
Parent Affidavit Form


What is the Parent Affidavit
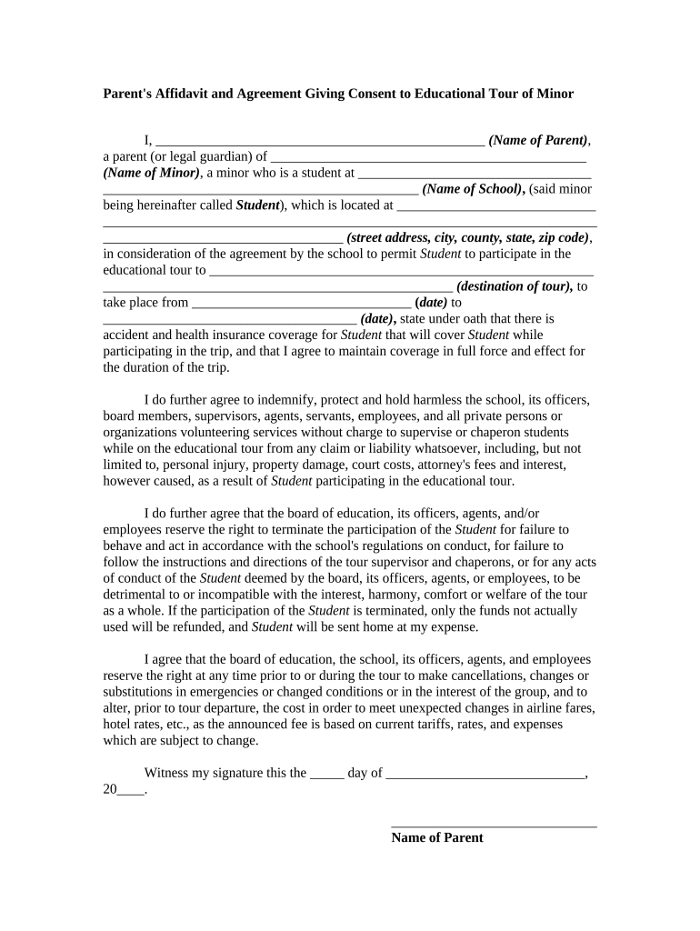
A parent affidavit is a legal document that affirms the relationship between a parent and their child. This document is often required in various situations, such as applying for a minor's passport, enrolling a child in school, or when a parent is unable to be present for certain legal matters. The affidavit serves as a sworn statement that can be used to establish parental rights and responsibilities in a court of law or other official settings. It is crucial for ensuring that the rights of both the parent and the child are protected.
How to use the Parent Affidavit
The parent affidavit can be used in numerous scenarios, including but not limited to:
- Applying for a child's passport or visa.
- Enrolling a child in school or daycare.
- Establishing custody arrangements in legal proceedings.
- Granting temporary guardianship to another adult.
To use the parent affidavit effectively, ensure that it is filled out completely and accurately. The document should be signed in the presence of a notary public to validate its authenticity, which is often a requirement for it to be accepted by institutions or courts.
Steps to complete the Parent Affidavit
Completing a parent affidavit involves several key steps:
- Gather necessary information, including the child's full name, date of birth, and the parent's details.
- Clearly state the purpose of the affidavit, such as confirming the parent-child relationship.
- Include any relevant details or circumstances that support the affidavit's purpose.
- Sign the document in the presence of a notary public to ensure legal validity.
Following these steps will help ensure that the affidavit meets legal requirements and serves its intended purpose.
Legal use of the Parent Affidavit
The legal use of a parent affidavit is significant in various contexts. Courts often require this document to establish or confirm parental rights, especially in custody disputes or when a child is traveling without one parent. It can also be used to grant limited power of attorney for a child, allowing another adult to make decisions on behalf of the parent temporarily. Understanding the legal implications and requirements of the parent affidavit is essential to ensure its acceptance in legal proceedings.
Key elements of the Parent Affidavit
Key elements that should be included in a parent affidavit are:
- The full names and addresses of both the parent and child.
- A statement affirming the relationship between the parent and child.
- The purpose of the affidavit.
- The date and place of signing.
- A signature from the parent and a notary public.
Including these elements will help create a comprehensive and legally sound affidavit that fulfills its intended purpose.
Examples of using the Parent Affidavit
Examples of situations where a parent affidavit may be utilized include:
- When a child is traveling internationally with one parent or a guardian.
- To support a visa application for a child visiting another country.
- For school enrollment when one parent is unable to attend.
- To establish proof of a parent-child relationship for healthcare decisions.
These examples illustrate the versatility and necessity of the parent affidavit in various legal and administrative processes.
Quick guide on how to complete consent letter for minor care giving from parent
Effortlessly Prepare consent letter for minor care giving from parent on Any Device
Digital document management has gained signNow traction among businesses and individuals. It offers an ideal eco-friendly substitute for conventional printed and signed paperwork, allowing you to obtain the necessary forms and securely keep them online. airSlate SignNow equips you with all the resources needed to create, modify, and electronically sign your documents quickly and efficiently. Manage parent affidavit on any device using airSlate SignNow's Android or iOS applications and streamline your document-related tasks today.
