
FAR Bar Condominium Rider Future Home Realty Form


What is the FAR Bar Condominium Rider?
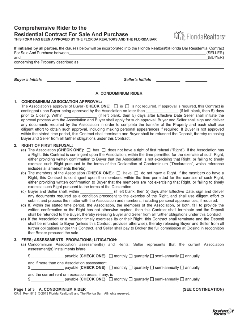
The FAR Bar Condominium Rider is a legal document used in Florida real estate transactions. It serves as an addendum to the standard purchase contract, specifically tailored for condominium properties. This rider addresses unique aspects of condominium ownership, such as association rules, fees, and disclosures that are essential for potential buyers to understand. By including this rider, both buyers and sellers can ensure that all necessary information regarding the condominium is clearly outlined and agreed upon in the contract.
Key Elements of the FAR Bar Condominium Rider
The FAR Bar Condominium Rider includes several critical components that must be addressed in any condominium transaction. These elements typically cover:
- Association Information: Details about the condominium association, including contact information and management structure.
- Fees and Assessments: Information on any regular or special assessments that may affect the buyer's financial obligations.
- Rules and Regulations: A summary of the condominium's governing documents, including rules that residents must follow.
- Disclosure Requirements: Any material facts about the property that the seller must disclose to the buyer.
Steps to Complete the FAR Bar Condominium Rider
Completing the FAR Bar Condominium Rider involves a series of straightforward steps to ensure accuracy and compliance. Here is a general outline of the process:
- Obtain the Rider: Acquire the most current version of the FAR Bar Condominium Rider, which can typically be found through real estate associations or legal resources.
- Fill in Property Details: Enter the specific details of the condominium property, including the address and unit number.
- Include Association Information: Provide relevant information about the condominium association, including contact details and any applicable fees.
- Review Rules and Regulations: Ensure that all rules and regulations are accurately represented, and that both parties understand their obligations.
- Sign and Date: Both the buyer and seller must sign and date the rider to make it a binding part of the contract.
Legal Use of the FAR Bar Condominium Rider
The FAR Bar Condominium Rider is legally binding when properly executed. It must be included in the purchase contract to ensure that both parties acknowledge and agree to the terms outlined. Compliance with state laws and regulations is essential, as failure to adhere to these legal requirements could result in disputes or the unenforceability of the contract. Utilizing an electronic signature platform can simplify this process while ensuring that all legal standards are met.
How to Use the FAR Bar Condominium Rider
Using the FAR Bar Condominium Rider effectively involves integrating it into the overall purchase agreement for a condominium. It should be attached to the main contract and referenced appropriately. Both parties should review the rider carefully to ensure that all terms are understood. This rider not only protects the buyer by providing critical information but also protects the seller by clarifying their obligations regarding disclosures and association rules.
Examples of Using the FAR Bar Condominium Rider
Examples of when to use the FAR Bar Condominium Rider include:
- When purchasing a unit in a condominium complex that has specific rules and regulations.
- In transactions where the buyer needs to understand potential financial obligations related to association fees.
- When there are disclosures required by the condominium association that must be acknowledged by the buyer.
Quick guide on how to complete condo rider florida
Complete condo rider florida effortlessly on any device
Digital document management has gained traction among businesses and individuals. It serves as an ideal eco-conscious alternative to conventional printed and signed documents, allowing you to obtain the necessary form and securely store it online. airSlate SignNow provides all the tools you require to create, modify, and eSign your documents quickly and without delays. Manage condo rider to contract on any platform with airSlate SignNow Android or iOS applications and enhance any document-focused process today.
How to alter and eSign condo rider with ease
- Locate condo rider example and select Get Form to begin.
- Utilize the tools we offer to fill out your form.
- Emphasize important sections of your documents or obscure sensitive information with tools that airSlate SignNow provides specifically for this purpose.
- Create your eSignature using the Sign tool, which takes mere seconds and holds the same legal validity as a conventional wet ink signature.
- Review all the details and click on the Done button to save your modifications.
- Choose how you would like to share your form, via email, SMS, invite link, or download it to your computer.
Eliminate worries about lost or misplaced documents, tedious form searching, or mistakes that require reprinting new document copies. airSlate SignNow meets all your document management needs with just a few clicks from a device of your choice. Modify and eSign condo rider farbar and ensure excellent communication at any point in the form preparation journey with airSlate SignNow.
Create this form in 5 minutes or less
FAQs condo rider pdf
-
How likely are you to win a car from filling out a form at a mall? Who drives the new car home? What are your chances to win another car again?
