
Order on Complaint for Abandoned Mineral Interest Tennessee Form


What is the Order On Complaint For Abandoned Mineral Interest Tennessee
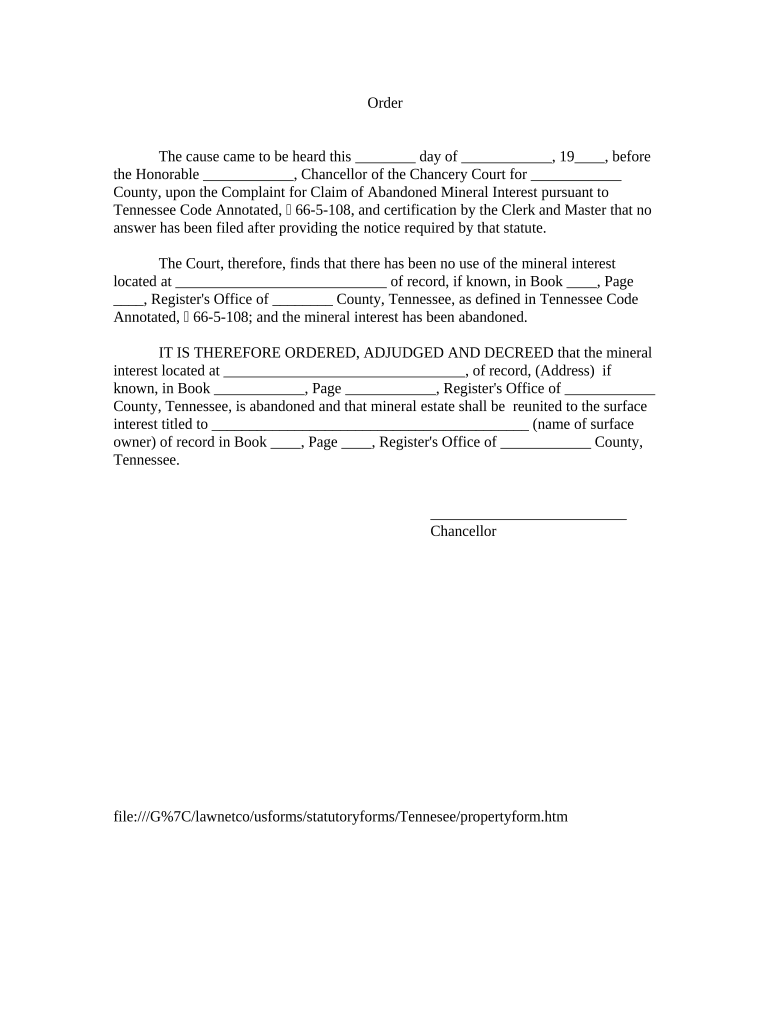
The Order On Complaint For Abandoned Mineral Interest in Tennessee is a legal document used to address the status of mineral interests that have been deemed abandoned. This order can be filed in court to seek a declaration regarding the ownership and rights associated with these mineral interests. It is particularly relevant in cases where property owners or stakeholders wish to reclaim or clarify their rights to minerals that may have been neglected or unclaimed for a significant period. Understanding this order is crucial for individuals or entities involved in mineral rights and property management in Tennessee.
How to use the Order On Complaint For Abandoned Mineral Interest Tennessee
Using the Order On Complaint For Abandoned Mineral Interest in Tennessee involves several steps. First, individuals must gather all relevant information regarding the mineral interests in question, including ownership details and any previous claims. Next, the order must be properly filled out, ensuring that all necessary information is accurately provided. Once completed, the form should be filed with the appropriate court, accompanied by any required documentation. It is advisable to consult with a legal professional to ensure compliance with state laws and to understand the implications of filing this order.
Steps to complete the Order On Complaint For Abandoned Mineral Interest Tennessee
Completing the Order On Complaint For Abandoned Mineral Interest in Tennessee involves a systematic approach:
- Gather all relevant documentation related to the mineral interest.
- Fill out the order form with accurate details, including the names of all parties involved.
- Include any supporting evidence that demonstrates the abandonment of the mineral interest.
- Review the completed form for accuracy and completeness.
- File the order with the appropriate court, ensuring that you meet any filing deadlines.
- Keep a copy of the filed order for your records.
Key elements of the Order On Complaint For Abandoned Mineral Interest Tennessee
The Order On Complaint For Abandoned Mineral Interest in Tennessee contains several key elements that are essential for its validity:
- Identification of Parties: The order must clearly identify all parties involved, including the complainant and any respondents.
- Description of Mineral Interests: A detailed description of the mineral interests in question, including location and type, is necessary.
- Statement of Abandonment: The order should include a statement outlining the reasons for claiming abandonment of the mineral interests.
- Legal Basis: Reference to the applicable laws or statutes that support the claim of abandonment is important.
- Signature and Date: The order must be signed and dated by the complainant or their legal representative.
State-specific rules for the Order On Complaint For Abandoned Mineral Interest Tennessee
Tennessee has specific rules governing the Order On Complaint For Abandoned Mineral Interest. These rules dictate the process for filing, the necessary documentation, and the timelines involved. It is important to be aware of any local court requirements, as these can vary by jurisdiction. Additionally, understanding the legal definitions of abandonment and the criteria for reclaiming mineral interests is crucial. Consulting with an attorney who specializes in property law can provide clarity on these state-specific regulations.
Legal use of the Order On Complaint For Abandoned Mineral Interest Tennessee
The legal use of the Order On Complaint For Abandoned Mineral Interest in Tennessee serves to protect the rights of property owners and stakeholders. By filing this order, individuals can seek legal recognition of their claims to mineral interests that may otherwise be lost due to abandonment. This process ensures that all parties have a clear understanding of ownership and rights associated with the mineral interests, thereby preventing future disputes. It is essential to follow the legal procedures outlined by Tennessee law to ensure the order's enforceability.
