
Refrigeration Maintenance Contract Form


What is the refrigeration maintenance contract?
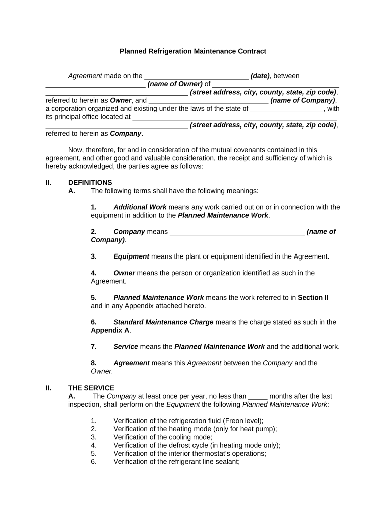
A refrigeration maintenance contract is a formal agreement between a service provider and a business or individual that outlines the responsibilities and services related to the maintenance of refrigeration systems. This contract typically includes scheduled inspections, routine maintenance tasks, emergency repairs, and replacement of parts as needed. The goal is to ensure that refrigeration units operate efficiently and comply with safety regulations.
Key elements of the refrigeration maintenance contract
Understanding the key elements of a refrigeration maintenance contract is essential for both parties involved. Important components often include:
- Scope of work: Detailed description of services to be provided.
- Duration: Timeframe for the contract, including start and end dates.
- Payment terms: Information about fees, payment schedules, and any additional costs.
- Liability clauses: Terms that outline the responsibilities of each party in case of damages or failures.
- Termination conditions: Guidelines for ending the contract prematurely, if necessary.
Steps to complete the refrigeration maintenance contract
Completing a refrigeration maintenance contract involves several key steps to ensure clarity and compliance:
- Identify the parties: Clearly state the names and contact information of both the service provider and the client.
- Define the scope: Specify the services included in the maintenance agreement.
- Set payment terms: Agree on the pricing structure and payment schedule.
- Review legal requirements: Ensure that the contract complies with local laws and regulations.
- Sign the contract: Both parties should sign the document, ideally using a secure eSignature platform for validity.
How to use the refrigeration maintenance contract
Using a refrigeration maintenance contract effectively involves several practices:
- Regular reviews: Periodically assess the contract to ensure it meets current needs.
- Document maintenance activities: Keep records of all services performed under the contract for future reference.
- Communicate with the service provider: Maintain open lines of communication to address any issues or concerns promptly.
Legal use of the refrigeration maintenance contract
The legal use of a refrigeration maintenance contract requires adherence to specific guidelines to ensure its enforceability. The contract must be clear, mutual, and compliant with relevant laws. It is advisable to consult legal professionals to review the contract terms, particularly concerning liability and compliance with safety regulations. Utilizing a reliable eSignature platform can further enhance the legal standing of the document by providing a secure and verifiable method for signing.
How to obtain the refrigeration maintenance contract
Obtaining a refrigeration maintenance contract can be done through various means:
- Templates: Many online resources offer customizable refrigeration maintenance contract templates that can be tailored to specific needs.
- Professional services: Hiring a legal professional or a contract specialist can ensure that the agreement is comprehensive and legally sound.
- Direct negotiation: Engaging directly with a service provider to draft a contract based on mutual agreement can also be effective.
Quick guide on how to complete refrigeration maintenance contract
Complete refrigeration maintenance contract seamlessly on any device
Digital document management has gained traction among businesses and individuals. It offers an ideal eco-friendly alternative to traditional printed and signed forms, as you can access the correct version and securely store it online. airSlate SignNow provides all the necessary tools to create, modify, and eSign your documents quickly without delays. Handle refrigeration maintenance contract on any platform using airSlate SignNow Android or iOS applications and simplify any document-related process today.
The easiest way to edit and eSign refrigeration maintenance contract template effortlessly
- Obtain refrigeration maintenance agreement and then click Get Form to begin.
- Utilize the tools we offer to complete your form.
- Emphasize key parts of the documents or obscure sensitive information with tools specifically provided by airSlate SignNow for that purpose.
