
Partnership Agreement with Senior and Junior Partner Form


What is the Partnership Agreement With Senior and Junior Partner
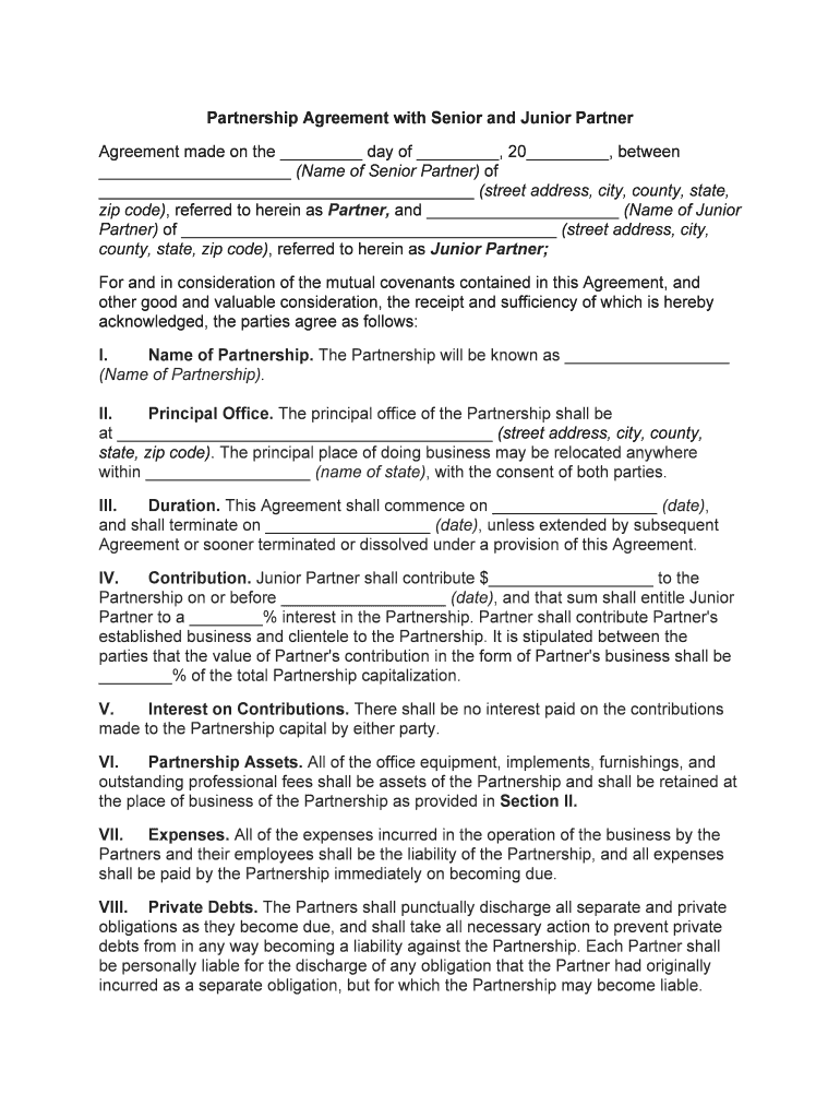
A partnership agreement with senior and junior partners is a legal document that outlines the roles, responsibilities, and expectations of each partner within a business partnership. This agreement serves as a foundational framework for how the partnership will operate, addressing key aspects such as profit sharing, decision-making processes, and dispute resolution. It is crucial for ensuring that all parties understand their obligations and rights, thereby minimizing potential conflicts in the future.
Key Elements of the Partnership Agreement With Senior and Junior Partner
Several key elements should be included in a partnership agreement to ensure clarity and legal enforceability:
- Names of the Partners: Clearly list the names of all senior and junior partners involved in the agreement.
- Business Purpose: Define the nature of the business and its objectives.
- Capital Contributions: Specify the amount of capital each partner is contributing and how profits and losses will be shared.
- Decision-Making Process: Outline how decisions will be made, including voting rights and procedures.
- Dispute Resolution: Include methods for resolving disputes, such as mediation or arbitration.
- Duration of the Partnership: State the length of the partnership and conditions for renewal or termination.
Steps to Complete the Partnership Agreement With Senior and Junior Partner
Completing a partnership agreement involves several important steps:
- Gather all relevant information about the partners and the business.
- Draft the agreement, ensuring all key elements are included.
- Review the document with all partners to ensure mutual understanding and agreement.
- Make any necessary revisions based on feedback from partners.
- Sign the agreement in the presence of a notary public to enhance its legal standing.
Legal Use of the Partnership Agreement With Senior and Junior Partner
The partnership agreement is legally binding once signed by all parties involved. To ensure its enforceability, it must comply with state laws governing partnerships. This includes adhering to regulations related to business operations, tax obligations, and liability issues. Having a well-drafted agreement can protect partners' interests and provide a clear course of action in the event of disputes or changes in the partnership structure.
How to Obtain the Partnership Agreement With Senior and Junior Partner
Obtaining a partnership agreement can be done through various means:
- Legal Templates: Many legal websites offer downloadable templates that can be customized to fit specific partnership needs.
