authority granted to the short-term guardian, ensuring that the best interests of the individual are prioritized.
How to use the Illinois Statutes Chapter 755 Estates 5 4 Short term Guardian
Using the Illinois Statutes Chapter 755 Estates 5 4 Short term Guardian form involves several clear steps. First, identify the individual who requires guardianship and the person you wish to appoint as the guardian. Next, complete the form with accurate information regarding both parties. It is essential to provide details such as names, addresses, and the specific duration for which guardianship is requested. Once completed, the form must be signed and dated by the parties involved, and in some cases, may require notarization to ensure its legal validity.
Steps to complete the Illinois Statutes Chapter 755 Estates 5 4 Short term Guardian
Completing the Illinois Statutes Chapter 755 Estates 5 4 Short term Guardian form involves the following steps:
- Gather necessary information about the minor or individual in need of guardianship.
- Identify and provide details about the proposed short-term guardian.
- Fill out the form accurately, ensuring all required fields are completed.
- Sign and date the form, confirming the agreement between the parties.
- If required, have the document notarized to enhance its legal standing.
Legal use of the Illinois Statutes Chapter 755 Estates 5 4 Short term Guardian
The legal use of the Illinois Statutes Chapter 755 Estates 5 4 Short term Guardian form is crucial for ensuring that the appointed guardian has the authority to make decisions on behalf of the individual in question. This form is recognized by courts and legal entities, provided it is filled out correctly and complies with state laws. It is important to understand that this guardianship is temporary and is typically limited to a specific duration, as indicated in the form.
Key elements of the Illinois Statutes Chapter 755 Estates 5 4 Short term Guardian
Key elements of the Illinois Statutes Chapter 755 Estates 5 4 Short term Guardian form include:
- The name and contact information of the minor or individual needing guardianship.
- The name and contact information of the proposed short-term guardian.
- The specific duration for which the guardianship is being requested.
- Signatures of both parties, indicating consent and understanding.
- Notarization, if required, to validate the document legally.
State-specific rules for the Illinois Statutes Chapter 755 Estates 5 4 Short term Guardian
State-specific rules for the Illinois Statutes Chapter 755 Estates 5 4 Short term Guardian form dictate how the document must be filled out and submitted. Illinois law requires that the form be completed in accordance with the guidelines set forth in the state's statutes. This includes ensuring that the duration of guardianship does not exceed the limits established by law and that the form is signed by all necessary parties. Additionally, some jurisdictions may have specific requirements regarding the notarization of the document.
Quick guide on how to complete illinois statutes chapter 755 estates 54short term guardian
Simplify [SKS] on any device
Digital document management has become increasingly popular among businesses and individuals. It offers an excellent eco-friendly alternative to traditional printed and signed documents, allowing you to locate the right form and securely store it online. airSlate SignNow provides all the necessary tools to create, edit, and electronically sign your documents rapidly, without interruptions. Manage [SKS] on any platform with airSlate SignNow's Android or iOS applications and enhance any document-based workflow today.
Effortlessly modify and eSign [SKS]
- Obtain [SKS] and click on Get Form to begin.
- Use the features we provide to complete your form.
- Emphasize important sections of your documents or redact sensitive information with tools specifically designed for that purpose by airSlate SignNow.
- Create your eSignature using the Sign tool, which only takes seconds and holds the same legal validity as a conventional wet ink signature.
- Review the details and click on the Done button to save your changes.
- Choose your preferred method to send your form, whether by email, text message (SMS), an invitation link, or download it to your computer.
Say goodbye to lost or misplaced documents, tedious form searches, and mistakes that require printing new document copies. airSlate SignNow addresses your document management needs in just a few clicks from any device you prefer. Edit and eSign [SKS] and ensure excellent communication throughout your form preparation process with airSlate SignNow.
Create this form in 5 minutes or less
Related searches to Illinois Statutes Chapter 755 Estates 5 4 Short term Guardian
Create this form in 5 minutes!
People also ask
-
What is the significance of Illinois Statutes Chapter 755 Estates 5 4 Short term Guardian?
