
Quitclaim Deed from Individual to Husband and Wife Delaware Form


What is the Quitclaim Deed From Individual To Husband And Wife Delaware
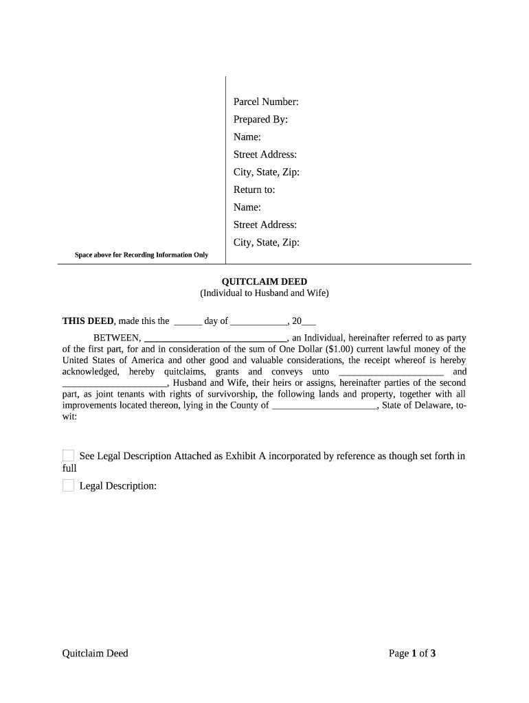
A quitclaim deed from individual to husband and wife in Delaware is a legal document that transfers ownership of real estate from one party to another without any warranties or guarantees. This type of deed is often used in situations such as marriage, where one spouse wishes to add the other spouse to the property title. Unlike a warranty deed, a quitclaim deed does not guarantee that the grantor has clear title to the property, making it essential for both parties to understand the implications of this transfer.
Steps to Complete the Quitclaim Deed From Individual To Husband And Wife Delaware
Completing a quitclaim deed in Delaware involves several key steps:
- Gather necessary information, including the legal description of the property, the names of the grantor and grantee, and any relevant tax parcel numbers.
- Obtain a quitclaim deed form, which can be found online or at local government offices.
- Fill out the form accurately, ensuring all names and property details are correct.
- Have the document signed in the presence of a notary public to ensure its legal validity.
- File the completed quitclaim deed with the appropriate county recorder’s office to make the transfer official.
Key Elements of the Quitclaim Deed From Individual To Husband And Wife Delaware
Several critical elements must be included in a quitclaim deed for it to be legally binding in Delaware:
- Grantor and Grantee Information: Full names and addresses of both the individual transferring the property and the husband and wife receiving it.
- Property Description: A precise legal description of the property being transferred, including its location and boundaries.
- Consideration: The value exchanged for the property, which can be nominal in many cases, especially in family transactions.
- Signatures: The grantor must sign the deed, and it should be notarized to validate the transfer.
Legal Use of the Quitclaim Deed From Individual To Husband And Wife Delaware
The quitclaim deed is legally recognized in Delaware and is commonly used for various purposes, including transferring property between spouses. It is particularly useful in divorce settlements, estate planning, or when one spouse wants to add the other to the title. However, it is important to note that because a quitclaim deed does not provide any guarantees about the property’s title, both parties should conduct due diligence before proceeding with the transfer.
State-Specific Rules for the Quitclaim Deed From Individual To Husband And Wife Delaware
In Delaware, specific rules govern the execution and filing of quitclaim deeds. These include:
- The deed must be signed by the grantor in front of a notary public.
- It must be filed with the county recorder’s office where the property is located.
- Delaware law requires the payment of transfer taxes, which are typically based on the property's value.
How to Use the Quitclaim Deed From Individual To Husband And Wife Delaware
Using a quitclaim deed effectively requires understanding its purpose and the process involved. To utilize this deed:
- Determine the need for the transfer, such as marriage or estate planning.
- Complete the quitclaim deed form with accurate information.
- Ensure that both parties understand the implications of the transfer, especially regarding property rights.
- File the deed with the appropriate county office to finalize the transfer legally.
Quick guide on how to complete quitclaim deed from individual to husband and wife delaware
Complete [SKS] effortlessly on any device
Web-based document management has become popular among businesses and individuals. It offers a perfect environmentally friendly alternative to conventional printed and signed documents, allowing you to obtain the correct form and securely store it online. airSlate SignNow provides you with all the tools necessary to create, edit, and electronically sign your documents quickly without delays. Manage [SKS] on any device using airSlate SignNow Android or iOS applications and enhance any document-centric process today.
The easiest method to edit and electronically sign [SKS] with ease
- Locate [SKS] and click on Get Form to begin.
- Utilize the tools we provide to complete your form.
- Emphasize important sections of the documents or redact sensitive information using tools that airSlate SignNow specifically provides for that purpose.
