
Deed Property Community Form


What is the Louisiana warranty deed?
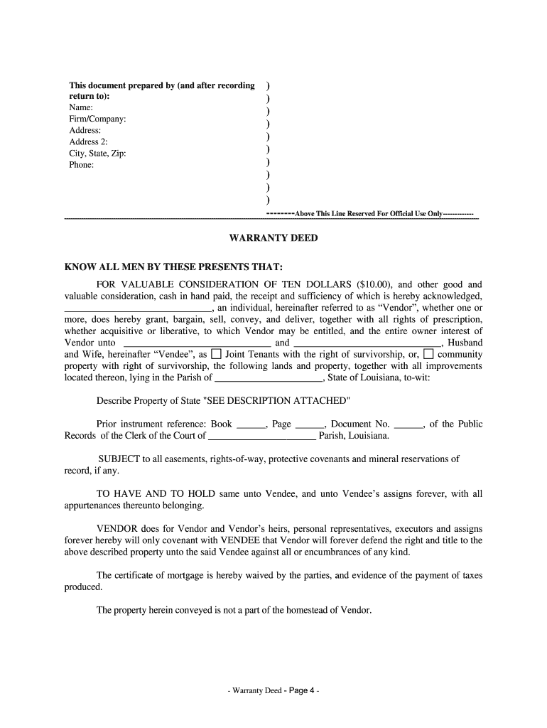
The Louisiana warranty deed is a legal document that transfers ownership of real property from one party to another while providing a guarantee against any future claims on the property. This type of deed ensures that the seller, known as the grantor, holds clear title to the property and has the legal right to sell it. Should any issues arise regarding the title after the transfer, the grantor is responsible for resolving these claims. In Louisiana, warranty deeds are essential for protecting the rights of the buyer, known as the grantee, by ensuring that they receive full ownership without encumbrances.
Key elements of the Louisiana warranty deed
A Louisiana warranty deed must include several critical components to be legally valid. These elements include:
- Parties involved: The full names and addresses of both the grantor and grantee.
- Property description: A detailed description of the property being transferred, including its location and boundaries.
- Consideration: The amount of money or value exchanged for the property, which is often stated in the deed.
- Granting clause: A statement indicating the grantor's intention to transfer ownership to the grantee.
- Signature: The grantor must sign the deed, and it may require notarization to be enforceable.
Steps to complete the Louisiana warranty deed
Completing a Louisiana warranty deed involves several important steps:
- Gather necessary information: Collect details about the property, including its legal description and the names of all parties involved.
- Draft the deed: Use a template or consult with a legal professional to create the warranty deed, ensuring all required elements are included.
- Review the document: Carefully check the deed for accuracy and completeness before signing.
- Sign and notarize: The grantor must sign the deed in the presence of a notary public, who will also sign and affix their seal.
- File the deed: Submit the completed warranty deed to the appropriate parish clerk of court for recording, which provides public notice of the property transfer.
Legal use of the Louisiana warranty deed
The legal use of a Louisiana warranty deed is crucial for ensuring the proper transfer of property ownership. This deed serves as evidence of the transaction and protects the grantee against future claims. It is essential to adhere to state laws and regulations when drafting and executing the deed. Failure to comply with legal requirements may result in the deed being deemed invalid, which could lead to disputes over property ownership. Therefore, it is advisable to consult legal professionals when creating a warranty deed to ensure all legal standards are met.
State-specific rules for the Louisiana warranty deed
Louisiana has specific rules governing the use of warranty deeds that differ from other states. These rules include:
- Notarization: In Louisiana, a warranty deed must be notarized to be valid.
- Recording: The completed deed must be filed with the parish clerk of court to be enforceable against third parties.
- Community property laws: Louisiana is a community property state, meaning property acquired during marriage may be jointly owned by both spouses unless otherwise specified in the deed.
How to obtain the Louisiana warranty deed
Obtaining a Louisiana warranty deed typically involves drafting the document or acquiring a template from a legal resource. Many legal websites and professionals offer templates that comply with Louisiana law. It is essential to ensure that the template includes all necessary elements for a warranty deed. Additionally, consulting with a real estate attorney can provide guidance and ensure that the deed meets all legal requirements for a successful transfer of property ownership.
Quick guide on how to complete louisiana warranty deed
Complete louisiana warranty deed effortlessly on any device
Managing documents online has gained popularity among businesses and individuals alike. It serves as an excellent eco-friendly alternative to traditional printed and signed paperwork, allowing you to obtain the necessary forms and securely store them online. airSlate SignNow offers all the features you require to create, edit, and electronically sign your documents swiftly without delays. Handle louisiana warranty deed on any device using airSlate SignNow's Android or iOS applications and enhance any document-oriented task today.
