
Michigan Husband Form


What is the Michigan Husband?
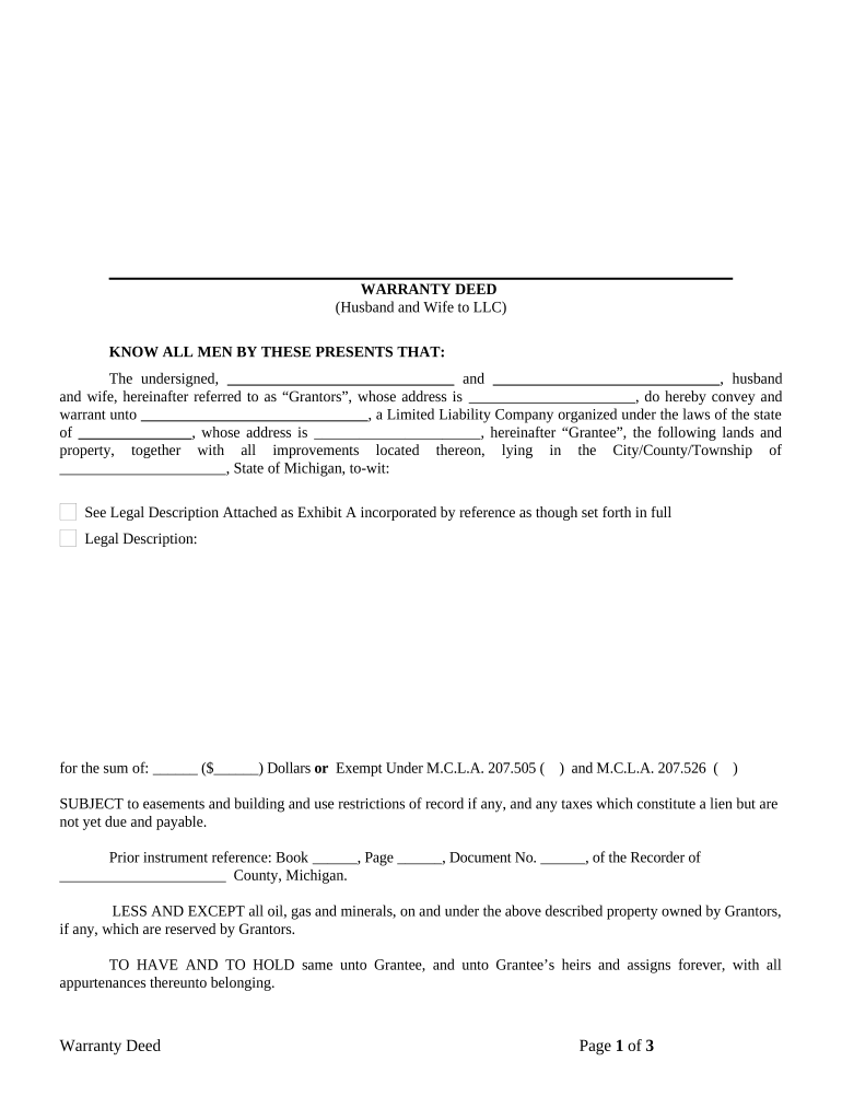
The Michigan husband form is a legal document used to establish and formalize the relationship between spouses in the state of Michigan. This form is essential for various legal purposes, including tax filings, estate planning, and marital rights. Understanding the specifics of this form can help couples navigate their legal obligations and rights effectively.
Steps to Complete the Michigan Husband
Completing the Michigan husband form involves several key steps to ensure accuracy and compliance with state regulations. Here’s a simplified process:
- Gather necessary information, including both spouses' full names, addresses, and Social Security numbers.
- Fill out the form accurately, ensuring all required fields are completed.
- Review the document for any errors or omissions before submission.
- Sign the form in the presence of a notary public to validate it legally.
- Submit the completed form to the appropriate state agency or office.
Legal Use of the Michigan Husband
The legal use of the Michigan husband form is crucial for establishing marital rights and responsibilities. This form can be used in various legal contexts, such as:
- Tax filings, where it may be required to claim certain benefits.
- Estate planning, to ensure that assets are distributed according to the couple's wishes.
- Family law matters, including divorce proceedings and custody arrangements.
State-Specific Rules for the Michigan Husband
Each state has its own regulations regarding marriage and related documentation. In Michigan, specific rules apply to the husband form, such as:
- The requirement for both spouses to be present when signing the document.
- Notarization is necessary for the form to be legally binding.
- Compliance with local county regulations may vary, so it is advisable to check with local authorities.
Required Documents
To complete the Michigan husband form, certain documents may be required. These typically include:
- Proof of identity for both spouses, such as a driver's license or passport.
- Any previous marriage dissolution documents, if applicable.
- Additional documentation as specified by the local office handling the form.
How to Obtain the Michigan Husband
Obtaining the Michigan husband form can be done through several channels:
- Visiting the official state website for downloadable forms.
- Requesting a physical copy from local government offices.
- Consulting with legal professionals who can provide the form and guidance on its use.
Examples of Using the Michigan Husband
There are various scenarios where the Michigan husband form may be utilized, including:
- Filing joint tax returns to maximize tax benefits.
- Creating a will that reflects the couple's wishes regarding asset distribution.
