
Bid Construction Project Form


What is the Bid Construction Project
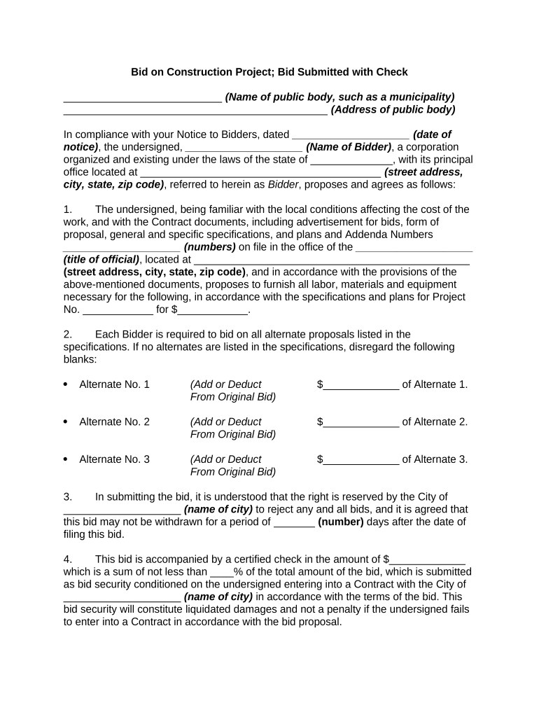
The bid construction project is a formal proposal submitted by contractors to outline the costs and terms for a construction job. This document serves as a critical tool in the bidding process, allowing property owners or project managers to evaluate multiple bids and select the most suitable contractor. It typically includes detailed information such as project scope, timelines, materials, labor costs, and any special considerations that may affect the overall project execution.
Steps to Complete the Bid Construction Project
Completing a bid construction project involves several key steps to ensure accuracy and compliance. Here’s a structured approach:
- Gather project specifications: Understand the project requirements and specifications provided by the client.
- Conduct site visits: Visit the construction site to assess conditions and gather necessary measurements.
- Calculate costs: Estimate costs for materials, labor, and overhead to create a comprehensive budget.
- Draft the bid document: Compile all information, including project details, timelines, and pricing, into a formal bid document.
- Review and finalize: Ensure all details are accurate and complete before submitting the bid.
Key Elements of the Bid Construction Project
A well-structured bid construction project should include several essential elements to be effective:
- Project Overview: A brief description of the project scope and objectives.
- Detailed Cost Breakdown: Itemized costs for materials, labor, and any additional expenses.
- Timeline: Proposed schedule for project completion, including key milestones.
- Qualifications: Information about the contractor's experience and credentials.
- Terms and Conditions: Legal stipulations and conditions under which the bid is submitted.
Legal Use of the Bid Construction Project
The bid construction project is legally binding when executed properly. To ensure its legality, it must comply with relevant laws and regulations governing construction contracts. This includes obtaining necessary permits and adhering to local building codes. Additionally, both parties should sign the bid document, confirming their agreement to the terms outlined. Utilizing a reliable digital signature platform can enhance the security and legality of the document.
How to Use the Bid Construction Project
Using the bid construction project effectively involves several steps:
- Identify potential contractors: Research and compile a list of qualified contractors to invite for bidding.
- Distribute the bid document: Share the bid construction project form with selected contractors, providing them with clear instructions on submission.
- Evaluate submissions: Review the bids received, comparing costs, timelines, and qualifications to make an informed decision.
- Communicate with bidders: Engage with contractors for any clarifications or negotiations before finalizing the selection.
Examples of Using the Bid Construction Project
There are various scenarios where a bid construction project form is utilized:
- Residential Construction: Homeowners seeking to build or renovate their homes often request bids from contractors.
- Commercial Projects: Businesses looking to expand or renovate commercial spaces typically use bid documents to secure competitive pricing.
- Public Works: Government agencies may issue bid construction projects for infrastructure development, requiring compliance with specific regulations.
Quick guide on how to complete bid construction project
Complete bid construction project effortlessly on any device
Digital document management has gained traction among businesses and individuals alike. It offers an ideal eco-friendly alternative to traditional printed and signed papers, allowing you to access the necessary form and securely store it online. airSlate SignNow equips you with all the essentials to create, edit, and electronically sign your documents quickly and without interruptions. Handle bid construction project on any platform using airSlate SignNow's Android or iOS applications and simplify any document-related task today.