- Create your signature with the Sign tool, which takes seconds and holds the same legal validity as a traditional wet ink signature.
- Review the information and click on the Done button to save your changes.
- Select how you want to share your form, via email, SMS, invitation link, or download it to your computer.
Forget about lost or misplaced documents, tedious form searches, or errors that require printing new document copies. airSlate SignNow addresses your document management needs in just a few clicks from any device of your choice. Edit and electronically sign [SKS] and ensure excellent communication throughout the form preparation process with airSlate SignNow.
Create this form in 5 minutes or less
Related searches to Quitclaim Deed From Individual To Husband And Wife Delaware
Create this form in 5 minutes!
People also ask
-
What is a Quitclaim Deed From Individual To Husband And Wife in Delaware?
A Quitclaim Deed From Individual To Husband And Wife in Delaware is a legal document that allows an individual to transfer their interest in a property to their spouse. This deed type does not guarantee that the transferring party has any ownership interest in the property, making it essential to ensure proper legal standing before executing it. This type of deed is often used in marriage, divorce, or estate situations.
-
How much does it cost to create a Quitclaim Deed From Individual To Husband And Wife in Delaware?
The cost of creating a Quitclaim Deed From Individual To Husband And Wife in Delaware can vary based on whether you use online services or hire a professional. Online services like airSlate SignNow typically offer competitive pricing, often much lower than traditional legal fees. Additionally, certain fees may apply for recording the quitclaim deed with the county.
-
What features does airSlate SignNow offer for handling Quitclaim Deeds?
airSlate SignNow provides a user-friendly platform for creating, sending, and electronically signing Quitclaim Deeds From Individual To Husband And Wife in Delaware. With features like templates, real-time tracking, and cloud storage, users can efficiently manage their documents. The platform also ensures compliance with Delaware legal requirements to safeguard your transactions.
-
What are the benefits of using a Quitclaim Deed From Individual To Husband And Wife in Delaware?
Using a Quitclaim Deed From Individual To Husband And Wife in Delaware facilitates a clear transfer of ownership between spouses without the complexity of standard sale procedures. It can simplify estate planning and avoid probate in certain situations. Additionally, it minimizes legal fees and delays, making it an efficient choice for property transfers.
-
Can I integrate airSlate SignNow with other applications for managing Quitclaim Deeds?
Yes, airSlate SignNow supports various integrations with popular applications, allowing for seamless management of Quitclaim Deeds From Individual To Husband And Wife in Delaware. You can connect with platforms like Google Drive, Dropbox, and CRM systems to ensure your documents are organized and easily accessible. This enhances workflow and document management efficiency.
-
Is eSigning a Quitclaim Deed From Individual To Husband And Wife legally binding in Delaware?
Yes, eSigning a Quitclaim Deed From Individual To Husband And Wife is legally binding in Delaware as long as it follows the state's regulations. airSlate SignNow complies with electronic signature laws, ensuring that your signed documents hold up in legal settings. This makes the eSigning process both convenient and secure.
-
What steps do I need to follow to execute a Quitclaim Deed From Individual To Husband And Wife in Delaware?
To execute a Quitclaim Deed From Individual To Husband And Wife in Delaware, first complete the document with all necessary information, including the property description and names of the parties involved. Then, both parties must sign the deed in the presence of a notary public. Finally, file the executed deed with the appropriate county recorder’s office to finalize the transfer.
Get more for Quitclaim Deed From Individual To Husband And Wife Delaware
Find out other Quitclaim Deed From Individual To Husband And Wife Delaware
- Electronic signature Vermont Courts Business Letter Template Now
- Electronic signature Texas Courts Forbearance Agreement Simple
- How To Electronic signature Texas Courts Forbearance Agreement
- Electronic signature Texas Courts Forbearance Agreement Easy
- Electronic signature Vermont Courts Business Letter Template Later
- Electronic signature Texas Courts Forbearance Agreement Safe
- How Do I Electronic signature Texas Courts Forbearance Agreement
- Electronic signature Vermont Courts Business Letter Template Myself
- How To Electronic signature Vermont Courts Business Letter Template
- How Do I Electronic signature Vermont Courts Business Letter Template
- Electronic signature Vermont Courts Business Letter Template Free
- Help Me With Electronic signature Texas Courts Forbearance Agreement
- Help Me With Electronic signature Vermont Courts Business Letter Template
- How Can I Electronic signature Vermont Courts Business Letter Template
- Electronic signature Vermont Courts Business Letter Template Secure
- Can I Electronic signature Vermont Courts Business Letter Template
- How Can I Electronic signature Texas Courts Forbearance Agreement
- Electronic signature Vermont Courts Business Letter Template Fast
- Electronic signature Vermont Courts Confidentiality Agreement Online
- Can I Electronic signature Texas Courts Forbearance Agreement