Illinois Statutes Chapter 755 Estates 5 4 Short term Guardian provides legal guidelines for appointing a temporary guardian for a minor. Understanding this statute is crucial for parents and guardians who may need to designate someone to make important decisions on their behalf in urgent situations.
-
How can airSlate SignNow assist with the documentation related to Illinois Statutes Chapter 755 Estates 5 4 Short term Guardian?
airSlate SignNow enables users to easily create, send, and eSign documents required under Illinois Statutes Chapter 755 Estates 5 4 Short term Guardian. This streamlines the process of designating a temporary guardian, ensuring that all necessary legal forms are completed and securely signed.
-
What are the pricing options for using airSlate SignNow for legal documents?
airSlate SignNow offers flexible pricing plans suitable for individuals and businesses needing to manage documents under statutes like Illinois Statutes Chapter 755 Estates 5 4 Short term Guardian. Our plans are designed to be cost-effective, allowing users to choose the features that best fit their needs without overspending.
-
What features does airSlate SignNow provide for managing guardianship documents?
With airSlate SignNow, you can easily create templates for guardianship documents, track their status, and automate reminders for signatures. These features are particularly beneficial for ensuring compliance with Illinois Statutes Chapter 755 Estates 5 4 Short term Guardian, providing peace of mind in urgent situations.
-
Can I integrate airSlate SignNow with other tools for better document management?
Yes, airSlate SignNow seamlessly integrates with a variety of apps and software, enhancing your workflow for managing documents related to Illinois Statutes Chapter 755 Estates 5 4 Short term Guardian. This integration capability allows for efficient data transfer and streamlined document processes.
-
Is airSlate SignNow secure for eSigning legal documents like guardianship forms?
Absolutely! airSlate SignNow is designed with top-notch security features to ensure that eSigning legal documents, including those under Illinois Statutes Chapter 755 Estates 5 4 Short term Guardian, is protected. Our platform complies with industry standards to keep your information safe and secure.
-
What benefits can I expect from using airSlate SignNow for legal paperwork?
Using airSlate SignNow for your legal paperwork, including documents related to Illinois Statutes Chapter 755 Estates 5 4 Short term Guardian, streamlines the entire signing process. The platform saves time, reduces paperwork, and ensures compliance, making it an essential tool for legal document management.
Get more for Illinois Statutes Chapter 755 Estates 5 4 Short term Guardian
- Marital domestic separation and property settlement agreement no children parties may have joint property or debts effective 497315592 form
- Marital domestic separation and property settlement agreement adult children parties may have joint property or debts where 497315593 form
- Marital domestic separation and property settlement agreement adult children parties may have joint property or debts effective 497315594 form
- Living trust for husband and wife with no children mississippi form
- Living trust for individual who is single divorced or widow or widower with no children mississippi form
- Living trust for individual who is single divorced or widow or widower with children mississippi form
- Living trust for husband and wife with one child mississippi form
- Living trust for husband and wife with minor and or adult children mississippi form
Find out other Illinois Statutes Chapter 755 Estates 5 4 Short term Guardian
- Electronic signature Minnesota High Tech POA Now
- Electronic signature Minnesota High Tech POA Later
- Electronic signature Minnesota High Tech POA Myself
- Electronic signature Minnesota High Tech POA Free
- Electronic signature Minnesota High Tech POA Secure
- How To Electronic signature Mississippi High Tech Resignation Letter
- Electronic signature Minnesota High Tech POA Fast
- How Do I Electronic signature Mississippi High Tech Resignation Letter
- Electronic signature Minnesota High Tech POA Simple
- Electronic signature Minnesota High Tech POA Easy
- Electronic signature Minnesota High Tech POA Safe
- Help Me With Electronic signature Mississippi High Tech Resignation Letter
- How To Electronic signature Minnesota High Tech POA
- How Can I Electronic signature Mississippi High Tech Resignation Letter
- Electronic signature Wisconsin Insurance Separation Agreement Online
- How Do I Electronic signature Minnesota High Tech POA
- Can I Electronic signature Mississippi High Tech Resignation Letter
- Electronic signature Wisconsin Insurance Separation Agreement Computer
- Electronic signature Wisconsin Insurance Separation Agreement Mobile
- Electronic signature Wisconsin Insurance Separation Agreement Now