
Order on Prisoner's Form


What is the Order On Prisoner's
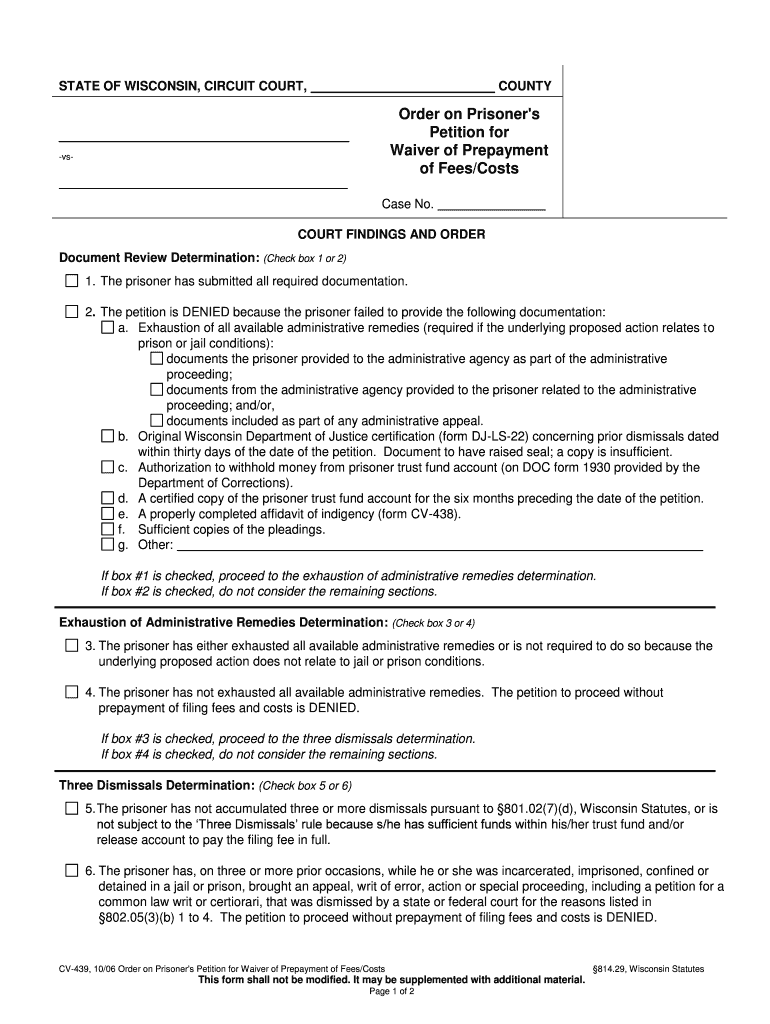
The Order On Prisoner's form is a legal document used primarily in the context of corrections and legal proceedings. This form allows authorized individuals or entities to request the transfer or release of an inmate under specific circumstances. It serves as a formal request to the appropriate authorities, ensuring that all legal protocols are followed during the process. Understanding the nature and purpose of this form is essential for anyone involved in the criminal justice system, whether as a legal professional, family member, or advocate.
How to use the Order On Prisoner's
Using the Order On Prisoner's form requires a clear understanding of the information needed and the process involved. Begin by gathering all necessary details about the inmate, including their full name, identification number, and the facility where they are currently held. Next, complete the form accurately, ensuring that all required fields are filled out. Once the form is completed, it should be submitted to the appropriate correctional facility or legal authority for processing. It is crucial to follow any specific instructions provided by the institution regarding submission methods and additional documentation.
Steps to complete the Order On Prisoner's
Completing the Order On Prisoner's form involves several key steps:
- Gather necessary information about the inmate, including their identification number and current location.
- Carefully fill out the form, ensuring all required fields are completed accurately.
- Review the form for any errors or omissions before submission.
- Submit the form to the designated authority, following any specific submission guidelines.
- Keep a copy of the completed form for your records.
Legal use of the Order On Prisoner's
The legal use of the Order On Prisoner's form is governed by various laws and regulations that ensure the rights of inmates are respected. This form must be used in compliance with state and federal laws, which outline the conditions under which an inmate may be transferred or released. It is important to understand these legal frameworks to ensure that the form is used appropriately and that all necessary legal standards are met. Failure to comply with these regulations can result in delays or denials in processing the request.
Key elements of the Order On Prisoner's
Several key elements are essential for the Order On Prisoner's form to be considered valid:
- Inmate's full name and identification number.
- Details of the requesting party, including their relationship to the inmate.
- Specific reasons for the request, such as medical needs or legal representation.
- Signature of the requesting party, affirming the accuracy of the information provided.
- Date of submission, which may affect processing timelines.
State-specific rules for the Order On Prisoner's
Each state may have its own specific rules and regulations regarding the Order On Prisoner's form. These rules can dictate the information required, the submission process, and the legal grounds for requesting an inmate's transfer or release. It is important for individuals to familiarize themselves with their state's requirements to ensure compliance and avoid potential complications. Consulting with a legal professional or reviewing state-specific resources can provide valuable guidance.
