
Assignment Order Form


What is the Assignment Order Form
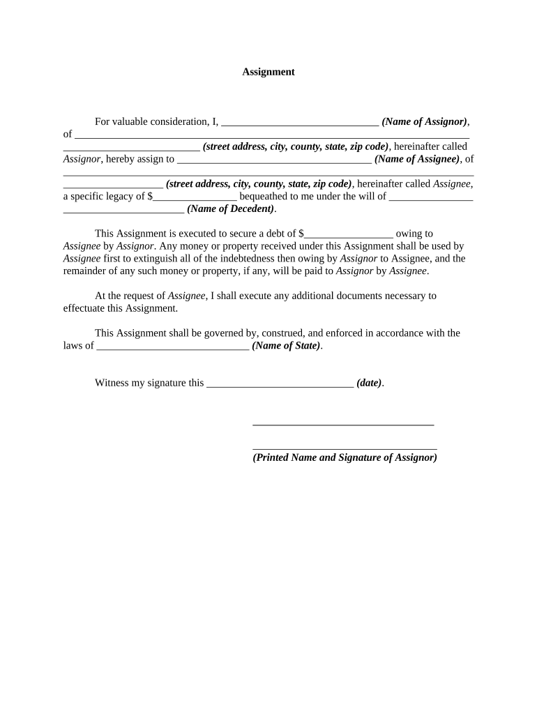
The assignment order form is a crucial document used to transfer rights or interests in an asset or property from one party to another. This form is often utilized in various contexts, including real estate transactions, business agreements, and personal property transfers. By completing this form, the assignor officially designates the assignee to receive the rights associated with the specified asset, ensuring a clear record of the transaction.
Steps to Complete the Assignment Order Form
Completing the assignment order form involves several key steps to ensure accuracy and compliance. First, gather all necessary information, including the names and addresses of both the assignor and assignee. Next, clearly describe the asset or rights being assigned, including any relevant identifiers such as serial numbers or property descriptions. After filling out the form, both parties should review it for accuracy before signing. Finally, ensure that the completed form is dated and filed appropriately, either electronically or in hard copy, depending on the requirements of the jurisdiction.
Legal Use of the Assignment Order Form
The assignment order form holds legal significance when executed properly. For the assignment to be recognized legally, it must meet specific requirements, such as the inclusion of signatures from both parties and a clear description of the rights being transferred. Additionally, compliance with relevant state laws is essential to ensure the assignment is enforceable. Utilizing a reliable digital platform for eSigning can enhance the legitimacy of the document, as it provides a secure and compliant way to execute the form.
Key Elements of the Assignment Order Form
Several key elements must be included in the assignment order form to ensure its effectiveness. These elements typically include:
- Names and addresses: Full legal names and addresses of both the assignor and assignee.
- Description of the asset: A detailed description of the rights or property being assigned.
- Signatures: Signatures of both parties, indicating their agreement to the terms of the assignment.
- Date: The date on which the assignment is executed.
How to Obtain the Assignment Order Form
The assignment order form can typically be obtained through various sources. Many legal and business websites provide downloadable templates that can be customized to fit specific needs. Additionally, state or local government offices may offer official versions of the form. It is essential to ensure that the version used complies with local laws and regulations to maintain its validity.
Examples of Using the Assignment Order Form
There are numerous scenarios in which an assignment order form may be utilized. For instance, in real estate, a homeowner may use the form to assign their rights to a buyer during a sale. In business, a company may assign its rights to receive payments from a client to a third party. Understanding these examples can help individuals and businesses recognize when the assignment order form is necessary for their transactions.
Quick guide on how to complete assignment order sample
Complete assignment order sample effortlessly on any device
Digital document management has become favored by both companies and individuals. It offers an ideal environmentally friendly substitute for traditional printed and signed documents, allowing you to locate the right form and securely store it online. airSlate SignNow equips you with all the tools necessary to create, modify, and eSign your documents quickly without interruptions. Manage assignment order online on any device using the airSlate SignNow Android or iOS applications and streamline any document-focused workflow today.
How to modify and eSign assignment order with ease
- Obtain assignment order purchase and then click Get Form to begin.
- Use the tools we offer to complete your form.
- Highlight important sections of the documents or redact sensitive information using tools specifically provided by airSlate SignNow for this purpose.
- Create your signature with the Sign feature, which takes mere seconds and carries the same legal standing as a conventional ink signature.
- Review the details and then click on the Done button to save your modifications.
- Choose how you want to share your form: via email, text message (SMS), or invitation link, or download it to your computer.
Forget lost or misplaced documents, exhausting form searches, or mistakes that necessitate printing new document copies. airSlate SignNow fulfills all your document management requirements in just a few clicks from any device you choose. Modify and eSign assignment order form to guarantee outstanding communication at every stage of your form preparation process with airSlate SignNow.
Create this form in 5 minutes or less
Related searches to assignment order form
Create this form in 5 minutes!
People also ask assignment order
-
What is an assignment order online?
An assignment order online is a digital document that allows you to designate specific tasks or responsibilities to individuals or entities through an online platform. With airSlate SignNow, you can easily create, send, and eSign assignment orders, streamlining your administrative processes.
-
How much does it cost to place an assignment order online with airSlate SignNow?
The pricing for placing an assignment order online with airSlate SignNow varies based on the subscription plan you choose. We offer several flexible options to fit your business needs, and you can start with a free trial to explore the features before committing to a payment.
-
What features does airSlate SignNow offer for creating an assignment order online?
airSlate SignNow provides a range of features for creating an assignment order online, including customizable templates, drag-and-drop editing, and real-time tracking of document status. This ensures your documents are professional, secure, and handled efficiently.
-
How can airSlate SignNow benefit my business when assigning orders online?
Using airSlate SignNow to assign orders online can enhance your business’s efficiency by minimizing paperwork and reducing the time taken for approvals. The platform also allows for faster communication and collaboration among team members, boosting productivity.
-
Is it easy to eSign an assignment order online with airSlate SignNow?
Absolutely! eSigning an assignment order online with airSlate SignNow is quick and straightforward. Users can sign documents electronically from any device, making it convenient for everyone involved, and ensuring that your orders are processed without delay.
-
Can I integrate airSlate SignNow with other tools for assignments?
Yes, airSlate SignNow seamlessly integrates with various applications and platforms, enhancing your workflow management. This flexibility allows you to connect your assignment order online processes with CRM systems, project management tools, and other software you already use.
-
Is there a mobile option for managing assignment orders online?
Yes, airSlate SignNow offers a mobile app that allows you to manage your assignment orders online from anywhere. With the mobile solution, you can send, sign, and track documents right from your smartphone or tablet, ensuring you are always connected.
Get more for assignment order purchase
Find out other assignment order form
- How To eSignature Alaska Charity Word
- How Do I eSignature Alaska Charity Word
- How Can I eSignature Alaska Charity Word
- Help Me With eSignature Alaska Charity Word
- How Can I eSignature Alaska Charity Word
- Can I eSignature Alaska Charity Word
- Can I eSignature Alaska Charity Word
- How To eSignature Alaska Charity Word
- How To eSignature Alaska Charity Word
- How Do I eSignature Alaska Charity Word
- How Do I eSignature Alaska Charity Word
- Help Me With eSignature Alaska Charity Word
- How Can I eSignature Alaska Charity Word
- Help Me With eSignature Alaska Charity Word
- Can I eSignature Alaska Charity Word
- How Can I eSignature Alaska Charity Word
- How To eSignature Alaska Charity Word
- How Do I eSignature Alaska Charity Word
- Can I eSignature Alaska Charity Word
- How To eSignature Alaska Charity Word