
Owner's or Seller's Affidavit of No Liens New Hampshire Form


What is the Owner's Or Seller's Affidavit Of No Liens New Hampshire
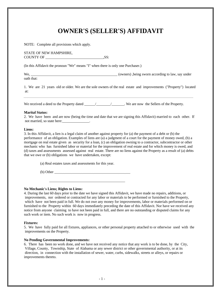
The Owner's or Seller's Affidavit of No Liens in New Hampshire is a legal document used to affirm that a property is free from any liens or encumbrances. This affidavit is crucial during real estate transactions, as it assures buyers that the property they are purchasing does not have outstanding debts or claims against it. It serves as a protective measure for both buyers and sellers, ensuring transparency in property ownership and financial obligations.
Key elements of the Owner's Or Seller's Affidavit Of No Liens New Hampshire
This affidavit typically includes several key components: the names of the owner or seller, a detailed description of the property, and a statement confirming the absence of liens. Additionally, it may require the signatures of the parties involved and a notary public to validate the document. Including accurate information is essential, as any discrepancies can lead to legal complications or disputes in the future.
Steps to complete the Owner's Or Seller's Affidavit Of No Liens New Hampshire
Completing the Owner's or Seller's Affidavit of No Liens involves several straightforward steps:
- Gather necessary information, including property details and personal identification.
- Fill out the affidavit form accurately, ensuring all required fields are completed.
- Sign the affidavit in the presence of a notary public to ensure its legal validity.
- Keep a copy of the signed document for your records and provide a copy to the buyer or relevant parties.
How to use the Owner's Or Seller's Affidavit Of No Liens New Hampshire
The Owner's or Seller's Affidavit of No Liens should be presented during the closing process of a real estate transaction. It is typically submitted alongside other documentation to the title company or attorney handling the closing. This affidavit helps facilitate a smooth transfer of ownership by confirming that the property is free from any financial claims, thereby protecting the interests of the buyer.
Legal use of the Owner's Or Seller's Affidavit Of No Liens New Hampshire
Legally, the Owner's or Seller's Affidavit of No Liens is recognized as a binding document once it has been signed and notarized. It can be used in court to prove the absence of liens, should any disputes arise regarding property ownership or financial obligations. The affidavit must comply with New Hampshire state laws to ensure its enforceability, making it essential for parties to understand the legal implications of the document.
State-specific rules for the Owner's Or Seller's Affidavit Of No Liens New Hampshire
In New Hampshire, specific rules govern the use of the Owner's or Seller's Affidavit of No Liens. The document must be notarized to be legally binding, and it should accurately reflect the current status of the property. Additionally, any changes in ownership or liens that occur after the affidavit is signed may require a new affidavit to be completed. Understanding these state-specific regulations is vital for ensuring compliance and protecting all parties involved in a transaction.
Quick guide on how to complete owners or sellers affidavit of no liens new hampshire
Complete [SKS] seamlessly on any device
Digital document management has gained popularity among businesses and individuals. It serves as an ideal eco-friendly substitute for conventional printed and signed documents, allowing you to locate the necessary form and securely archive it online. airSlate SignNow equips you with all the resources required to create, modify, and electronically sign your documents swiftly without delays. Manage [SKS] on any platform using airSlate SignNow Android or iOS applications and enhance any document-centered workflow today.
The easiest way to alter and electronically sign [SKS] with ease
- Locate [SKS] and then click Get Form to begin.
- Utilize the tools we provide to complete your form.
- Emphasize pertinent sections of the documents or redact sensitive information with tools that airSlate SignNow offers specifically for that purpose.
- Create your signature using the Sign feature, which takes mere seconds and holds the same legal validity as a conventional wet ink signature.
- Review all the details and then click on the Done button to save your changes.
- Choose your preferred method to send your form, via email, text message (SMS), or invitation link, or download it to your computer.
Eliminate concerns about lost or misplaced documents, laborious form hunting, or mistakes that necessitate printing new document copies. airSlate SignNow meets all your document management requirements in just a few clicks from any device of your choice. Edit and electronically sign [SKS] and guarantee effective communication at every step of the form creation process with airSlate SignNow.
Create this form in 5 minutes or less
Create this form in 5 minutes!
People also ask
-
What is an Owner's Or Seller's Affidavit Of No Liens in New Hampshire?