How to modify and electronically sign deed property community with ease
- Obtain louisiana warranty deed and then click Get Form to begin.
- Make use of the tools we offer to finalize your document.
- Emphasize important sections of your documents or redact sensitive information with the specialized tools that airSlate SignNow provides for that purpose.
- Create your electronic signature using the Sign feature, which takes just seconds and holds the same legal validity as a traditional ink signature.
- Review all the details and then click on the Done button to save your changes.
- Choose how you wish to share your form, via email, SMS, or invite link, or download it to your computer.
Eliminate concerns about lost or mislaid documents, tedious form searches, or mistakes that necessitate printing new document copies. airSlate SignNow addresses your document management needs with just a few clicks from your preferred device. Edit and eSign deed property community and ensure effective communication at every stage of the form preparation process with airSlate SignNow.
Create this form in 5 minutes or less
Related searches to louisiana warranty deed
Create this form in 5 minutes!
People also ask deed property community
-
What is a Louisiana warranty deed?
A Louisiana warranty deed is a legal document that guarantees the seller's right to transfer ownership of property, offering protection against claims on the title. It includes a warranty from the seller that they hold clear title to the property and can convey it. Understanding how a Louisiana warranty deed works is crucial for both buyers and sellers in real estate transactions.
-
How can I create a Louisiana warranty deed using airSlate SignNow?
You can easily create a Louisiana warranty deed using airSlate SignNow by accessing our user-friendly template library. Just select the warranty deed template, fill in the required fields, and customize it to fit your transaction. Our platform simplifies the process, allowing you to eSign and send documents quickly.
-
What are the benefits of using airSlate SignNow for a Louisiana warranty deed?
Using airSlate SignNow to manage your Louisiana warranty deed has several benefits, including ease of use, speed, and security. You can complete the document anywhere, at any time, ensuring a hassle-free experience. Additionally, our platform provides secure storage and access to all your documents.
-
Is there a cost associated with creating a Louisiana warranty deed on airSlate SignNow?
Yes, there is a cost associated with creating a Louisiana warranty deed using airSlate SignNow, but it is an affordable solution. We offer various pricing plans that cater to different needs, ensuring you get the best value for your documents. Check our pricing page for detailed information on plans and features.
-
Can I integrate airSlate SignNow with other tools for managing Louisiana warranty deeds?
Absolutely! airSlate SignNow offers seamless integrations with various tools and software, enhancing your ability to manage Louisiana warranty deeds efficiently. Whether you use CRM systems, cloud storage, or project management software, our integrations can streamline your workflow signNowly.
-
What features does airSlate SignNow offer for eSigning a Louisiana warranty deed?
airSlate SignNow provides several features for eSigning a Louisiana warranty deed, including signature customization, template saving, and real-time tracking of the signing process. You can invite others to sign, set reminders, and manage the signing workflow with ease. This ensures a smooth and efficient document handling experience.
-
How does airSlate SignNow ensure the security of my Louisiana warranty deed?
Security is a top priority at airSlate SignNow. Our platform uses advanced encryption and secure cloud storage to protect your Louisiana warranty deed and any sensitive data you may have. Additionally, we comply with industry-standard security protocols, ensuring that your documents are safe from unauthorized access.
Get more for louisiana warranty deed
- Sc1040es form
- Taxpayer guide missouri department of revenue mo gov form
- 1350 dor sc gov2023state of south carolinadepartme form
- Sc property tax exemption form fill out ampamp sign online
- Mayor walsh says syracuse university services agreement form
- Nfp exemption from real estate taxation for property owned by form
- 84agnebraska ag use motor fuels tax refund claim form
- School district data ohio department of taxation form
Find out other deed property community
- How To Sign Utah Education Presentation
- How Do I Sign Utah Education Presentation
- Help Me With Sign Utah Education Presentation
- How Can I Sign Utah Education Presentation
- How Do I Sign Utah Education Presentation
- Can I Sign Utah Education Presentation
- Help Me With Sign Utah Education Presentation
- How To Sign Utah Education Presentation
- How To Sign Utah Education Presentation
- How Can I Sign Utah Education Presentation
- How Do I Sign Utah Education Presentation
- How Do I Sign Utah Education Presentation
- Help Me With Sign Utah Education Presentation
- Can I Sign Utah Education Presentation
- How Can I Sign Utah Education Presentation
- Can I Sign Utah Education Presentation
- Help Me With Sign Utah Education Presentation
- How To Sign Utah Education Presentation
- How Can I Sign Utah Education Presentation
- How Do I Sign Utah Education Presentation