- Legal Counsel: Consulting with a lawyer who specializes in business law can ensure that the agreement meets all legal requirements and addresses the unique aspects of the partnership.
- Online Document Services: Platforms that provide document creation services can assist in drafting a partnership agreement tailored to the partners' specifications.
Quick guide on how to complete legal partnership agreement pdf
Complete legal partnership agreement pdf effortlessly on any device
Web-based document management has become widespread among businesses and individuals. It serves as an ideal eco-friendly alternative to traditional printed and signed documents, allowing you to access the right form and securely store it online. airSlate SignNow provides all the tools necessary to create, edit, and eSign your papers quickly without delays. Manage legal partnership agreement pdf on any device using airSlate SignNow Android or iOS applications and enhance any document-related process today.
How to modify and eSign legal partnership agreement pdf with ease
- Acquire legal partnership agreement pdf and click on Get Form to begin.
- Utilize the tools available to complete your form.
- Highlight important sections of your documents or redact sensitive information with tools that airSlate SignNow provides specifically for this purpose.
- Create your signature using the Sign tool, which takes seconds and holds the same legal authority as a conventional wet ink signature.
- Review all the details and click on the Done button to save your changes.
- Select how you wish to send your form, via email, SMS, or invitation link, or download it to your computer.
Eliminate worries about lost or misplaced files, tedious form searching, or mistakes that necessitate printing additional document copies. airSlate SignNow meets your document management needs in just a few clicks from any device you prefer. Edit and eSign legal partnership agreement pdf and ensure effective communication at every stage of your form preparation process with airSlate SignNow.
Create this form in 5 minutes or less
Related searches to legal partnership agreement pdf
Create this form in 5 minutes!
People also ask legal partnership agreement pdf
-
What is a legal partnership agreement PDF?
A legal partnership agreement PDF is a formal document that outlines the terms and conditions of a partnership between two or more parties. It specifies roles, responsibilities, and profit-sharing among partners, ensuring clarity and legal protection. Using airSlate SignNow, you can easily create and customize this document for your business needs.
-
How can I create a legal partnership agreement PDF using airSlate SignNow?
Creating a legal partnership agreement PDF with airSlate SignNow is simple and straightforward. You can start from a template or build your own document, adding necessary fields and clauses. Once completed, you can send it out for eSignature, ensuring quick and secure approval.
-
Is airSlate SignNow cost-effective for legal document management?
Yes, airSlate SignNow offers a cost-effective solution for managing legal documents, including legal partnership agreement PDFs. The pricing tiers are designed to fit varying business sizes and needs, making it accessible for startups and established firms alike.
-
What features does airSlate SignNow offer for legal partnership agreements?
airSlate SignNow provides features such as customizable templates, eSigning, real-time tracking, and secure document storage for legal partnership agreement PDFs. These features streamline the agreement process, ensuring that every detail is captured accurately and efficiently shared.
-
Can I integrate airSlate SignNow with other software solutions?
Absolutely! airSlate SignNow integrates seamlessly with various software solutions, including CRMs and cloud storage services. This allows for easy access and management of your legal partnership agreement PDFs along with other business documents.
-
What are the benefits of using airSlate SignNow for my legal partnership agreements?
Using airSlate SignNow for legal partnership agreements offers multiple benefits, such as faster turnaround times, reduced paperwork, and enhanced security. Additionally, the platform's user-friendly interface makes it easy for all parties involved to review and sign documents quickly.
-
Is it safe to store legal partnership agreement PDFs in airSlate SignNow?
Yes, it is completely safe to store your legal partnership agreement PDFs in airSlate SignNow. The platform employs robust encryption and security protocols to protect sensitive information, ensuring that your business's legal documents remain confidential and secure.
Get more for legal partnership agreement pdf
- Volunteer opportunity in el paso east providence form
- Child find broward form
- Application for employment ski four lakes form
- Wwe match card maker form
- Analytics request form template
- H 60 performance planning card da form 5701 60 r may apd army
- Medical provider transportation request form medicaid co
- Probation checklist form
Find out other legal partnership agreement pdf
- How To Sign Rhode Island High Tech Word
- How To Sign Rhode Island High Tech Word
- How Do I Sign Rhode Island High Tech Word
- How To Sign Rhode Island High Tech Word
- How Do I Sign Rhode Island High Tech Word
- Help Me With Sign Rhode Island High Tech Word
- Help Me With Sign Rhode Island High Tech Word
- How Can I Sign Rhode Island High Tech Word
- Can I Sign Rhode Island High Tech Word
- How Do I Sign Rhode Island High Tech Word
- How Can I Sign Rhode Island High Tech Word
- How To Sign Rhode Island High Tech PDF
- Help Me With Sign Rhode Island High Tech Word
- Can I Sign Rhode Island High Tech Word
- How Do I Sign Rhode Island High Tech PDF
- Help Me With Sign Rhode Island High Tech PDF
- How Can I Sign Rhode Island High Tech PDF
- How Can I Sign Rhode Island High Tech Word
- Can I Sign Rhode Island High Tech PDF
- Can I Sign Rhode Island High Tech Word