
Massachusetts Warranty Deed Form


What is the Massachusetts Warranty Deed
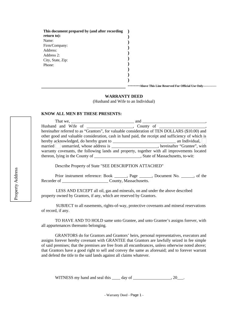
The Massachusetts warranty deed is a legal document used to transfer ownership of real estate from one party to another. This type of deed guarantees that the grantor (the seller) holds clear title to the property and has the right to sell it. It also ensures that the property is free from any claims or encumbrances, except those explicitly stated in the deed. This level of assurance makes the warranty deed a preferred choice for buyers seeking protection against potential disputes over property ownership.
How to use the Massachusetts Warranty Deed
Utilizing the Massachusetts warranty deed involves several key steps. First, the grantor must complete the deed with accurate information, including the names of the parties involved, a legal description of the property, and any relevant terms. Once completed, the deed must be signed by the grantor in the presence of a notary public. After notarization, the deed should be recorded at the local registry of deeds to provide public notice of the transfer. This process ensures that the transaction is legally recognized and protects the interests of all parties involved.
Steps to complete the Massachusetts Warranty Deed
Completing the Massachusetts warranty deed requires careful attention to detail. Here are the essential steps:
- Gather necessary information, including the full names of the grantor and grantee, property description, and any existing liens.
- Fill out the warranty deed form accurately, ensuring all details are correct.
- Sign the document in front of a notary public to validate the signature.
- Record the completed deed at the local registry of deeds, paying any applicable fees.
Following these steps helps ensure that the deed is legally binding and enforceable.
Key elements of the Massachusetts Warranty Deed
The Massachusetts warranty deed contains several critical elements that define its legal effectiveness. These include:
- Grantor and Grantee Information: Full names and addresses of both parties.
- Property Description: A detailed legal description of the property being transferred.
- Consideration: The amount paid for the property, often stated in the deed.
- Warranty Clause: A statement guaranteeing that the grantor holds clear title and will defend against any claims.
- Signatures: The signatures of the grantor and a notary public.
These elements ensure that the deed meets legal standards and protects the rights of the parties involved.
Legal use of the Massachusetts Warranty Deed
The legal use of the Massachusetts warranty deed is essential for ensuring property transactions are valid. This deed provides a high level of protection for the grantee, as it includes warranties against defects in title. In the event of a dispute or claim against the property, the grantor is obligated to defend the title. This legal framework not only facilitates trust between parties but also promotes transparency in real estate transactions.
State-specific rules for the Massachusetts Warranty Deed
In Massachusetts, specific rules govern the execution and recording of warranty deeds. The deed must be signed by the grantor and notarized to be valid. Additionally, it must be recorded at the local registry of deeds to provide public notice of the transfer. Massachusetts law also requires that the deed includes a statement of consideration, which is the amount paid for the property. Compliance with these state-specific rules is crucial for the enforceability of the deed.
Quick guide on how to complete massachusetts warranty deed
Effortlessly Prepare massachusetts warranty deed on Any Device
Digital document management has gained traction among businesses and individuals alike. It offers a superb eco-friendly substitute for conventional printed and signed papers, allowing you to locate the appropriate form and securely store it online. airSlate SignNow equips you with all the tools necessary to create, modify, and eSign your documents promptly without any hold-ups. Manage massachusetts warranty deed on any device using airSlate SignNow's Android or iOS applications and streamline any document-related procedure today.
The easiest way to modify and eSign massachusetts warranty deed effortlessly
- Locate massachusetts warranty deed and click on Get Form to begin.
- Utilize the tools we provide to complete your form.
- Select pertinent portions of the documents or redact sensitive information with tools specifically designed for that purpose by airSlate SignNow.
- Create your eSignature using the Sign feature, which takes just seconds and holds the same legal validity as a traditional wet ink signature.
- Review the information and click on the Done button to save your modifications.
- Choose your preferred method for sending your form, whether by email, SMS, invitation link, or download it to your computer.
