
Petition Notice Form


What is the Petition Notice?
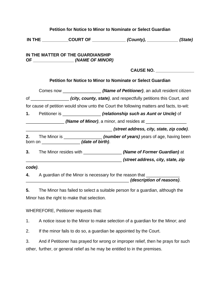
The petition notice is a legal document that serves as a formal request to a court regarding matters involving minors. This document is essential when seeking permission for actions such as appointing a guardian or authorizing a minor to marry. It outlines the specifics of the request and provides necessary details about the minor and the petitioner. Understanding the petition notice is crucial for ensuring that all legal requirements are met and that the rights of the minor are protected throughout the process.
Key Elements of the Petition Notice
A petition notice typically includes several key elements that must be clearly articulated. These elements often consist of:
- Petitioner Information: Details about the individual submitting the petition, including name, address, and relationship to the minor.
- Minor Information: The name, date of birth, and any relevant identification details of the minor involved.
- Purpose of the Petition: A clear statement outlining the reason for the petition, such as a request for guardianship or permission for marriage.
- Supporting Documentation: Any additional documents that support the petition, such as consent forms or affidavits.
Including these elements ensures that the petition is comprehensive and meets the requirements set forth by the court.
Steps to Complete the Petition Notice
Completing a petition notice involves several important steps to ensure accuracy and compliance with legal standards. Here are the general steps to follow:
- Gather Required Information: Collect all necessary details about the minor and the petitioner.
- Complete the Form: Fill out the petition notice form accurately, ensuring all sections are completed.
- Attach Supporting Documents: Include any necessary documentation that supports the petition.
- Review for Accuracy: Check the entire document for errors or omissions before submission.
- File the Petition: Submit the completed petition notice to the appropriate court, either online or in person.
Following these steps helps to streamline the process and increases the likelihood of a favorable outcome.
Legal Use of the Petition Notice
The legal use of a petition notice is governed by state laws and regulations. It is essential to understand the legal implications of submitting this document. A properly executed petition notice can lead to court approval for various requests concerning minors, such as:
- Appointment of a guardian for a minor.
- Authorization for a minor to marry.
- Issuance of a passport for a minor.
Ensuring compliance with legal standards is vital to protect the rights of the minor and uphold the integrity of the legal process.
How to Obtain the Petition Notice
Obtaining a petition notice typically involves accessing the appropriate legal forms from state or local court websites. Many jurisdictions provide downloadable forms that can be filled out electronically or printed for manual completion. Additionally, legal aid organizations may offer assistance in obtaining and completing the necessary documents. It is important to ensure that the correct version of the petition notice is used, as requirements may vary by state.
State-Specific Rules for the Petition Notice
Each state has its own rules and regulations regarding the petition notice, which can affect the filing process and requirements. It is essential to familiarize yourself with the specific laws in your state, as they may dictate:
- The format and content required for the petition notice.
- Filing fees and deadlines.
- Notification requirements to other parties, such as parents or guardians.
Consulting with a legal professional or the local court can provide clarity on these state-specific rules to ensure compliance.
Quick guide on how to complete petition notice sample
Easily Prepare petition notice sample on Any Device
Online document management has become increasingly popular among businesses and individuals. It provides an ideal eco-friendly substitute for traditional printed and signed documents, allowing you to obtain the correct form and securely store it online. airSlate SignNow provides you with all the necessary tools to swiftly create, modify, and eSign your documents without delays. Manage petition notice minor on any platform with the airSlate SignNow apps for Android or iOS, and streamline any document-related process today.
How to Modify and eSign petition notice get Effortlessly
- Locate petition notice make and click Get Form to begin.
- Utilize the tools we provide to fill out your form.
- Emphasize important sections of your documents or obscure confidential information with tools specifically designed for that purpose by airSlate SignNow.
- Create your eSignature using the Sign feature, which takes mere seconds and holds the same legal authority as a traditional handwritten signature.
- Verify all details and then click the Done button to save your modifications.
- Choose your preferred method to deliver your form, whether by email, SMS, invitation link, or download it to your computer.
