 
                Special or Limited Power of Attorney for Real Estate Purchase Transaction by Purchaser North Dakota Form
 
                             
                            What is the Special Or Limited Power Of Attorney For Real Estate Purchase Transaction By Purchaser North Dakota
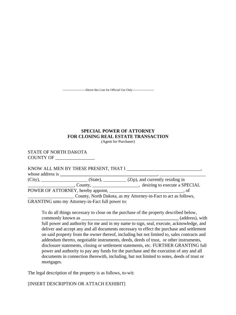
The Special or Limited Power of Attorney for Real Estate Purchase Transaction by Purchaser in North Dakota is a legal document that grants an individual the authority to act on behalf of another person in specific real estate transactions. This document is particularly useful when the purchaser cannot be present to sign documents or complete the transaction in person. It allows the designated agent to perform actions such as signing contracts, making decisions, and handling paperwork related to the purchase of real estate. The powers granted can be tailored to suit the specific needs of the transaction, making it a flexible option for buyers.
How to use the Special Or Limited Power Of Attorney For Real Estate Purchase Transaction By Purchaser North Dakota
Using the Special or Limited Power of Attorney for Real Estate Purchase Transaction in North Dakota involves several steps. First, the principal must clearly define the scope of authority granted to the agent. This includes specifying the real estate transaction details and any limitations on the agent's powers. Next, both parties should complete the document, ensuring all necessary information is included, such as names, addresses, and the property description. Once completed, the document must be signed and notarized to ensure its legal validity. The agent can then use this document to act on behalf of the purchaser during the transaction.
Steps to complete the Special Or Limited Power Of Attorney For Real Estate Purchase Transaction By Purchaser North Dakota
Completing the Special or Limited Power of Attorney for a real estate purchase in North Dakota involves a series of straightforward steps:
- Determine the need: Assess whether a power of attorney is necessary for the transaction.
- Select an agent: Choose a trustworthy individual to act on your behalf.
- Draft the document: Include all relevant details, such as the property information and the specific powers granted.
- Sign and notarize: Both the principal and the agent must sign the document in the presence of a notary public.
- Distribute copies: Provide copies of the signed document to all relevant parties involved in the transaction.
Key elements of the Special Or Limited Power Of Attorney For Real Estate Purchase Transaction By Purchaser North Dakota
Several key elements must be included in the Special or Limited Power of Attorney for Real Estate Purchase Transaction in North Dakota to ensure its effectiveness:
- Principal's information: Full name and address of the person granting the power.
- Agent's information: Full name and address of the individual receiving the authority.
- Property details: A clear description of the real estate involved in the transaction.
- Scope of authority: Specific powers granted to the agent, including any limitations.
- Signatures: Signatures of both the principal and the agent, along with notarization.
Legal use of the Special Or Limited Power Of Attorney For Real Estate Purchase Transaction By Purchaser North Dakota
The legal use of the Special or Limited Power of Attorney for Real Estate Purchase Transaction in North Dakota is governed by state laws. This document must comply with the North Dakota Century Code, which outlines the requirements for powers of attorney. It is essential that the document is executed correctly to ensure it is enforceable. This includes proper notarization and adherence to any specific state requirements. When used appropriately, this power of attorney can facilitate real estate transactions while ensuring that the purchaser's interests are protected.
State-specific rules for the Special Or Limited Power Of Attorney For Real Estate Purchase Transaction By Purchaser North Dakota
In North Dakota, there are specific rules that govern the use of the Special or Limited Power of Attorney for real estate transactions. The document must be signed by the principal and notarized to be valid. Additionally, it is crucial to ensure that the powers granted are clearly defined to avoid any ambiguity. North Dakota law also requires that the agent act in the best interest of the principal and adhere to any limitations set forth in the document. Familiarity with these state-specific rules can help prevent legal issues during the transaction process.
Quick guide on how to complete special or limited power of attorney for real estate purchase transaction by purchaser north dakota
Complete [SKS] effortlessly on any device
Online document management has become increasingly popular among businesses and individuals. It offers an ideal eco-friendly alternative to traditional printed and signed documents, as you can find the necessary form and securely store it online. airSlate SignNow provides you with all the tools required to create, modify, and electronically sign your documents swiftly without delays. Manage [SKS] on any platform with the airSlate SignNow Android or iOS applications and simplify any document-centric process today.
How to modify and eSign [SKS] effortlessly
- Find [SKS] and click on Get Form to get started.
- Utilize the tools we provide to fill out your document.
- Emphasize relevant sections of your documents or obscure sensitive information with tools that airSlate SignNow offers specifically for that purpose.
- Generate your eSignature using the Sign tool, which takes seconds and holds the same legal validity as a traditional handwritten signature.
- Review all the information and click on the Done button to save your changes.
- Select how you wish to send your form, via email, SMS, invitation link, or download it to your computer.
Forget about lost or misplaced documents, tedious form searches, or errors that require re-printing new document copies. airSlate SignNow addresses all your document management needs in just a few clicks from any device of your choice. Modify and eSign [SKS] and ensure excellent communication at any stage of the form preparation process with airSlate SignNow.
Create this form in 5 minutes or less
Create this form in 5 minutes!
People also ask
- 
                                
                                    
                                    
                                    What is a Special Or Limited Power Of Attorney For Real Estate Purchase Transaction By Purchaser North Dakota?
                                
