
Poa Trust Form


What is the POA Trust
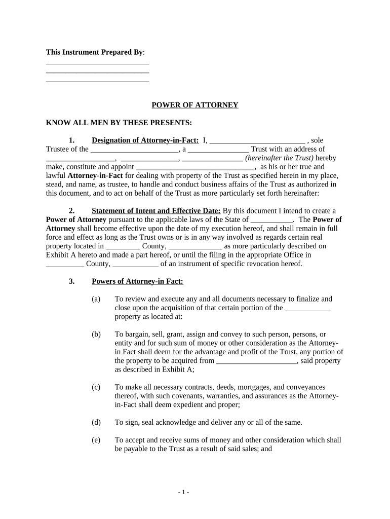
A Power of Attorney (POA) Trust is a legal document that allows an individual, known as the principal, to designate another person, referred to as the agent or trustee, to manage their financial affairs and make decisions on their behalf. This arrangement is particularly useful for those who may become incapacitated or unable to handle their own affairs due to illness or other circumstances. The POA Trust can encompass various aspects of the principal's financial life, including property management, banking, and investments.
How to Use the POA Trust
Using a POA Trust involves several steps to ensure that the designated agent can effectively manage the principal's affairs. First, the principal must clearly outline the powers granted to the agent within the trust document. These powers can be broad or limited, depending on the principal's preferences. Once the document is completed and signed, it should be shared with relevant financial institutions and healthcare providers to ensure that the agent can act on behalf of the principal when necessary.
Steps to Complete the POA Trust
Completing a POA Trust involves several key steps:
- Determine the type of POA: Decide whether a general or limited power of attorney is needed.
- Select a trustworthy agent: Choose someone who is reliable and understands your wishes.
- Draft the document: Include specific powers and limitations in the trust.
- Sign the document: Ensure that all required signatures are obtained, often in the presence of a notary.
- Distribute copies: Provide copies to the agent and relevant institutions.
Legal Use of the POA Trust
The legal use of a POA Trust is governed by state laws, which can vary significantly. In general, the document must comply with the requirements set forth by the state in which it is executed. This typically includes proper witnessing and notarization. Additionally, the powers granted must be clearly defined to avoid any ambiguity. It is advisable to consult with a legal professional to ensure that the POA Trust meets all legal standards and effectively protects the principal's interests.
Key Elements of the POA Trust
Several key elements are essential to a POA Trust:
- Principal: The individual granting the power.
- Agent: The person designated to act on behalf of the principal.
- Powers granted: Specific authorities given to the agent, such as managing finances or making healthcare decisions.
- Duration: The time frame during which the powers are effective, whether it is until revoked or for a specified period.
- Revocation clause: A statement indicating how the principal can revoke the powers granted.
State-Specific Rules for the POA Trust
Each state has its own rules and regulations regarding POA Trusts. These can include requirements for notarization, witness signatures, and specific language that must be included in the document. It is crucial for individuals to familiarize themselves with their state’s laws to ensure that their POA Trust is valid and enforceable. Consulting with a legal expert in estate planning can provide valuable guidance tailored to individual circumstances.
Quick guide on how to complete poa trust
Prepare poa trust effortlessly on any device
Digital document management has gained traction among organizations and individuals. It offers an ideal environmentally friendly alternative to traditional printed and signed paperwork, allowing you to obtain the necessary form and safely secure it online. airSlate SignNow provides you with all the resources you need to create, modify, and electronically sign your documents quickly without delays. Manage poa trust on any device using airSlate SignNow mobile applications for Android or iOS and enhance any document-related process today.
The easiest way to modify and electronically sign power trustee effortlessly
- Locate poa trust and click on Get Form to begin.
- Utilize the tools we offer to fill in your form.
- Emphasize pertinent sections of your documents or obscure sensitive information with tools specifically designed for that purpose by airSlate SignNow.
- Generate your eSignature using the Sign tool, which takes just seconds and carries the same legal validity as a conventional handwritten signature.
- Review all the details and click on the Done button to preserve your updates.
- Select your delivery method for the form, whether by email, text message (SMS), or invitation link, or download it to your computer.
