 
                Quitclaim Deed from Husband and Wife to Husband and Wife Illinois Form
 
                             
                            What is the Quitclaim Deed From Husband And Wife To Husband And Wife Illinois
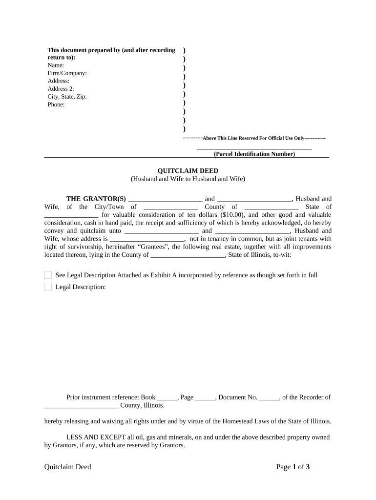
A quitclaim deed from husband and wife to husband and wife in Illinois is a legal document that transfers ownership of real estate between spouses. This type of deed is often used in situations such as marriage, divorce, or estate planning. Unlike warranty deeds, a quitclaim deed does not guarantee that the property is free of liens or encumbrances. Instead, it simply conveys whatever interest the grantors have in the property to the grantees. This means that if the grantors have no ownership interest, the grantees receive nothing.
Key Elements of the Quitclaim Deed From Husband And Wife To Husband And Wife Illinois
Several key elements must be included in a quitclaim deed to ensure its validity in Illinois. These elements include:
- Names of the Parties: The full legal names of both the grantors (husband and wife) and the grantees (husband and wife) must be clearly stated.
- Property Description: A detailed description of the property being transferred, including the address and legal description, is necessary.
- Consideration: While not always required, stating the consideration (often a nominal amount) can strengthen the deed.
- Signatures: Both spouses must sign the deed in the presence of a notary public to validate the transfer.
- Notarization: The deed must be notarized to confirm the identities of the signers and their willingness to execute the document.
Steps to Complete the Quitclaim Deed From Husband And Wife To Husband And Wife Illinois
Completing a quitclaim deed involves several steps to ensure it is executed properly:
- Gather necessary information, including the full names of both spouses and the legal description of the property.
- Obtain a quitclaim deed form, which can be found online or through legal stationery stores.
- Fill out the form, ensuring all required fields are accurately completed.
- Both spouses should sign the deed in the presence of a notary public.
- File the completed quitclaim deed with the appropriate county recorder's office to make the transfer official.
Legal Use of the Quitclaim Deed From Husband And Wife To Husband And Wife Illinois
The quitclaim deed from husband and wife to husband and wife is legally recognized in Illinois for transferring property ownership. It is commonly used in various scenarios, including:
- Transferring property between spouses during a divorce settlement.
- Transferring property as part of estate planning or gifting.
- Clarifying ownership interests in jointly owned properties.
While a quitclaim deed is a straightforward way to transfer property, it is essential to understand that it does not provide any warranties regarding the property’s title. Therefore, both parties should be aware of any existing liens or encumbrances before proceeding.
How to Use the Quitclaim Deed From Husband And Wife To Husband And Wife Illinois
Using a quitclaim deed effectively requires understanding its purpose and the implications of the transfer. To utilize this deed:
- Ensure both parties agree on the transfer and understand their rights and responsibilities.
- Complete the deed accurately, paying close attention to the property description and the names of the parties involved.
- Have the deed notarized to ensure its legality.
- File the deed with the county recorder’s office to update public records.
Proper usage of the quitclaim deed helps avoid future disputes regarding property ownership and ensures that all legal requirements are met.
Quick guide on how to complete quitclaim deed from husband and wife to husband and wife illinois
Complete [SKS] effortlessly on any device
Online document management has become increasingly popular among businesses and individuals alike. It offers an ideal eco-friendly substitute to traditional printed and signed papers, as you can access the appropriate form and securely store it online. airSlate SignNow provides you with all the tools necessary to create, edit, and eSign your documents promptly without delays. Manage [SKS] on any platform through the airSlate SignNow Android or iOS applications and streamline any document-related tasks today.
How to modify and eSign [SKS] without stress
- Find [SKS] and then select Get Form to begin.
- Make use of the tools we provide to complete your form.
- Emphasize important sections of your documents or obscure sensitive information with tools that airSlate SignNow specifically provides for that purpose.
- Create your eSignature using the Sign feature, which takes mere seconds and carries the same legal validity as a conventional wet ink signature.
- Review the information and then press the Done button to save your modifications.
- Select your preferred method to send your form, whether by email, text message (SMS), or invitation link, or download it to your computer.
Eliminate the issues of lost or misplaced files, cumbersome form navigation, or errors that require printing new copies of documents. airSlate SignNow streamlines your document management needs in just a few clicks from any device you choose. Modify and eSign [SKS] to ensure excellent communication at every stage of the form preparation process with airSlate SignNow.
Create this form in 5 minutes or less
Create this form in 5 minutes!
People also ask
- 
                                
                                    
                                    
                                    What is a Quitclaim Deed From Husband And Wife To Husband And Wife in Illinois?
                                
