
Order on Petition Objecting to Transfer of Protective Placement Wisconsin Form


What is the Order On Petition Objecting To Transfer Of Protective Placement Wisconsin
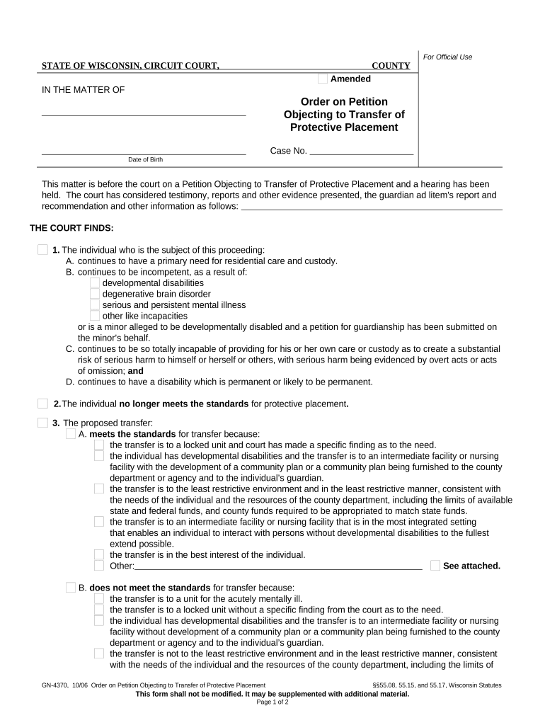
The Order On Petition Objecting To Transfer Of Protective Placement in Wisconsin is a legal document used when an individual or entity wishes to contest the transfer of a protective placement. This form is essential for ensuring that the rights and preferences of the individual under protective placement are respected. It serves as a formal request to the court to review and potentially deny the proposed transfer, safeguarding the interests of the person involved.
How to use the Order On Petition Objecting To Transfer Of Protective Placement Wisconsin
Using the Order On Petition Objecting To Transfer Of Protective Placement involves several steps. First, the petitioner must complete the form accurately, providing all necessary details regarding the individual affected by the proposed transfer. Once filled out, the form must be filed with the appropriate court. It is important to ensure that all required signatures are included, as this legitimizes the document. Following submission, the petitioner may need to attend a court hearing where they can present their objections and any supporting evidence.
Steps to complete the Order On Petition Objecting To Transfer Of Protective Placement Wisconsin
Completing the Order On Petition Objecting To Transfer Of Protective Placement requires careful attention to detail. Here are the steps to follow:
- Obtain the form from the appropriate legal source or court website.
- Fill in the petitioner’s information, including name, address, and contact details.
- Provide information about the individual under protective placement, including their current placement details.
- Clearly state the reasons for objecting to the transfer, including any relevant facts or evidence.
- Sign the form and date it to validate the submission.
- File the completed form with the court, ensuring you keep a copy for your records.
Legal use of the Order On Petition Objecting To Transfer Of Protective Placement Wisconsin
The legal use of the Order On Petition Objecting To Transfer Of Protective Placement is crucial in maintaining the rights of individuals under protective care. This form is recognized by Wisconsin courts and must comply with state laws governing protective placements. Its proper use ensures that any objections raised are formally acknowledged and considered during legal proceedings, allowing for a fair review of the situation.
Key elements of the Order On Petition Objecting To Transfer Of Protective Placement Wisconsin
Key elements of the Order On Petition Objecting To Transfer Of Protective Placement include:
- Petitioner’s details: Name, address, and relationship to the individual under protective placement.
- Information about the individual: Current placement, background, and any relevant medical or legal circumstances.
- Reasons for objection: A clear and concise explanation of why the transfer is being contested.
- Supporting evidence: Any documents or testimonies that reinforce the objection.
- Signature and date: Essential for validating the petition.
State-specific rules for the Order On Petition Objecting To Transfer Of Protective Placement Wisconsin
Wisconsin has specific rules governing the use of the Order On Petition Objecting To Transfer Of Protective Placement. These include deadlines for filing objections, requirements for serving notice to involved parties, and protocols for court hearings. Familiarity with these rules is essential for ensuring compliance and the successful presentation of objections in court. It is advisable to consult legal resources or an attorney for guidance specific to individual circumstances.
Quick guide on how to complete order on petition objecting to transfer of protective placement wisconsin
Complete [SKS] effortlessly on any device
Online document management has become increasingly popular among businesses and individuals. It serves as an ideal eco-friendly alternative to conventional printed and signed documents, as you can access the appropriate form and securely store it online. airSlate SignNow provides you with all the tools necessary to create, modify, and electronically sign your documents swiftly without delays. Manage [SKS] on any device with airSlate SignNow Android or iOS applications and enhance any document-based workflow today.
How to modify and eSign [SKS] with ease
- Find [SKS] and then click Get Form to begin.