- Establishing legal rights in situations involving health care decisions or financial matters.
Quick guide on how to complete mi husband wife
Easily prepare mi husband wife on any device
Digital document management has gained traction among businesses and individuals. It serves as an excellent eco-friendly substitute for conventional printed and signed papers, as you can obtain the appropriate form and securely save it online. airSlate SignNow provides all the tools necessary to create, modify, and eSign your documents quickly and without delays. Manage michigan husband on any device using the airSlate SignNow Android or iOS applications and simplify any document-related task today.
How to modify and eSign mi husband wife effortlessly
- Find michigan husband wife and click Get Form to begin.
- Make use of the tools we provide to fill out your form.
- Emphasize important sections of your documents or obscure sensitive information with tools that airSlate SignNow specifically provides for that purpose.
- Generate your eSignature using the Sign feature, which takes only seconds and holds the same legal significance as a traditional ink signature.
- Verify the information and then click on the Done button to save your modifications.
- Select how you want to send your form, whether by email, SMS, invite link, or download it to your computer.
Eliminate concerns about lost or misplaced documents, tedious form searching, or errors that require reprinting new copies. airSlate SignNow addresses all your document management needs in just a few clicks from a device of your preference. Modify and eSign michigan husband and ensure outstanding communication throughout the form preparation process with airSlate SignNow.
Create this form in 5 minutes or less
Related searches to michigan husband wife
Create this form in 5 minutes!
People also ask michigan husband wife
-
What are the pricing options for airSlate SignNow for a Michigan husband?
airSlate SignNow offers several pricing plans that cater to businesses of all sizes, including specific packages that might benefit a Michigan husband looking to manage documents efficiently. You can choose from individual, business, or enterprise plans depending on your needs. Each plan provides access to essential features like eSigning and document sharing at competitive prices.
-
How does airSlate SignNow benefit Michigan husbands working remotely?
For Michigan husbands who work from home or remotely, airSlate SignNow streamlines the signing and sending of important documents without needing to print or scan. This saves valuable time and provides a seamless user experience. With its mobile functionality, you can access and sign documents anytime, anywhere.
-
What features does airSlate SignNow offer that would appeal to a Michigan husband?
airSlate SignNow provides features crucial for any Michigan husband managing personal or business documents. This includes templates for frequently used documents, automated workflows, and a straightforward eSignature process. These features help ensure that you can efficiently handle tasks while focusing on what matters most.
-
Can I integrate airSlate SignNow with other software my Michigan husband uses?
Yes, airSlate SignNow offers seamless integration with various applications that a Michigan husband may already be using, such as Google Drive, Salesforce, and Microsoft Office. This means you can manage your documents across platforms without any hassle. Integrations enhance productivity, enabling you to work more effectively.
-
Is airSlate SignNow secure for personal and business use for a Michigan husband?
Absolutely, airSlate SignNow prioritizes security, making it a reliable choice for a Michigan husband concerned about confidentiality. It employs strong encryption and compliance with regulations to protect your sensitive documents. You can sign and send documents with peace of mind knowing that your information is secure.
-
What kind of customer support does airSlate SignNow provide for Michigan husbands?
airSlate SignNow offers robust customer support available to assist Michigan husbands as they navigate the platform. This includes an extensive knowledge base, live chat, and email support to resolve any queries. Whether it's technical help or general questions, support is readily available to ensure your experience is positive.
-
Are there any special discounts available for a Michigan husband using airSlate SignNow?
Currently, airSlate SignNow may offer promotional discounts or trials that a Michigan husband can take advantage of. It’s best to check their official website for current offers or contact their sales team for special pricing tailored to your needs. This way, you can enjoy all the features at an even more affordable rate.
Get more for michigan husband
- Temporary remote work agreement uc berkeley form
- As116 louisiana state university form
- Center for family school community engagement at san form
- Degree completion plan form
- Retaliationus equal employment opportunity commission form
- 2018 2019 total amp permanent disability form
- Cardiovascular fellowship training program department of form
- Supervisors medical treatment authorization form nc state
Find out other mi husband wife
- eSignature Arkansas Construction Lease Termination Letter Simple
- eSignature Wisconsin Car Dealer Claim Myself
- eSignature Arkansas Construction Medical History Computer
- eSignature Wisconsin Car Dealer Claim Free
- eSignature Arkansas Construction Lease Termination Letter Easy
- eSignature Wisconsin Car Dealer Claim Secure
- eSignature Wisconsin Car Dealer Claim Fast
- eSignature Wisconsin Car Dealer Claim Simple
- eSignature Arkansas Construction Medical History Mobile
- eSignature Arkansas Construction Lease Termination Letter Safe
- eSignature Wisconsin Car Dealer Claim Easy
- eSignature Wisconsin Car Dealer Claim Safe
- eSignature Arkansas Construction Medical History Now
- How To eSignature Wisconsin Car Dealer Claim
- How Do I eSignature Wisconsin Car Dealer Claim
- eSignature Arkansas Construction Medical History Later
- Help Me With eSignature Wisconsin Car Dealer Claim
- How To eSignature Arkansas Construction Medical History
- How Can I eSignature Wisconsin Car Dealer Claim
- Can I eSignature Wisconsin Car Dealer Claim