I am going to get pretty literal here. Please forgive meHow likely are you to win a car from filling out a form at a mall? In the US, at least, this is usually spelled out somewhere on the form or on a website listed on the form. If it is not, you could ask (and may or may not get a truthful answer). If none of this works, you could probably be able to guess using a few factors: * How many people take the time to stop and enter (what percentage of passers-by, multiplied by amount of typical or expected foot-traffic)?* Are multiple entries allowed? * How long will entries be accepted before the drawing? As a rule of thumb, if the odds aren’t stated (and usually, even if they are) the odds are probably staggering. If you multiply the amount of time it takes to fill out the form by the amount of forms you would have to fill-out before you had an even 1% chance of winning the car, you would likely do better using that time to get a second job. Oh, and lastly, realize that the reason they are enticing you with the chance to win a car is that they are collecting your personal information on the form. It usually is quite a cheap way to generate a LOT of personal data, add you to mailing/dialing lists, etc. They folks running the drawing often gather another great bit of psychology about you: person who fills out form likes to enter “something for nothing” type contests (the drawing itself). This can be valuable to advertisers.Who drives the new car home? By definition of “home” the owner (presumably the winner) would drive the car “home”. If the car is driven to your house by an employee of the company running the lottery, they would just be driving the car to the winners residence…not their “home”.Frankly, I am not sure of what is meant by this question. I would assume that any winner of the drawing would either pick up the vehicle and drive it themselves away from the drawing or other site where the prize was moved to, possibly prepped for delivery tot he winner, or someone would deliver it to the winner’s home by driving it or trucking it there.What are your chances to win another car again? Your chances of winning the next drawing you entered would be EXACTLY the same as they would be had you lost the previous one, as specified in item number one. The odds of winning/losing do not change based on previous outcome. Think about it this way: If I just flipped a coin and it landed on “heads” 50 times in a row, what are the chances that it will be “heads” on the 51st attempt? EXACTLY (assuming there is nothing about the coin or flip that favors one side over the other) 1 in 2 or 50%, just as it was the first flip, just as it will be on the 51st millionth.Now the probability of winning 2 drawings, each with 1 million entries is staggeringly small. But they are two separate events, each governed independently by their own set of probabilities. Landing on heads 51 times in a row or winning 2 cars in consecutive drawings would be matters of remarkable coincidence: respectively 50 1 in 2 or 2 one in a million events happening to share the same outcome.Good luck
-
One of my friends lives far away from my school but he still wants to go to this school. He is using our address. How do we fill out the school form? We don't know what to exactly put on the form, we need massive help. We need to finish this today.
My district has a window of time that allows students to transfer to chosen schools. Almost all transfers are accepted.There is a specific procedure to do this correctly.If the student lives in a different district, they have to officially notify that district that they are planning on going to a neighboring district. Paperwork must be signed by both districts.Please contact all the districts involved. They can help you with the steps.Each year the student must reapply for the transfer. My district only denies transfers when attendance or behavior has been an issue.
-
How do I create forms for MySQL database? I have created a small database in Access and I’m planning to move to MySQL, but I am able to create only tables so far. How do I create forms for users to fill out the tables?
You can't directly. MySQL is the data engine, and has no user interface capabilities.To do this, you must write an application of some kind.You might write a desktop windows app using C# and its UI framework. Or maybe a Java desktop app using JavaFX for the UI and JDBC to connect to MySQLYou might write a web application, and then have a browser based interface.Whatever you do, what gets sent to MySQL will be SQL commands.It's more difficult than access for sure. And you have to consider the effects of multiple users editing the same data at the same time.
-
How can I take my child (16yrs) to the U.S if my immigrant visa is approved? My husband, a US citizen, filled out form I 130 for me and mentioned this child as migrating in future.
Just petition using a I-130 yourself. Read the instructions very carefully. I am not sure but it’s possible that the affidavit of support will need to be filled by your husband since he is the citizen and he filled one for you - again, check the instructions very carefully. It should be a pretty clear, straightforward process.Your child is still well below the age limit and should be fine. If there are any problems, do the same thing you did with your own process - use the numbers you are given to check on the process and if you see it stuck call to make sure they have everything they need early.It is my understanding that the age limit of the child is based on the petition date, so go ahead and do it.You still have plenty of time at 16, just don’t delay.
-
Is it impossible to return to your home state for a job in far future if you decide to grab a job opportunity in another state for couple of years? If you have had success in applying for out of state job, how did you get it?
In the US, there is no penalty for working out-of-state, so no, it is not impossible to take an out-of-state job and return to your state later for employment.In what I worked at , geology, there were essentially no in state (Indiana) jobs. I interviewed after writing companies that needed geologists.