Quick guide on how to complete order on prisoners
Effortlessly Prepare [SKS] on Any Device
Managing documents online has gained popularity among businesses and individuals alike. It serves as an ideal eco-friendly substitute for conventional printed and signed paperwork, allowing you to locate the necessary form and securely store it online. airSlate SignNow equips you with all the resources required to create, edit, and electronically sign your documents swiftly and without delays. Handle [SKS] across any platform with airSlate SignNow's Android or iOS applications and enhance any document-related operation today.
How to Edit and Electronically Sign [SKS] with Ease
- Obtain [SKS] and click Get Form to begin.
- Make use of the tools we offer to complete your form.
- Highlight pertinent sections of the documents or obscure sensitive information with tools that airSlate SignNow provides specifically for that purpose.
- Create your signature using the Sign tool, which only takes seconds and carries the same legal validity as a conventional wet ink signature.
- Review the information and click on the Done button to save your changes.
- Select how you wish to send your form, whether by email, SMS, or invite link, or download it to your computer.
Say goodbye to lost or misplaced documents, tedious form searches, or errors that necessitate reprinting new document copies. airSlate SignNow caters to your document management needs in just a few clicks from any device you prefer. Edit and electronically sign [SKS] to ensure outstanding communication throughout every phase of your form preparation process with airSlate SignNow.
Create this form in 5 minutes or less
Create this form in 5 minutes!
People also ask
-
What is the process to Order On Prisoner's using airSlate SignNow?
To Order On Prisoner's with airSlate SignNow, start by creating an account and uploading the document you need signed. Then, add the signers' email addresses and specify where they need to sign. Our platform will guide you through each step to ensure a seamless eSigning experience.
-
What pricing plans are available for ordering on Prisoner's?
We offer several pricing plans for ordering on Prisoner's, including monthly and annual subscriptions. Each plan comes with features tailored to meet various business needs, with discounts available for long-term commitments. Visit our pricing page to find the plan that best fits your requirements.
-
What features does airSlate SignNow offer for ordering on Prisoner's?
airSlate SignNow includes a range of features specifically designed for efficient document management when you Order On Prisoner's. Key features include customizable templates, real-time tracking of document status, and secure cloud storage. These tools enhance productivity and ensure a seamless signing experience.
-
Can I integrate airSlate SignNow with other software for ordering on Prisoner's?
Yes, airSlate SignNow offers various integrations to streamline your workflow when you Order On Prisoner's. You can connect with popular tools like Google Drive, Salesforce, and Microsoft Office, allowing you to manage documents effortlessly. Check our integrations page for a complete list of compatible applications.
-
Is it secure to Order On Prisoner's through airSlate SignNow?
Absolutely. When you Order On Prisoner's through airSlate SignNow, security is a top priority. Our platform uses advanced encryption protocols to protect your documents, ensuring that all sensitive information remains confidential and secure during the eSigning process.
-
How can I track the status of my Order On Prisoner's?
You can easily track the status of your Order On Prisoner's using airSlate SignNow's dashboard. This feature provides real-time updates, notifications when documents are viewed or signed, and a comprehensive audit trail. Stay informed at every step without the need for constant follow-ups.
-
Are there any specific benefits to using airSlate SignNow for ordering on Prisoner's?
Using airSlate SignNow to Order On Prisoner's signNowly reduces the time and costs associated with traditional document management. The platform enhances efficiency through automation and reduces errors that can occur with manual handling. Additionally, it improves compliance and boosts overall productivity.
Get more for Order On Prisoner's
Find out other Order On Prisoner's
- Help Me With eSignature New Jersey Life Sciences Profit And Loss Statement
- eSignature Kansas Non-Profit Medical History Now
- eSignature New Jersey Life Sciences Profit And Loss Statement Safe
- eSignature Kansas Non-Profit Medical History Later
- How Can I eSignature New Jersey Life Sciences Profit And Loss Statement
- How To eSignature Kansas Non-Profit Medical History
- eSignature Kansas Non-Profit Medical History Myself
- How Do I eSignature Kansas Non-Profit Medical History
- Help Me With eSignature Kansas Non-Profit Medical History
- Can I eSignature New Jersey Life Sciences Profit And Loss Statement
- eSignature Kansas Non-Profit Medical History Free
- How Can I eSignature Kansas Non-Profit Medical History
- Can I eSignature Kansas Non-Profit Medical History
- eSignature Kansas Non-Profit Medical History Secure
- eSignature Life Sciences Word North Carolina Online
- eSignature Kansas Non-Profit Medical History Fast
- eSignature Life Sciences Word North Carolina Computer
- eSignature Life Sciences Word North Carolina Mobile
- eSignature Life Sciences Word North Carolina Now
- eSignature Kansas Non-Profit Medical History Simple