Eliminate concerns about lost or misplaced documents, frustrating form searches, or mistakes that necessitate printing new document copies. airSlate SignNow addresses your document management requirements in just a few clicks from the device of your selection. Modify and eSign massachusetts warranty deed to ensure effective communication at every step of the form preparation process with airSlate SignNow.
Create this form in 5 minutes or less
Related searches to massachusetts warranty deed
Create this form in 5 minutes!
People also ask massachusetts warranty deed
-
What is a Massachusetts warranty deed?
A Massachusetts warranty deed is a legal document used to transfer real estate ownership from one party to another, ensuring that the grantor guarantees clear title to the property. This type of deed provides the highest level of protection to the buyer, as it guarantees that there are no hidden claims or encumbrances on the property. It's essential for buyers to understand the significance of a Massachusetts warranty deed before making a property purchase.
-
How can I create a Massachusetts warranty deed using airSlate SignNow?
With airSlate SignNow, creating a Massachusetts warranty deed is simple and efficient. You can easily customize our templates to include all necessary property details and grantor information. Once completed, you can eSign and send the document securely, streamlining the entire process.
-
Is there a cost associated with using airSlate SignNow for a Massachusetts warranty deed?
Yes, airSlate SignNow offers affordable pricing plans that cater to various needs when creating and managing documents like a Massachusetts warranty deed. Our plans are designed to provide value, cost-effectiveness, and a user-friendly experience without hidden fees. You can choose a plan that suits your requirements and budget.
-
What features does airSlate SignNow offer for Massachusetts warranty deeds?
airSlate SignNow provides several features that enhance the management of a Massachusetts warranty deed, including customizable templates, eSignature capabilities, and document storage. Additionally, you can track changes and manage workflows efficiently to ensure smooth processing. These features help simplify the legal documentation process.
-
What are the benefits of using airSlate SignNow for my Massachusetts warranty deed?
Using airSlate SignNow for your Massachusetts warranty deed simplifies the document signing process and ensures legality through secure eSigning options. The platform also enables easy collaboration between parties involved, leading to quicker transactions. Furthermore, it provides access to a centralized document repository for all your important legal paperwork.
-
Can I integrate airSlate SignNow with other tools for managing my Massachusetts warranty deed?
Absolutely! airSlate SignNow offers integrations with various third-party applications and tools to help you manage your Massachusetts warranty deed more effectively. Whether it's CRMs, cloud storage services, or project management platforms, our integrations streamline your document workflows and enhance productivity.
-
How does airSlate SignNow ensure the security of my Massachusetts warranty deed?
Security is a top priority for airSlate SignNow when handling documents like the Massachusetts warranty deed. We utilize advanced encryption protocols, secure access controls, and audit trails to protect your sensitive information. This ensures that only authorized users can view or edit your documents, providing peace of mind during the signing process.
Get more for massachusetts warranty deed
Find out other massachusetts warranty deed
- How Do I eSignature Hawaii Banking Credit Memo
- eSignature Hawaii Banking Credit Memo Myself
- Help Me With eSignature Hawaii Banking Credit Memo
- How Can I eSignature Hawaii Banking Credit Memo
- Can I eSignature Hawaii Banking Credit Memo
- eSignature Hawaii Banking Credit Memo Free
- eSignature Idaho Banking Lease Termination Letter Online
- How To eSignature Delaware Banking Limited Power Of Attorney
- How Do I eSignature Delaware Banking Limited Power Of Attorney
- eSignature Hawaii Banking Credit Memo Secure
- Help Me With eSignature Delaware Banking Limited Power Of Attorney
- How Can I eSignature Delaware Banking Limited Power Of Attorney
- eSignature Idaho Banking Lease Termination Letter Computer
- eSignature Hawaii Banking Credit Memo Fast
- Can I eSignature Delaware Banking Limited Power Of Attorney
- eSignature Hawaii Banking Credit Memo Simple
- How To eSignature Idaho Banking Lease Termination Letter
- eSignature Idaho Banking Lease Termination Letter Mobile
- eSignature Hawaii Banking Credit Memo Easy
- How Do I eSignature Idaho Banking Lease Termination Letter