Eliminate concerns about lost or misplaced files, tedious form searches, or errors that necessitate printing new document copies. airSlate SignNow fulfills your document management needs in just a few clicks from any device you choose. Modify and electronically sign power trustee and guarantee outstanding communication at every stage of your form preparation process with airSlate SignNow.
Create this form in 5 minutes or less
Related searches to poa trust
Create this form in 5 minutes!
People also ask power trustee
-
What is a POA trust and how does it work?
A POA trust, or Power of Attorney trust, allows you to designate a trusted individual to manage your assets and make decisions on your behalf. This arrangement typically provides peace of mind for you and your beneficiaries, ensuring that your affairs are handled according to your wishes. Utilizing airSlate SignNow, you can easily create, sign, and manage documents related to your POA trust in a secure manner.
-
What are the benefits of using airSlate SignNow for a POA trust?
Using airSlate SignNow for your POA trust streamlines document management, making it simple to send, sign, and store important paperwork. The platform's user-friendly interface ensures that both you and your designated agents can navigate the process easily. Additionally, airSlate SignNow offers robust security features to keep your POA trust documents safe and compliant.
-
How much does it cost to create a POA trust with airSlate SignNow?
airSlate SignNow offers competitive pricing plans that provide great value for creating and managing a POA trust. With various subscription levels, you can choose a plan that fits your needs and budget. This cost-effective solution also reduces traditional document processing expenses, allowing you to allocate resources elsewhere in your estate planning.
-
Can I integrate airSlate SignNow with other tools for managing my POA trust?
Yes, airSlate SignNow seamlessly integrates with a variety of platforms such as Google Drive, Dropbox, and various CRM systems. This flexibility makes it easy to manage your POA trust documents alongside other important digital assets. These integrations enhance efficiency, allowing you to access and share your POA trust documents wherever you need them.
-
Is it legal to use electronic signatures for a POA trust?
Yes, electronic signatures are legally recognized for POA trust documents in many jurisdictions, provided they comply with local laws. airSlate SignNow ensures that your eSignatures meet the necessary legal standards, providing confidence in the validity of your POA trust documentation. Always verify the specific regulations applicable in your state or country.
-
What features does airSlate SignNow offer for managing a POA trust?
airSlate SignNow provides numerous features tailored to managing a POA trust, including document templates, secure storage, and real-time tracking of document status. You can also automate reminders for signing and alerts for document updates. These features help ensure smooth management of your POA trust, reducing the risk of delays or oversights.
-
How can I ensure my POA trust documents are secure?
Security is a top priority with airSlate SignNow, which utilizes encryption and secure cloud storage to protect your POA trust documents. Additionally, the platform offers multi-factor authentication and user permissions to control access. This comprehensive security strategy provides peace of mind, knowing your sensitive information is well protected.
Get more for poa trust
Find out other power trustee
- How Can I Sign Rhode Island Healthcare / Medical PDF
- How Do I Sign Rhode Island Healthcare / Medical PDF
- Can I Sign Rhode Island Healthcare / Medical PDF
- Help Me With Sign Rhode Island Healthcare / Medical PDF
- How To Sign Rhode Island Healthcare / Medical PDF
- How Do I Sign Rhode Island Healthcare / Medical PDF
- Help Me With Sign Rhode Island Healthcare / Medical PDF
- How Can I Sign Rhode Island Healthcare / Medical PDF
- How Can I Sign Rhode Island Healthcare / Medical PDF
- How To Sign Rhode Island Healthcare / Medical PDF
- Can I Sign Rhode Island Healthcare / Medical PDF
- How Do I Sign Rhode Island Healthcare / Medical PDF
- Can I Sign Rhode Island Healthcare / Medical PDF
- How To Sign Rhode Island Healthcare / Medical PDF
- Help Me With Sign Rhode Island Healthcare / Medical PDF
- How Do I Sign Rhode Island Healthcare / Medical PDF
- Help Me With Sign Rhode Island Healthcare / Medical PDF
- How Can I Sign Rhode Island Healthcare / Medical PDF
- How Can I Sign Rhode Island Healthcare / Medical PDF
- Can I Sign Rhode Island Healthcare / Medical PDF