
Recertification for Food Stamps Nc Form


What is the recertification for food stamps in North Carolina?
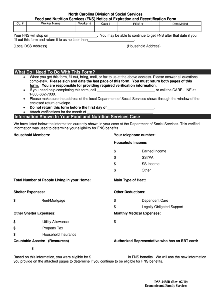
The recertification for food stamps in North Carolina, also known as the SNAP recertification, is a process that ensures individuals and families continue to meet the eligibility requirements for receiving food assistance. This process typically occurs every twelve months and involves verifying income, household size, and other relevant factors. Maintaining accurate information is crucial for both the recipients and the state to ensure that assistance is appropriately allocated.
Steps to complete the recertification for food stamps in North Carolina
Completing the recertification for food stamps involves several important steps:
- Gather necessary documents, including proof of income, identification, and residency.
- Complete the food stamp recertification form, which can be done online or via a paper application.
- Submit the completed form along with any required documentation to the appropriate county department of social services.
- Attend any scheduled interviews or follow-up appointments as required.
- Receive notification regarding the status of your recertification.
How to obtain the recertification for food stamps in North Carolina
To obtain the recertification for food stamps, individuals can access the form through the North Carolina Department of Health and Human Services website. The form is available for download as a PDF or can be filled out online. Additionally, local county offices can provide physical copies of the form upon request. It is essential to ensure that all information is accurate and complete to avoid delays in processing.
Required documents for food stamp recertification in North Carolina
When completing the food stamp recertification form, applicants must provide various documents to verify their eligibility. Commonly required documents include:
- Proof of income, such as pay stubs or tax returns.
- Identification, such as a driver’s license or state ID.
- Proof of residency, such as a utility bill or lease agreement.
- Information about household members, including Social Security numbers.
Form submission methods for food stamp recertification
The food stamp recertification form can be submitted through multiple methods to accommodate different preferences:
- Online: Complete and submit the form through the North Carolina Department of Health and Human Services website.
- Mail: Send the completed paper form and documents to the local county department of social services.
- In-Person: Visit the local county office to submit the form directly and receive assistance if needed.
Legal use of the food stamp recertification form
The food stamp recertification form is a legally binding document that must be completed accurately. Providing false information can lead to penalties, including loss of benefits or legal action. It is essential to ensure that all information provided is truthful and that any changes in circumstances are reported promptly to the appropriate authorities.
Quick guide on how to complete north carolina dss form 2435
Complete north carolina dss form 2435 seamlessly on any device
Online document administration has become favored by businesses and individuals alike. It offers an excellent eco-friendly substitute for traditional printed and signed documents, as you can easily locate the appropriate form and securely store it online. airSlate SignNow provides all the tools you need to create, modify, and electronically sign your documents quickly without interruptions. Manage food stamp recertification form on any device with airSlate SignNow Android or iOS applications and simplify any document-related process today.
Steps to modify and electronically sign food stamp recertification online nc effortlessly
- Locate north carolina snap recertification application online and click on Get Form to begin.
- Utilize the tools provided to complete your form.
- Emphasize important sections of the documents or obscure sensitive information with tools specifically designed for that purpose by airSlate SignNow.
- Create your signature using the Sign tool, which takes mere seconds and holds the same legal validity as a conventional handwritten signature.
- Verify the details and click on the Done button to save your modifications.
- Select how you wish to send your form, whether by email, text message (SMS), invitation link, or download it to your computer.
Eliminate worries about lost or misplaced documents, tedious form searches, or errors that necessitate printing new document copies. airSlate SignNow addresses all your document management needs in just a few clicks from a device of your choice. Adjust and electronically sign nc food stamp application pdf to ensure excellent communication at any stage of your form preparation process with airSlate SignNow.
Create this form in 5 minutes or less
FAQs nc ebt recertification online
-
How do I fill taxes online?
you can file taxes online by using different online platforms. by using this online platform you can easily submit the income tax returns, optimize your taxes easily.Tachotax provides the most secure, easy and fast way of tax filing.
-
How do I fill out the income tax for online job payment? Are there any special forms to fill it?