How to Edit and Electronically Sign parent affidavit foid card application with Ease
- Obtain sample affidavit for chold and parent for uscis 1 130 and then click Get Form to begin.
- Utilize the tools we provide to complete your document.
- Highlight important sections of the documents or obscure sensitive information using specialized tools offered by airSlate SignNow.
- Create your eSignature with the Sign tool, which takes just seconds and holds the same legal validity as a conventional wet ink signature.
- Review the details and then click on the Done button to save your changes.
- Choose your preferred delivery method for the form, whether by email, SMS, or invite link, or download it to your computer.
Eliminate worries about lost or misplaced documents, tedious form hunting, or mistakes that necessitate printing new copies. airSlate SignNow addresses all your document management requirements in just a few clicks from any device you prefer. Modify and electronically sign affidavit form for parent and ensure outstanding communication throughout the form completion process with airSlate SignNow.
Create this form in 5 minutes or less
Related searches to affidavit parents going to support child
Create this form in 5 minutes!
People also ask foid card parent affidavit
-
What is an affidavit parents going to support child?
An affidavit parents going to support child is a legally binding document that outlines the support obligations of parents towards their child. It serves as proof of the parental commitment to provide financial or emotional support. This document can be crucial in legal proceedings related to child custody or support arrangements.
-
How can airSlate SignNow help with creating an affidavit parents going to support child?
airSlate SignNow offers an easy-to-use platform that allows you to create, customize, and sign an affidavit parents going to support child online. You can access ready-made templates or craft your own document seamlessly. With our eSigning feature, you can ensure that all necessary parties sign the document quickly and securely.
-
Is there a cost associated with using airSlate SignNow for an affidavit parents going to support child?
Yes, airSlate SignNow offers various pricing plans to suit different needs, including individual and business options. You can choose a plan based on your requirements and budget. The cost-effective solutions provided can help you manage all your document signing needs without breaking the bank.
-
What features does airSlate SignNow offer for managing affidavits?
airSlate SignNow provides several features for managing affidavits, including customizable templates, cloud storage, and advanced security measures. You can track the signing process in real-time and set reminders for signers. These features ensure that your affidavit parents going to support child is handled efficiently and securely.
-
Can I integrate airSlate SignNow with other software for my affidavit needs?
Yes, airSlate SignNow offers integrations with various popular applications and services, enhancing your workflow. You can easily connect it with tools like Google Drive, Salesforce, and more, allowing seamless document management. This integration capability ensures your affidavit parents going to support child process fits smoothly into your existing systems.
-
What are the benefits of using airSlate SignNow for legal documents like affidavits?
Using airSlate SignNow for legal documents like affidavits streamlines the signing and management process signNowly. It offers a user-friendly interface and robust security measures, providing peace of mind that your affidavit parents going to support child is handled correctly. Additionally, it reduces turnaround times and paperwork, making it an efficient choice.
-
How secure is the information shared with airSlate SignNow?
airSlate SignNow places a high priority on security, using advanced encryption methods to protect all data. Your documents, including the affidavit parents going to support child, are stored securely in the cloud. We comply with industry standards to ensure that your information remains confidential and safe.
Get more for parent affidavit
- Sc financial declaration form
- South carolina child support 497325973 form
- Family court form
- Warranty deed for husband and wife converting property from tenants in common to joint tenancy south carolina form
- Warranty deed for parents to child with reservation of life estate south carolina form
- Warranty deed for separate or joint property to joint tenancy south carolina form
- Warranty deed to separate property of one spouse to both spouses as joint tenants south carolina form
- Fiduciary deed for use by executors trustees trustors administrators and other fiduciaries south carolina form
Find out other parent affidavit foid card application
- Electronic signature Oregon Rental property lease agreement Now
- eSignature New York Letter Bankruptcy Inquiry Simple
- How To eSignature Arkansas Development and Publishing Agreement
- eSignature New York Letter Bankruptcy Inquiry Easy
- How Do I eSignature Arkansas Development and Publishing Agreement
- Electronic signature Oregon Rental property lease agreement Later
- Help Me With eSignature Arkansas Development and Publishing Agreement
- eSignature New York Letter Bankruptcy Inquiry Safe
- How Can I eSignature Arkansas Development and Publishing Agreement
- Can I eSignature Arkansas Development and Publishing Agreement
- Electronic signature Oregon Rental property lease agreement Myself
- How To Electronic signature Oregon Rental property lease agreement
- How Do I Electronic signature Oregon Rental property lease agreement
- Electronic signature Oregon Rental property lease agreement Free
- Help Me With Electronic signature Oregon Rental property lease agreement
- How Can I Electronic signature Oregon Rental property lease agreement
- eSignature California Development and Publishing Agreement Online
- Can I Electronic signature Oregon Rental property lease agreement
- eSignature California Development and Publishing Agreement Computer
- Electronic signature Oregon Rental property lease agreement Secure