
Assignment of Insurance Proceeds Form


What is the Assignment of Insurance Proceeds Form
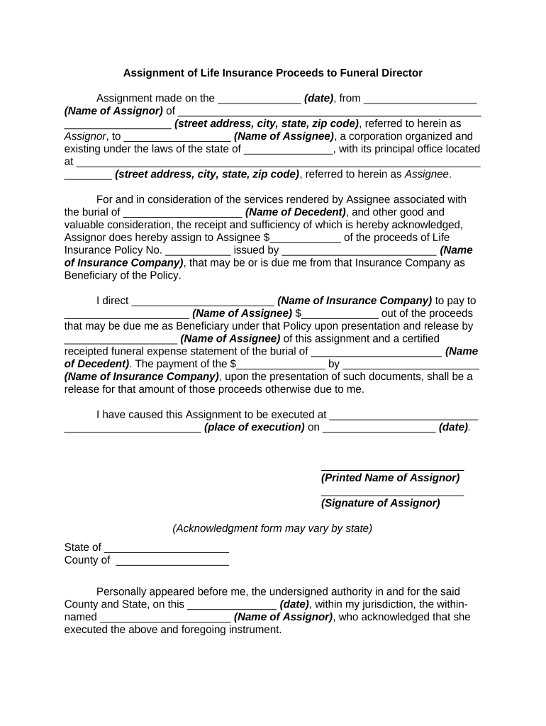
The Assignment of Insurance Proceeds Form is a legal document used to transfer the rights to insurance benefits from one party to another. This form is often utilized in funeral arrangements to ensure that the proceeds from a life insurance policy are directed to cover funeral expenses. By completing this form, the policyholder assigns the benefits directly to a funeral service provider, allowing for a smoother transaction during a difficult time. Understanding the purpose of this form is crucial for both the assignor and the assignee to ensure that the process is executed correctly.
Steps to Complete the Assignment of Insurance Proceeds Form
Completing the Assignment of Insurance Proceeds Form involves several key steps to ensure its validity and effectiveness:
- Gather necessary information: Collect details such as the policy number, the names of the insured and the beneficiary, and the funeral service provider's information.
- Fill out the form: Clearly enter all required information, ensuring accuracy to avoid delays in processing.
- Sign and date: Both the assignor and the assignee must sign and date the form to validate the assignment.
- Submit the form: Send the completed form to the insurance company and the funeral service provider, ensuring that all parties receive a copy for their records.
Legal Use of the Assignment of Insurance Proceeds Form
The Assignment of Insurance Proceeds Form is legally binding when executed correctly. To ensure its legal standing, it must comply with state laws regarding assignments and insurance policies. It is essential to follow the specific requirements set forth by the insurance provider and to have the form notarized if required. This legal framework protects all parties involved and ensures that the proceeds are allocated as intended.
Key Elements of the Assignment of Insurance Proceeds Form
Several key elements must be included in the Assignment of Insurance Proceeds Form to ensure it is complete and enforceable:
- Policyholder information: Full name, address, and contact details of the policyholder.
- Beneficiary details: Information about the beneficiary receiving the proceeds.
- Funeral service provider: Name and contact information of the funeral home or service provider.
- Signature section: Spaces for signatures of both the policyholder and the funeral service provider, along with the date.
How to Obtain the Assignment of Insurance Proceeds Form
The Assignment of Insurance Proceeds Form can typically be obtained directly from the insurance company that issued the policy. Many insurance providers offer downloadable versions of the form on their websites. Alternatively, funeral service providers may also have copies available. It is important to ensure that you are using the most current version of the form to avoid any issues during the assignment process.
Form Submission Methods
Once the Assignment of Insurance Proceeds Form is completed, there are several methods to submit it:
- Online submission: Many insurance companies allow forms to be submitted electronically through their secure portals.
- Mail: The form can be printed and mailed to the insurance company and funeral service provider.
- In-person delivery: Alternatively, the form can be delivered in person to the insurance company’s local office or the funeral service provider.
Quick guide on how to complete assignment funeral get
Complete assignment funeral get effortlessly on any gadget
Digital document management has gained traction among businesses and individuals alike. It offers a superb eco-friendly alternative to traditional printed and signed documents, allowing you to obtain the correct template and securely store it online. airSlate SignNow equips you with all the necessary tools to create, edit, and electronically sign your documents swiftly without delays. Manage proceeds funeral on any device with airSlate SignNow's Android or iOS applications and enhance any document-focused task today.
How to edit and electronically sign assignment funeral form with ease
- Locate assignment of insurance proceeds form and click on Get Form to begin.
- Utilize the tools we offer to fill out your form.
- Emphasize important sections of the documents or redact sensitive information with tools specifically provided by airSlate SignNow for that purpose.