Eliminate the hassle of lost or misplaced files, tedious form searching, or errors that require new document printouts. airSlate SignNow addresses all your document management needs in just a few clicks from any device you prefer. Modify and eSign petition guardian form and ensure effective communication at every step of the form preparation process with airSlate SignNow.
Create this form in 5 minutes or less
Related searches to notice minor guardian
Create this form in 5 minutes!
People also ask petition minor form
-
What is a petition notice minor?
A petition notice minor is a legal document used to notify relevant parties about issues concerning minors, often related to custody or guardianship. Understanding its specifics helps ensure compliance with local laws and regulations. Utilizing tools like airSlate SignNow aids in creating and managing these documents efficiently.
-
How does airSlate SignNow support petition notice minor creation?
airSlate SignNow provides an intuitive platform for drafting and eSigning petition notice minors quickly. Its template library includes customizable forms that meet legal requirements, ensuring that users can create accurate and compliant documents effortlessly.
-
Is there a cost associated with using airSlate SignNow for a petition notice minor?
Yes, airSlate SignNow offers various pricing plans, each tailored to different needs. Users can choose a plan that best suits their requirements for creating petition notice minors while benefiting from competitive pricing and valuable features.
-
What are the key features of airSlate SignNow for handling petition notice minors?
Key features include document templates, secure eSigning, and real-time tracking of document status. These tools streamline the petition notice minor process, making it simple to manage and share vital documents with relevant parties.
-
Can I integrate airSlate SignNow with other applications for managing petition notice minors?
Absolutely! airSlate SignNow seamlessly integrates with various applications like Google Drive, Dropbox, and CRM systems. This ensures that your petition notice minor documents can be managed efficiently alongside other organizational tools.
-
What benefits does eSigning provide for petition notice minors?
eSigning offers convenience and security when handling petition notice minors. It eliminates the need for physical signatures and enhances the document's legitimacy, ensuring that all parties have an authenticated record of their agreement.
-
How can airSlate SignNow help ensure compliance for petition notice minors?
airSlate SignNow includes features designed to maintain compliance with legal standards. By providing customizable templates and secure storage options, it ensures that your petition notice minor meets all necessary regulations while protecting sensitive information.
Get more for minor nominate
- Pwd beep card form
- Mean median mode range and quartiles worksheet form
- Bank of baroda fatca form
- Doc scientia grade 11 physics answer book pdf download form
- Ar form
- Daycare physical form
- Iskcon disciple course questions and answers pdf form
- Certificate of legal capacity to contract marriage form philippines
Find out other petition minor guardian
- Electronic signature Maryland Life Sciences Permission Slip Later
- Electronic signature Tennessee Non-Profit Business Associate Agreement Later
- How Do I Electronic signature Maryland Life Sciences Permission Slip
- Help Me With Electronic signature Maryland Life Sciences Permission Slip
- How Can I Electronic signature Maryland Life Sciences Permission Slip
- Electronic signature Maryland Life Sciences Permission Slip Myself
- Can I Electronic signature Maryland Life Sciences Permission Slip
- Electronic signature Tennessee Non-Profit Business Associate Agreement Myself
- Electronic signature Maryland Life Sciences Permission Slip Free
- Electronic signature Tennessee Non-Profit Limited Power Of Attorney Online
- Electronic signature Maryland Life Sciences Permission Slip Secure
- Electronic signature Tennessee Non-Profit Business Associate Agreement Free
- Electronic signature Tennessee Non-Profit Limited Power Of Attorney Computer
- Electronic signature Tennessee Non-Profit Limited Power Of Attorney Mobile
- Electronic signature Tennessee Non-Profit Limited Power Of Attorney Now
- Electronic signature Maryland Life Sciences Permission Slip Fast
- Electronic signature Tennessee Non-Profit Business Associate Agreement Secure
- Electronic signature Tennessee Non-Profit Limited Power Of Attorney Later
- Electronic signature Tennessee Non-Profit Limited Power Of Attorney Myself
- Electronic signature Maryland Life Sciences Permission Slip Simple