- Create your eSignature using the Sign tool, which takes mere seconds and carries the same legal validity as a conventional wet ink signature.
- Review all the details and then click on the Done button to save your changes.
- Choose how you want to send your form, via email, text message (SMS), or an invitation link, or download it to your computer.
Eliminate the worries of lost or misplaced documents, tedious form navigation, or mistakes that necessitate reprinting new copies. airSlate SignNow meets all your document management needs in just a few clicks from any device you prefer. Modify and eSign fridge contract and ensure effective communication at every step of the document preparation process with airSlate SignNow.
Create this form in 5 minutes or less
Related searches to refrigeration maintenance contract
Create this form in 5 minutes!
People also ask fridge contract
-
What is a refrigeration maintenance contract?
A refrigeration maintenance contract is a service agreement that outlines the necessary maintenance tasks for your refrigeration systems. This contract typically includes regular inspections, preventive maintenance, and repairs to ensure optimal performance. It helps prolong the life of your equipment while minimizing unexpected breakdowns.
-
What are the benefits of having a refrigeration maintenance contract?
Having a refrigeration maintenance contract ensures your systems are regularly serviced, reducing the risk of costly repairs and downtime. It also helps improve energy efficiency and prolongs the lifespan of your equipment. Overall, it provides peace of mind, knowing your refrigeration needs are consistently managed.
-
How much does a refrigeration maintenance contract typically cost?
The cost of a refrigeration maintenance contract varies depending on several factors, including the size and type of your refrigeration equipment. Generally, contracts can range from a few hundred to several thousand dollars annually. It's important to compare quotes and services because a higher price doesn't always guarantee better value.
-
What features should I look for in a refrigeration maintenance contract?
When assessing a refrigeration maintenance contract, look for features such as routine inspections, emergency service provisions, and detailed reporting. It's also beneficial to ensure that the contract covers parts and labor for repairs, as well as a clear outline of scheduled maintenance tasks. Transparency in service agreements will offer you greater peace of mind.
-
Are refrigeration maintenance contracts customizable?
Yes, refrigeration maintenance contracts can often be customized to fit your specific needs and budget. Providers typically offer various tiers of service that allow you to add or remove features. Customization ensures you receive the optimal level of service tailored to your equipment and operational requirements.
-
Can I integrate my refrigeration maintenance contract with other business software?
Many refrigeration maintenance contract providers offer integrations with popular business software for better tracking and management. These integrations streamline communication between maintenance teams and business operations, providing real-time updates and notifications. This integration can enhance overall efficiency and productivity.
-
How does a refrigeration maintenance contract improve energy efficiency?
A refrigeration maintenance contract typically includes regular checks that ensure your systems are running efficiently. Preventive maintenance helps identify and rectify issues that can lead to increased energy consumption. By maintaining optimal performance, these contracts can signNowly reduce your energy bills over time.
Get more for refrigeration maintenance contract
Find out other refrigeration maintenance contract template
- How Do I Sign Tennessee Pet Care Agreement
- Sign Mississippi Moving Checklist Fast
- Sign Mississippi Moving Checklist Simple
- Help Me With Sign Tennessee Pet Care Agreement
- Sign Mississippi Moving Checklist Easy
- Sign Mississippi Moving Checklist Safe
- Sign Alaska Pet Custody Agreement Online
- How Can I Sign Tennessee Pet Care Agreement
- Can I Sign Tennessee Pet Care Agreement
- How To Sign Mississippi Moving Checklist
- Sign Alaska Pet Custody Agreement Computer
- Sign Alaska Pet Custody Agreement Mobile
- Sign Alaska Pet Custody Agreement Now
- How Do I Sign Mississippi Moving Checklist
- Sign Alaska Pet Custody Agreement Later
- Sign Alaska Pet Custody Agreement Myself
- Sign Alaska Pet Custody Agreement Free
- How To Sign Alaska Pet Custody Agreement
- Sign Alaska Pet Custody Agreement Secure
- Help Me With Sign Mississippi Moving Checklist