- Create your electronic signature with the Sign feature, which takes only seconds and holds the same legal validity as a conventional handwritten signature.
- Review the information and click the Done button to save your modifications.
- Select how you want to submit your form, whether by email, text (SMS), or invitation link, or download it to your computer.
Eliminate concerns about lost or misplaced documents, exhaustive form searches, or mistakes that necessitate printing new document copies. airSlate SignNow addresses your document management needs in just a few clicks from any device of your choosing. Edit and electronically sign assignment funeral and ensure outstanding communication at every step of your form preparation process with airSlate SignNow.
Create this form in 5 minutes or less
Related searches to assignment funeral search
Create this form in 5 minutes!
People also ask proceeds funeral
-
What are the benefits of using airSlate SignNow for proceeds funeral documentation?
airSlate SignNow simplifies the process of managing proceeds funeral documentation by allowing you to eSign and send documents quickly. This not only saves time but also reduces the need for physical paperwork, making it easier to keep track of vital files. Moreover, with our secure platform, you can ensure that all sensitive information is well protected.
-
How does pricing work for airSlate SignNow when dealing with proceeds funeral forms?
Our pricing for airSlate SignNow is designed to be cost-effective, especially for businesses managing proceeds funeral paperwork. You can choose a plan that fits your needs, whether you require basic document signing or advanced features for comprehensive workflow management. This flexibility ensures that you only pay for what you require.
-
Is airSlate SignNow compliant with legal requirements for proceeds funeral documents?
Yes, airSlate SignNow complies with legal requirements for electronically signing proceeds funeral documents. Our platform adheres to industry standards such as eIDAS and ESIGN, ensuring that your electronically signed documents are legally binding and secure. This gives you peace of mind when managing sensitive funeral paperwork.
-
What types of documents can I manage related to proceeds funeral using airSlate SignNow?
With airSlate SignNow, you can manage a variety of documents related to proceeds funeral, including contracts, invoices, and consent forms. The platform allows you to customize document formats to suit your specific needs, ensuring all paperwork related to proceeds funeral is handled efficiently. This versatility makes our solution an ideal choice for businesses in the funeral industry.
-
Can airSlate SignNow integrate with other tools I use for proceeds funeral management?
Absolutely! airSlate SignNow offers seamless integrations with various tools commonly used in proceeds funeral management. Whether you need to sync with CRM systems, cloud storage services, or accounting software, our integrations can enhance your workflow and ensure that all data remains cohesive and accessible.
-
What security measures does airSlate SignNow have for proceeds funeral documents?
Security is a top priority at airSlate SignNow, especially for sensitive documents related to proceeds funeral. Our platform employs advanced encryption methods and secure user authentication to safeguard all transactions and data. Additionally, we provide audit trails to track changes and access, ensuring complete transparency.
-
How quickly can I set up airSlate SignNow for proceeds funeral documentation?
Setting up airSlate SignNow for proceeds funeral documentation is straightforward and can be completed within minutes. After creating an account, you can start uploading documents and setting up your workflows immediately. Our user-friendly interface makes the process intuitive, minimizing downtime and allowing you to get started quickly.
Get more for assignment funeral form
- Complex will with credit shelter marital trust for large estates wyoming form
- Child support modification information and instructions wyoming
- Wyoming child support form
- Wyoming child support 497432402 form
- Wyoming modification form
- Wyoming confidential financial form
- Wy 20 form
- Child support guidelines wyoming form
Find out other assignment of insurance proceeds form
- Can I Electronic signature New Mexico Web Hosting Agreement
- eSignature Oklahoma Bulk Sale Agreement Simple
- eSignature Oklahoma Bulk Sale Agreement Easy
- Electronic signature Nevada Deposit Receipt Template Online
- Electronic signature Nevada Deposit Receipt Template Computer
- eSignature Oklahoma Bulk Sale Agreement Safe
- Electronic signature Nevada Deposit Receipt Template Mobile
- Electronic signature Nevada Deposit Receipt Template Now
- Electronic signature Nevada Deposit Receipt Template Later
- Electronic signature New Hampshire Deposit Receipt Template Online
- Electronic signature Nevada Deposit Receipt Template Myself
- Electronic signature Nevada Deposit Receipt Template Free
- Electronic signature Nevada Deposit Receipt Template Secure
- Electronic signature New Hampshire Deposit Receipt Template Computer
- Electronic signature Nevada Deposit Receipt Template Fast
- Electronic signature Nevada Deposit Receipt Template Simple
- Electronic signature Nevada Deposit Receipt Template Easy
- eSignature Oregon Bulk Sale Agreement Online
- Electronic signature Nevada Deposit Receipt Template Safe
- Electronic signature New Hampshire Deposit Receipt Template Mobile