I am answering to your question with the UNDERSTANDING that you are liableas per Income Tax Act 1961 of Republic of IndiaIf you have online source of Income as per agreement as an employer -employee, It will be treated SALARY income and you will file ITR 1 for FY 2017–18If you are rendering professional services outside India with an agreement as professional, in that case you need to prepare Financial Statements ie. Profit and loss Account and Balance sheet for FY 2017–18 , finalize your income and pay taxes accordingly, You will file ITR -3 for FY 2017–1831st Dec.2018 is last due date with minimum penalty, grab that opportunity and file income tax return as earliest
-
How can I fill out a KYC form online for SBI?
Fill out ? If you want to update your kyc, you can just write up a formal letter with your cif/ac details and attach photo copies of the proofs, self attested by you and send them by post to your home branch or you can do it yourself, if you have online banking facility.
Related searches to can you reairSlate SignNow for food stamps online nc
Create this form in 5 minutes!
How to create an eSignature for the wake county social services recertification
How to create an eSignature for your Online Recertification Form For Foodstampsfor Laurinburg Nc online
How to create an eSignature for your Online Recertification Form For Foodstampsfor Laurinburg Nc in Chrome
How to make an electronic signature for signing the Online Recertification Form For Foodstampsfor Laurinburg Nc in Gmail
How to make an eSignature for the Online Recertification Form For Foodstampsfor Laurinburg Nc from your smart phone
How to create an eSignature for the Online Recertification Form For Foodstampsfor Laurinburg Nc on iOS
How to generate an eSignature for the Online Recertification Form For Foodstampsfor Laurinburg Nc on Android
People also ask nc food stamp recertification form
-
What is a food stamp recertification form?
A food stamp recertification form is a document that individuals must submit to continue receiving food stamp benefits. This form typically requires details about income, expenses, and household composition. It's essential to complete and submit the form on time to avoid any interruptions in benefits.
-
How can I access the food stamp recertification form?
You can access the food stamp recertification form through your state's government website or local social services office. Additionally, airSlate SignNow offers a seamless way to manage and eSign these forms online, ensuring you have an efficient recertification process.
-
Can airSlate SignNow help me with submitting my food stamp recertification form?
Yes, airSlate SignNow simplifies the submission of your food stamp recertification form. Our platform allows you to complete, sign, and send the document electronically, making the process faster and reducing the chances of errors.
-
What features does airSlate SignNow offer for handling food stamp recertification forms?
airSlate SignNow offers features like customizable templates, eSignature capabilities, and document tracking to enhance your experience with food stamp recertification forms. These tools ensure you can complete and manage your forms efficiently while maintaining compliance.
-
Is there a cost associated with using airSlate SignNow for food stamp recertification forms?
airSlate SignNow provides a cost-effective solution for managing food stamp recertification forms, with various pricing plans to fit any budget. Our platform offers a free trial, allowing you to explore its features risk-free before making a commitment.
-
How does the eSignature process work for the food stamp recertification form?
The eSignature process for the food stamp recertification form using airSlate SignNow is straightforward. Simply upload your form, add signature fields, and send it to yourself or others for signing, all within our secure platform, ensuring your form is legally binding.
-
Can I integrate airSlate SignNow with other applications for my food stamp recertification form?
Absolutely! airSlate SignNow easily integrates with various applications such as Google Drive, Dropbox, and more, enhancing your workflow for food stamp recertification forms. These integrations enable you to store, share, and manage your documents efficiently.
Get more for apply for food stamps online nc
Find out other resignNow for food stamps online nc
- How Can I Sign Washington Healthcare / Medical Form
- How Can I Sign Washington Healthcare / Medical Document
- Can I Sign Washington Healthcare / Medical Form
- How To Sign Washington Healthcare / Medical Document
- Can I Sign Washington Healthcare / Medical Document
- How Do I Sign Washington Healthcare / Medical Document
- How To Sign Washington Healthcare / Medical Form
- How Do I Sign Washington Healthcare / Medical Form
- Help Me With Sign Washington Healthcare / Medical Form
- Help Me With Sign Washington Healthcare / Medical Document
- How Can I Sign Washington Healthcare / Medical Form
- Can I Sign Washington Healthcare / Medical Form
- How Can I Sign Washington Healthcare / Medical Document
- Can I Sign Washington Healthcare / Medical Document
- How To Sign Washington Healthcare / Medical Document
- How Do I Sign Washington Healthcare / Medical Document
- How To Sign Washington Healthcare / Medical Form
- Help Me With Sign Washington Healthcare / Medical Document
- How Can I Sign Washington Healthcare / Medical Document
- Can I Sign Washington Healthcare / Medical Document