                                A Quitclaim Deed From Husband And Wife To Husband And Wife in Illinois is a legal document that transfers ownership interest in property without guaranteeing the title. This type of deed is typically used among spouses for property transfer and is a common practice in estate planning. It's essential for both parties to understand the implications before signing this document.
- 
                                
                                    
                                    
                                    How much does it cost to create a Quitclaim Deed From Husband And Wife To Husband And Wife in Illinois using airSlate SignNow?
                                
                                Using airSlate SignNow, the cost of creating a Quitclaim Deed From Husband And Wife To Husband And Wife in Illinois is affordable and varies based on the selected plan. We offer a tiered pricing structure designed to meet the needs of individuals and businesses alike, ensuring you pay only for what you need. Check our pricing page for detailed information on subscription options.
- 
                                
                                    
                                    
                                    What are the benefits of using airSlate SignNow for a Quitclaim Deed From Husband And Wife To Husband And Wife in Illinois?
                                
                                By using airSlate SignNow, you can easily create and eSign a Quitclaim Deed From Husband And Wife To Husband And Wife in Illinois in a secure and efficient manner. The platform simplifies the document creation process, saves time, and ensures compliance with local laws. Our user-friendly interface enhances your document management experience.
- 
                                
                                    
                                    
                                    Can I modify a Quitclaim Deed From Husband And Wife To Husband And Wife in Illinois after signing?
                                
                                Once a Quitclaim Deed From Husband And Wife To Husband And Wife in Illinois is signed, making changes can be complex. Any alterations may require a new deed to be drawn up and executed. It is advisable to consult with a legal professional if you need to modify an already signed Quitclaim Deed.
- 
                                
                                    
                                    
                                    Does airSlate SignNow provide templates for a Quitclaim Deed From Husband And Wife To Husband And Wife in Illinois?
                                
                                Yes, airSlate SignNow offers customizable templates for a Quitclaim Deed From Husband And Wife To Husband And Wife in Illinois, making it easier for you to draft the document. These templates come with pre-filled fields for essential information, ensuring you don’t miss any critical details. Utilizing templates also accelerates the document preparation process.
- 
                                
                                    
                                    
                                    Is it legal to use airSlate SignNow for signing a Quitclaim Deed From Husband And Wife To Husband And Wife in Illinois?
                                
                                Absolutely, using airSlate SignNow to eSign a Quitclaim Deed From Husband And Wife To Husband And Wife in Illinois is legally compliant. The platform adheres to federal and state eSignature laws, ensuring that your electronically signed documents are valid and enforceable. You can sign with confidence knowing your documents meet legal standards.
- 
                                
                                    
                                    
                                    What integrations does airSlate SignNow offer for managing a Quitclaim Deed From Husband And Wife To Husband And Wife in Illinois?
                                
                                airSlate SignNow integrates seamlessly with various applications, enhancing your workflow for managing a Quitclaim Deed From Husband And Wife To Husband And Wife in Illinois. These integrations allow for easy data transfer and synchronization with your existing tools, ensuring a smooth experience. Popular integrations include CRM systems, cloud storage services, and document management platforms.
Get more for Quitclaim Deed From Husband And Wife To Husband And Wife Illinois
- Bcn behavioral health continuing otr form e referral
- Wi schedule 3k 1 2012 form
- Transfer in status verification form south seattle community southseattle
- Commercial lease agreement template form
- Realtors association of new mexico property disclosure statement residential 2013 form
- Anthem eap billing form
- San bernardino county fictitious business name search form
- Lpuna 128 form
Find out other Quitclaim Deed From Husband And Wife To Husband And Wife Illinois
- How Can I eSign Missouri Finance & Tax Accounting Profit And Loss Statement
- eSign Missouri Finance & Tax Accounting Business Letter Template Safe
- Can I eSign Missouri Finance & Tax Accounting Profit And Loss Statement
- eSign Wyoming Construction Affidavit Of Heirship Myself
- How To eSign Missouri Finance & Tax Accounting Business Letter Template
- How Do I eSign Missouri Finance & Tax Accounting Business Letter Template
- eSign Wyoming Construction Affidavit Of Heirship Free
- Help Me With eSign Missouri Finance & Tax Accounting Business Letter Template
- How Can I eSign Missouri Finance & Tax Accounting Business Letter Template
- Can I eSign Missouri Finance & Tax Accounting Business Letter Template
- eSign Wyoming Construction Affidavit Of Heirship Secure
- How To eSign Wyoming Construction Affidavit Of Heirship
- eSign Mississippi Finance & Tax Accounting Memorandum Of Understanding Online
- How Do I eSign Wyoming Construction Affidavit Of Heirship
- eSign Mississippi Finance & Tax Accounting Memorandum Of Understanding Computer
- eSign Wyoming Construction Affidavit Of Heirship Fast
- eSign Mississippi Finance & Tax Accounting Memorandum Of Understanding Mobile
- Help Me With eSign Wyoming Construction Affidavit Of Heirship
- eSign Mississippi Finance & Tax Accounting Memorandum Of Understanding Now
- eSign Mississippi Finance & Tax Accounting Memorandum Of Understanding Later