Related searches to as is residential contract for sale and purchase florida 2019 fillable
Create this form in 5 minutes!
How to create an eSignature for the far bar condo rider
How to make an eSignature for the Far Bar Condominium Rider Future Home Realty in the online mode
How to generate an electronic signature for your Far Bar Condominium Rider Future Home Realty in Chrome
How to make an eSignature for putting it on the Far Bar Condominium Rider Future Home Realty in Gmail
How to generate an eSignature for the Far Bar Condominium Rider Future Home Realty straight from your smart phone
How to create an electronic signature for the Far Bar Condominium Rider Future Home Realty on iOS devices
How to generate an electronic signature for the Far Bar Condominium Rider Future Home Realty on Android OS
People also ask far bar contract 2019 pdf
-
What is a condo rider to contract?
A condo rider to contract is an addendum that outlines specific terms and conditions related to the purchase of a condominium. This rider is critical in real estate transactions as it clarifies any restrictions or obligations associated with the condo, ensuring all parties are informed. Using tools like airSlate SignNow, you can easily eSign and manage your condo rider to contract for a seamless experience.
-
How can airSlate SignNow help with my condo rider to contract?
airSlate SignNow offers an intuitive platform for managing and signing your condo rider to contract. Our user-friendly interface allows you to upload documents, add signers, and track progress efficiently. The platform simplifies the entire signing process, making it easier for you and your clients.
-
What features does airSlate SignNow provide for eSigning a condo rider to contract?
airSlate SignNow provides features like customizable templates, real-time tracking, and secure eSignature capabilities specifically tailored for documents like a condo rider to contract. With options for in-person signing and mobile accessibility, you can manage your documents anywhere, anytime, ensuring a convenient signing experience.
-
Is there a cost associated with using airSlate SignNow for my condo rider to contract?
Yes, airSlate SignNow offers various pricing plans designed to fit different needs, including options for individuals and businesses. The pricing structure is transparent, ensuring you know what you're getting for the management and eSigning of your condo rider to contract. Explore our plans to find the right fit for your requirements.
-
Can I integrate airSlate SignNow with other tools for my condo rider to contract?
Absolutely! airSlate SignNow integrates seamlessly with numerous applications such as CRM systems and project management tools. This allows you to incorporate your condo rider to contract into your existing workflows, enhancing productivity and ensuring that all necessary documentation is handled efficiently.
-
What are the benefits of using airSlate SignNow for real estate transactions like a condo rider to contract?
Using airSlate SignNow for your condo rider to contract offers numerous benefits, including faster transaction speeds, reduced paperwork, and enhanced security. Our platform ensures that all signatures are legally binding and allows for instant access to documents, making real estate transactions smoother and more efficient.
-
Is airSlate SignNow compliant with legal standards for eSignatures on a condo rider to contract?
Yes, airSlate SignNow is fully compliant with eSignature laws, including the ESIGN Act and UETA, ensuring that your condo rider to contract is legally binding. This compliance provides peace of mind, knowing that your digital signatures and documents meet all regulatory requirements.
Get more for future home reality
- Alachua county noc form
- Dl 26 form 400818877
- Guaranteerate gift letter form
- Anatomy prefixes and suffixes list form
- Kotak dd form pdf
- Introduction to environmental engineering 5th edition solution manual pdf form
- Event rental form
- Georgia hope scholarship and grant application and georgia lagrange form
Find out other far bar contract preparation manual
- eSign Kentucky Orthodontists NDA Now
- eSign Colorado Plumbing Warranty Deed Myself
- eSign Colorado Plumbing Moving Checklist Simple
- eSign Kentucky Orthodontists NDA Later
- eSign Kentucky Orthodontists NDA Myself
- eSign Kentucky Orthodontists NDA Free
- eSign Colorado Plumbing Moving Checklist Easy
- eSign Colorado Plumbing Warranty Deed Free
- eSign Kentucky Orthodontists NDA Secure
- eSign Kentucky Orthodontists NDA Fast
- eSign Colorado Plumbing Moving Checklist Safe
- eSign Kentucky Orthodontists NDA Simple
- eSign Kentucky Orthodontists NDA Easy
- eSign Colorado Plumbing Warranty Deed Secure
- eSign Kentucky Orthodontists NDA Safe
- eSign Colorado Plumbing Warranty Deed Fast
- How To eSign Kentucky Orthodontists NDA
- How Do I eSign Kentucky Orthodontists NDA
- Help Me With eSign Kentucky Orthodontists NDA
- eSign Colorado Plumbing IOU Online