The easiest way to modify and eSign bid construction project seamlessly
- Locate bid construction project and click Get Form to begin.
- Utilize the tools we provide to complete your form.
- Emphasize signNow sections of the documents or redact sensitive information with tools that airSlate SignNow offers specifically for that purpose.
- Create your signature using the Sign tool, which takes mere seconds and holds the same legal validity as a traditional wet ink signature.
- Review all details and click the Done button to save your modifications.
- Choose how you want to send your form, whether by email, text message (SMS), or invite link, or download it to your computer.
Eliminate worries about lost or misplaced files, tedious form searching, or mistakes that require printing new document copies. airSlate SignNow meets all your document management needs with just a few clicks from any device you prefer. Modify and eSign bid construction project and guarantee outstanding communication at every step of your form preparation process with airSlate SignNow.
Create this form in 5 minutes or less
Related searches to bid construction project
Create this form in 5 minutes!
People also ask bid construction project
-
What is the importance of eSigning documents for a bid construction project?
eSigning documents for a bid construction project streamlines the process of obtaining signatures, ensuring faster turnaround times. It reduces paperwork and the chances of errors, making the bidding process more efficient. Additionally, it provides a secure way to handle sensitive information related to construction bids.
-
How can airSlate SignNow help manage documents for a bid construction project?
airSlate SignNow simplifies document management for a bid construction project by allowing users to electronically sign, store, and share crucial documents. With its intuitive interface, teams can collaborate seamlessly, ensuring that all necessary documents are in order before submission. This minimizes delay and boosts productivity.
-
What pricing options are available for using airSlate SignNow in a bid construction project?
airSlate SignNow offers several pricing plans tailored to different needs, making it affordable for businesses handling a bid construction project. You can choose between monthly or annual subscriptions, with features scaling according to the plan selected. This allows businesses of all sizes to find a suitable option that fits their budget.
-
Can airSlate SignNow integrate with other tools for a bid construction project?
Yes, airSlate SignNow provides integrations with various tools and platforms commonly used in construction, enhancing the workflow for a bid construction project. You can easily connect it with project management software, CRM systems, and more to ensure all tools work in harmony. This integration improves efficiency and can signNowly streamline processes.
-
What benefits does airSlate SignNow provide for teams working on a bid construction project?
Using airSlate SignNow for a bid construction project offers numerous benefits, including increased speed in contract signings and improved document tracking. Teams can save time by eliminating manual processes, which allows them to focus more on critical tasks. The solution also enhances collaboration, as multiple team members can work on documents simultaneously.
-
Is airSlate SignNow secure for handling documents for a bid construction project?
Absolutely, airSlate SignNow prioritizes security to protect documents related to your bid construction project. It employs industry-standard encryption and compliance measures to ensure that all data remains confidential and secure. Users can confidently manage sensitive information, knowing it is well-protected.
-
How easy is it to set up airSlate SignNow for a bid construction project?
Setting up airSlate SignNow for a bid construction project is quick and straightforward. Users can create an account in just a few minutes and start uploading documents immediately. The user-friendly interface and guided onboarding make it easy for teams of all technical levels to get acclimated quickly.
Get more for bid construction project
Find out other bid construction project
- How Can I Sign California Insurance Business Letter Template
- Help Me With Sign California Insurance Business Letter Template
- Can I Sign California Insurance Business Letter Template
- Sign High Tech Presentation South Carolina Online
- Sign High Tech Presentation South Carolina Computer
- Sign California Insurance Confidentiality Agreement Online
- Sign California Insurance LLC Operating Agreement Online
- Sign California Insurance Confidentiality Agreement Computer
- Sign California Insurance LLC Operating Agreement Computer
- Sign California Insurance LLC Operating Agreement Mobile
- Sign High Tech Presentation South Carolina Mobile
- Sign California Insurance LLC Operating Agreement Now
- Sign California Insurance LLC Operating Agreement Later
- Sign California Insurance Confidentiality Agreement Mobile
- Sign California Insurance LLC Operating Agreement Myself
- Sign California Insurance LLC Operating Agreement Free
- Sign High Tech Presentation South Carolina Now
- Sign California Insurance Confidentiality Agreement Now
- Sign California Insurance LLC Operating Agreement Secure
- Sign California Insurance LLC Operating Agreement Fast