                                A Special Or Limited Power Of Attorney For Real Estate Purchase Transaction By Purchaser North Dakota is a legal document that allows a designated person to act on behalf of the buyer in a real estate transaction. This document limits the agent's authority to specific tasks, such as signing documents related to the purchase. Utilizing this power of attorney simplifies the buying process, ensuring that all necessary actions can be executed without delay.
- 
                                
                                    
                                    
                                    Why should I use airSlate SignNow for creating a Special Or Limited Power Of Attorney For Real Estate Purchase Transaction By Purchaser North Dakota?
                                
                                Using airSlate SignNow is a smart choice for creating a Special Or Limited Power Of Attorney For Real Estate Purchase Transaction By Purchaser North Dakota because it offers an easy-to-use platform that ensures efficiency and accuracy. With our streamlined features, you can generate, sign, and manage your documents securely in one place. This greatly enhances convenience and reduces the risk of errors in your real estate transactions.
- 
                                
                                    
                                    
                                    What are the pricing options for using airSlate SignNow to create a Special Or Limited Power Of Attorney For Real Estate Purchase Transaction By Purchaser North Dakota?
                                
                                airSlate SignNow offers various pricing plans that cater to different needs, including options for individuals and businesses. Our plans are designed to be cost-effective while providing robust features for document management and eSigning. By choosing airSlate SignNow, you can create your Special Or Limited Power Of Attorney For Real Estate Purchase Transaction By Purchaser North Dakota at a competitive rate.
- 
                                
                                    
                                    
                                    Is it legally binding to use airSlate SignNow for a Special Or Limited Power Of Attorney For Real Estate Purchase Transaction By Purchaser North Dakota?
                                
                                Yes, documents signed through airSlate SignNow, including a Special Or Limited Power Of Attorney For Real Estate Purchase Transaction By Purchaser North Dakota, are legally binding. Our platform complies with electronic signature laws, ensuring that your transactions are valid and enforceable. This provides peace of mind that your documents will hold up in legal contexts.
- 
                                
                                    
                                    
                                    Can I customize my Special Or Limited Power Of Attorney For Real Estate Purchase Transaction By Purchaser North Dakota with airSlate SignNow?
                                
                                Absolutely! airSlate SignNow allows you to fully customize your Special Or Limited Power Of Attorney For Real Estate Purchase Transaction By Purchaser North Dakota. You can add specific clauses, define powers granted, and customize the document to meet your unique real estate transaction needs. This level of customization ensures that your document suits your specific circumstances.
- 
                                
                                    
                                    
                                    What features does airSlate SignNow offer to enhance the Special Or Limited Power Of Attorney For Real Estate Purchase Transaction By Purchaser North Dakota process?
                                
                                airSlate SignNow offers an array of features that enhance the Special Or Limited Power Of Attorney For Real Estate Purchase Transaction By Purchaser North Dakota process. These include document templates, real-time collaboration, and secure eSigning capabilities. With these tools, you can ensure smooth communication and efficient processing throughout your real estate transaction.
- 
                                
                                    
                                    
                                    How can I share my Special Or Limited Power Of Attorney For Real Estate Purchase Transaction By Purchaser North Dakota created in airSlate SignNow?
                                
                                You can effortlessly share your Special Or Limited Power Of Attorney For Real Estate Purchase Transaction By Purchaser North Dakota created in airSlate SignNow via email or a secure link. Our platform also provides options for sending reminders to recipients, ensuring timely signatures. This sharing capability improves collaboration and speeds up the transaction process.
Get more for Special Or Limited Power Of Attorney For Real Estate Purchase Transaction By Purchaser North Dakota
- Affidavit in support of motion for entry of an order form
- Judicial district in re name change eforms
- Judicial district in re name change get legal help form
- Form 901 missouri department of revenue mogov
- Free south dakota notary acknowledgement form
- South dakota quit claim deed form
- Ujs 261 form
- City of prescott residential submittal list form
Find out other Special Or Limited Power Of Attorney For Real Estate Purchase Transaction By Purchaser North Dakota
- eSign Maryland Lawers Living Will Fast
- Can I eSign Maryland Lawers Living Will
- How To eSign Louisiana Lawers Month To Month Lease
- eSign Maryland Lawers Living Will Simple
- How Do I eSign Louisiana Lawers Month To Month Lease
- How Can I eSign Louisiana Lawers Month To Month Lease
- Help Me With eSign Louisiana Lawers Month To Month Lease
- eSign Maryland Lawers Living Will Easy
- Can I eSign Louisiana Lawers Month To Month Lease
- eSign Maryland Lawers Living Will Safe
- eSign Maryland Lawers Bill Of Lading Online
- eSign Maryland Lawers Bill Of Lading Computer
- eSign Maryland Lawers Bill Of Lading Mobile
- eSign Maryland Lawers Bill Of Lading Now
- eSign Maryland Lawers Bill Of Lading Later
- How To eSign Maryland Lawers Bill Of Lading
- eSign Maryland Lawers Bill Of Lading Myself
- eSign Maryland Lawers Bill Of Lading Free
- eSign Maryland Lawers Bill Of Lading Secure
- eSign Maryland Lawers Job Offer Online