- Utilize the tools we offer to fill out your document.
- Emphasize relevant sections of your documents or obscure sensitive information with tools that airSlate SignNow provides specifically for that purpose.
- Create your signature with the Sign feature, which takes seconds and carries the same legal validity as a conventional wet ink signature.
- Review all the details and then click on the Done button to save your changes.
- Choose how you would like to send your form, via email, SMS, or invitation link, or download it to your computer.
Eliminate concerns about missing or lost files, tedious form searching, or errors that necessitate printing new copies of documents. airSlate SignNow meets your document management needs in just a few clicks from any device you prefer. Modify and eSign [SKS] and ensure outstanding communication at any stage of the form preparation process with airSlate SignNow.
Create this form in 5 minutes or less
Related searches to Order On Petition Objecting To Transfer Of Protective Placement Wisconsin
Create this form in 5 minutes!
People also ask
-
What is the 'Order On Petition Objecting To Transfer Of Protective Placement Wisconsin'?
The 'Order On Petition Objecting To Transfer Of Protective Placement Wisconsin' is a legal document that allows individuals to contest the transfer of a protective placement. This document is crucial for those wishing to maintain the current care arrangements for someone under protective placement and can be facilitated easily through digital solutions like airSlate SignNow.
-
How does airSlate SignNow help with preparing an 'Order On Petition Objecting To Transfer Of Protective Placement Wisconsin'?
AirSlate SignNow provides a user-friendly platform to easily create and customize your 'Order On Petition Objecting To Transfer Of Protective Placement Wisconsin'. With our templates and eSignature capabilities, you can streamline the process, ensuring all legal requirements are met efficiently.
-
What are the costs associated with using airSlate SignNow for my legal documents?
AirSlate SignNow offers flexible pricing plans tailored for both individuals and businesses. With our solution, you can generate and sign documents like the 'Order On Petition Objecting To Transfer Of Protective Placement Wisconsin' at a cost-effective rate, ensuring you get the best value for your legal documentation needs.
-
Is airSlate SignNow secure for handling sensitive legal documents?
Yes, airSlate SignNow prioritizes security and compliance. Our platform utilizes advanced encryption technologies to protect sensitive information, ensuring that your 'Order On Petition Objecting To Transfer Of Protective Placement Wisconsin' and other legal documents are safe throughout the entire eSigning process.
-
Can I integrate airSlate SignNow with other software I use for legal documentation?
Absolutely! AirSlate SignNow offers seamless integration with various third-party applications, enhancing your workflow. Whether you are utilizing document management systems or CRM software, you can easily incorporate the 'Order On Petition Objecting To Transfer Of Protective Placement Wisconsin' into your existing processes.
-
What features does airSlate SignNow offer for managing legal documents?
AirSlate SignNow includes a wide array of features designed for efficient document management, including customizable templates, automated workflows, and real-time tracking. These features make managing documents like the 'Order On Petition Objecting To Transfer Of Protective Placement Wisconsin' simple and hassle-free.
-
How quickly can I complete an 'Order On Petition Objecting To Transfer Of Protective Placement Wisconsin' with airSlate SignNow?
With airSlate SignNow, you can complete your 'Order On Petition Objecting To Transfer Of Protective Placement Wisconsin' in a matter of minutes. Our streamlined process allows you to create, send, and eSign documents quickly, ensuring that you meet your legal deadlines efficiently.
Get more for Order On Petition Objecting To Transfer Of Protective Placement Wisconsin
- Tifico fiber indonesia annual report form
- Override request form the registrar truman state university registrar truman
- Ptabooster fundraising permission request leander isd form
- Aocef form
- Nc form 2a13 t
- Color the parts of the microscope answer key form
- Pulley gizmo answer key pdf form
- Getyoubucks form
Find out other Order On Petition Objecting To Transfer Of Protective Placement Wisconsin
- eSign Idaho Legal Medical History Simple
- eSign Idaho Legal Medical History Easy
- eSign Idaho Legal Medical History Safe
- How Can I eSign Pennsylvania Insurance Letter Of Intent
- How To eSign Idaho Legal Medical History
- eSign Idaho Legal Credit Memo Online
- How Do I eSign Idaho Legal Medical History
- Can I eSign Pennsylvania Insurance Letter Of Intent
- eSign Idaho Legal Credit Memo Mobile
- eSign Idaho Legal Credit Memo Computer
- Help Me With eSign Idaho Legal Medical History
- eSign Idaho Legal Credit Memo Later
- eSign Idaho Legal Credit Memo Now
- How Can I eSign Idaho Legal Medical History
- eSign Idaho Legal Credit Memo Myself
- eSign Idaho Legal Credit Memo Free
- Can I eSign Idaho Legal Medical History
- eSign Idaho Legal Credit Memo Fast
- eSign Idaho Legal Credit Memo Secure
- eSign Idaho Legal Credit Memo Simple