Quick guide on how to complete order on complaint for abandoned mineral interest tennessee
Finish [SKS] effortlessly on any gadget
Web-based document management has become increasingly favored by companies and individuals alike. It serves as an ideal environmentally friendly alternative to traditional printed and signed documents, allowing you to access the correct form and securely store it online. airSlate SignNow equips you with all the necessary tools to create, modify, and eSign your documents quickly and efficiently. Manage [SKS] from any gadget with airSlate SignNow's Android or iOS applications and enhance any document-driven activity today.
How to modify and eSign [SKS] without any hassle
- Find [SKS] and click Get Form to begin.
- Utilize the tools we provide to complete your document.
- Highlight important sections of your documents or obscure sensitive data with tools that airSlate SignNow provides specifically for that purpose.
- Create your signature using the Sign tool, which takes mere seconds and carries the same legal validity as a conventional wet ink signature.
- Review all the details and click on the Done button to save your changes.
- Select how you wish to send your form, whether by email, SMS, or invitation link, or download it to your computer.
Eliminate the concerns of lost or mislaid files, tedious form searches, or mistakes that necessitate printing new document copies. airSlate SignNow fulfills your document management needs in just a few clicks from any device of your preference. Modify and eSign [SKS] and ensure excellent communication throughout the document preparation process with airSlate SignNow.
Create this form in 5 minutes or less
Create this form in 5 minutes!
People also ask
-
What is an Order On Complaint For Abandoned Mineral Interest in Tennessee?
An Order On Complaint For Abandoned Mineral Interest in Tennessee is a legal process that allows individuals to reclaim mineral rights deemed abandoned. This order typically requires filing a complaint in a relevant court to establish ownership. Understanding this process is crucial for anyone seeking to protect their mineral interests in Tennessee.
-
How does airSlate SignNow facilitate the Order On Complaint For Abandoned Mineral Interest in Tennessee?
airSlate SignNow streamlines the processes involved in filing an Order On Complaint For Abandoned Mineral Interest in Tennessee by providing a digital platform for document preparation and eSigning. This ensures that essential documents are handled efficiently and securely, reducing the risk of errors or delays. Utilize our features to simplify your legal document workflow.
-
What are the costs associated with using airSlate SignNow for this legal process?
The costs associated with using airSlate SignNow for your Order On Complaint For Abandoned Mineral Interest in Tennessee can vary based on the plan you choose. We offer competitive pricing with a variety of subscription options to suit different business sizes. Investing in our service provides substantial savings in time and manual paperwork.
-
Can I integrate airSlate SignNow with other software for my legal needs?
Yes, airSlate SignNow can be integrated with various software platforms, enhancing your ability to manage your legal documents for the Order On Complaint For Abandoned Mineral Interest in Tennessee. Our seamless integrations with tools like CRM systems and document management software streamline your workflow. This allows for more efficient data handling and improved collaboration.
-
What security measures does airSlate SignNow have for legal documents?
airSlate SignNow takes the security of your legal documents seriously. We implement top-tier encryption and compliance protocols to ensure that your Order On Complaint For Abandoned Mineral Interest in Tennessee is protected against unauthorized access. Trust in our secure platform for handling sensitive legal documents.
-
Is there customer support available for assistance with my Order On Complaint For Abandoned Mineral Interest in Tennessee?
Absolutely! airSlate SignNow provides robust customer support to assist you with any queries regarding your Order On Complaint For Abandoned Mineral Interest in Tennessee. Our dedicated team is available through multiple channels, ensuring that you have access to the help you need at any time.
-
What are the benefits of using airSlate SignNow for my legal documents?
Using airSlate SignNow for your legal documents, including the Order On Complaint For Abandoned Mineral Interest in Tennessee, offers numerous benefits such as ease of use, time savings, and enhanced accuracy. Our platform simplifies the document workflow, allowing you to focus more on your case while we handle the paperwork. This efficiency can signNowly improve your overall legal process.
Get more for Order On Complaint For Abandoned Mineral Interest Tennessee
- Warranty deed from parents to child with life estate reserved by parents district of columbia form
- Dc joint 497301858 form
- Warranty deed to separate property of one spouse to both as joint tenants district of columbia form
- Dc deed online form
- District columbia llc form
- Dc deed form
- Dc quitclaim deed form
- Quitclaim deed from three individuals to two individuals district of columbia form
Find out other Order On Complaint For Abandoned Mineral Interest Tennessee
- Help Me With eSignature Illinois Insurance Letter Of Intent
- Can I eSignature Illinois Insurance Letter Of Intent
- How Can I eSignature Illinois Insurance Letter Of Intent
- How Can I eSignature Minnesota High Tech Warranty Deed
- eSignature Minnesota High Tech Warranty Deed Simple
- eSignature Minnesota High Tech Warranty Deed Easy
- eSignature Insurance Word Indiana Online
- Can I eSignature Minnesota High Tech Warranty Deed
- eSignature Insurance Word Indiana Computer
- eSignature Minnesota High Tech Warranty Deed Safe
- eSignature Insurance Word Indiana Now
- eSignature Insurance Word Indiana Mobile
- eSignature Insurance Word Indiana Later
- eSignature Insurance Word Indiana Myself
- eSignature Insurance Word Indiana Free
- eSignature Insurance Word Indiana Secure
- eSignature Minnesota High Tech Last Will And Testament Online
- eSignature Insurance Word Indiana Fast
- eSignature Insurance Word Indiana Simple
- eSignature Minnesota High Tech IOU Online