An Owner's Or Seller's Affidavit Of No Liens in New Hampshire is a legal document that certifies whether any liens exist against a property being transferred. It is crucial for ensuring that the buyer receives clear title to the property. This affidavit helps protect all parties involved in a real estate transaction from potential legal issues concerning unpaid debts.
-
Why do I need an Owner's Or Seller's Affidavit Of No Liens in New Hampshire?
You need an Owner's Or Seller's Affidavit Of No Liens in New Hampshire to confirm that the property is free from liens before completing a transaction. This affidavit ensures that there are no outstanding debts attached to the property, providing peace of mind to both the seller and buyer. Not having this document could result in future complications or financial claims.
-
How can airSlate SignNow help me with the Owner's Or Seller's Affidavit Of No Liens in New Hampshire?
AirSlate SignNow offers a seamless platform to create, send, and eSign your Owner's Or Seller's Affidavit Of No Liens in New Hampshire efficiently. With our user-friendly interface, you can generate your affidavit quickly and ensure that it's signed by all necessary parties. This streamlines the process, saving you time and reducing the risk of errors.
-
Is there a cost associated with using airSlate SignNow for Owner's Or Seller's Affidavit Of No Liens in New Hampshire?
Yes, there is a cost associated with using airSlate SignNow for creating an Owner's Or Seller's Affidavit Of No Liens in New Hampshire; however, our pricing plans are designed to be cost-effective. With various subscription options, businesses can choose a plan that fits their needs and budget. You'll find that the investment saves you time and ensures compliance with local regulations.
-
What features does airSlate SignNow offer for creating legal documents?
AirSlate SignNow provides a variety of features for creating your Owner's Or Seller's Affidavit Of No Liens in New Hampshire, including customizable templates, eSigning capabilities, and real-time collaboration tools. These features enhance the document creation process, allowing multiple users to access and sign documents securely from anywhere. Additionally, automated workflows facilitate faster turnaround times.
-
Can I integrate airSlate SignNow with other software for my real estate needs?
Absolutely! AirSlate SignNow can easily integrate with various software applications commonly used in real estate transactions, enhancing your workflow when creating an Owner's Or Seller's Affidavit Of No Liens in New Hampshire. Integrations with CRM systems, cloud storage, and other productivity tools ensure seamless document management and accessibility across platforms.
-
How do I ensure the legality of my Owner's Or Seller's Affidavit Of No Liens in New Hampshire?
To ensure the legality of your Owner's Or Seller's Affidavit Of No Liens in New Hampshire, it is essential to follow state-specific guidelines and requirements. Using airSlate SignNow's templates can help, as they are designed to comply with local regulations. Additionally, consulting with a legal professional can provide extra assurance that your affidavit is valid.
Get more for Owner's Or Seller's Affidavit Of No Liens New Hampshire
- Priority partners prior authorization form
- Republic bank stop payment form
- 8 tips for merchants to avoid credit card chargebacks form
- Tax information authorization checking this box allows the department to disclose your confidential tax information to your
- Colorado tax power of attorney form power of attorney www
- Michigan 100571158 form
- Fuel charge return for non registrants under the greenhouse gas pollution pricing act b401 e form
- Fmt to treat clostridium difficile infection not responsive to form
Find out other Owner's Or Seller's Affidavit Of No Liens New Hampshire
- How Do I Sign Maine Police IOU
- Sign Louisiana Police Work Order Computer
- Help Me With Sign Maine Police IOU
- Sign Maine Police IOU Simple
- How Can I Sign Maine Police IOU
- Can I Sign Maine Police IOU
- Sign Louisiana Police Work Order Mobile
- Sign Maine Police IOU Easy
- Sign Maine Police Profit And Loss Statement Online
- Sign Maine Police IOU Safe
- Sign Maine Police Profit And Loss Statement Computer
- Sign Louisiana Police Work Order Now
- Sign Maine Police Profit And Loss Statement Mobile
- Sign Maine Police Profit And Loss Statement Now
- Sign Maine Police Profit And Loss Statement Later
- Sign Maine Police Profit And Loss Statement Myself
- Sign Louisiana Police Work Order Later
- Sign Maine Police Profit And Loss Statement Free
- Sign Maine Police Profit And Loss Statement Fast
- Sign Maine Police Profit And Loss Statement Secure