
State Bar of Wisconsin Form 21 Mortgage


What is the State Bar of Wisconsin Form 21 Mortgage
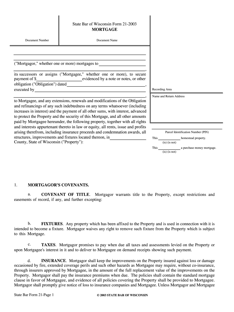
The State Bar of Wisconsin Form 21 is a legal document specifically designed for mortgage transactions in the state of Wisconsin. This form serves as a standardized template that facilitates the process of securing a mortgage, outlining the terms and conditions agreed upon by the lender and the borrower. It is essential for ensuring that all parties involved understand their rights and obligations related to the mortgage agreement.
How to use the State Bar of Wisconsin Form 21 Mortgage
Using the State Bar of Wisconsin Form 21 involves several key steps. First, both the lender and borrower must review the form to ensure all necessary information is included. This includes details about the property, loan amount, interest rate, and repayment terms. Once the form is completed, both parties should sign it to make the agreement legally binding. Utilizing a digital platform can streamline this process, allowing for easy eSigning and secure document storage.
Key elements of the State Bar of Wisconsin Form 21 Mortgage
The State Bar of Wisconsin Form 21 includes several critical elements that must be addressed for the document to be valid. These elements typically include:
- Property Description: A detailed description of the property being mortgaged.
- Loan Amount: The total amount of money being borrowed.
- Interest Rate: The rate at which interest will accrue on the loan.
- Repayment Terms: The schedule and terms for repayment of the loan.
- Signatures: Signatures of both the lender and borrower to validate the agreement.
Steps to complete the State Bar of Wisconsin Form 21 Mortgage
Completing the State Bar of Wisconsin Form 21 involves a systematic approach to ensure accuracy and compliance. Here are the steps to follow:
- Obtain the latest version of the form from a reliable source.
- Fill in the required information, including personal details and property specifics.
- Review the completed form for any errors or omissions.
- Both parties should sign the document, either in person or through a secure digital platform.
- Keep a copy of the signed form for your records.
Legal use of the State Bar of Wisconsin Form 21 Mortgage
The legal use of the State Bar of Wisconsin Form 21 is governed by state laws regarding mortgage agreements. To be legally binding, the form must be completed accurately and signed by both parties. Compliance with relevant regulations, such as the Electronic Signatures in Global and National Commerce (ESIGN) Act, is also necessary when using digital signatures. Ensuring that the form meets all legal requirements protects the rights of both the lender and borrower.
Form Submission Methods
The State Bar of Wisconsin Form 21 can be submitted through various methods, depending on the preferences of the parties involved. Common submission methods include:
- Online Submission: Many platforms allow for electronic submission, which can expedite the process.
- Mail: The completed form can be printed and mailed to the appropriate parties.
- In-Person: The form can be delivered directly to the lender or relevant institution.
Quick guide on how to complete state bar of wisconsin form 21 2003 mortgage
Prepare state bar of wisconsin form 21 2003 mortgage effortlessly on any device
Digital document management has gained traction among businesses and individuals. It offers an ideal eco-friendly substitute for conventional printed and signed paperwork, allowing you to obtain the proper format and securely store it online. airSlate SignNow equips you with all the tools necessary to create, modify, and eSign your documents quickly without delays. Manage wisconsin mortgage form on any platform using airSlate SignNow's Android or iOS applications and streamline any document-related process today.
The simplest way to modify and eSign state bar of wisconsin forms with ease
- Find sconsin state bar form 21 2003 and click Get Form to begin.
- Use the tools we provide to complete your document.
- Highlight pertinent sections of the documents or redact sensitive information with tools specifically designed for that purpose by airSlate SignNow.
- Create your eSignature with the Sign tool, which takes only seconds and carries the same legal validity as a traditional wet ink signature.
- Review all the information and click the Done button to save your changes.
- Select how you wish to send your form: by email, SMS, or invitation link, or download it to your computer.
Eliminate concerns about lost or misplaced files, tedious form searching, or mistakes that require printing new document copies. airSlate SignNow addresses all your document management needs in just a few clicks from any device you prefer. Alter and eSign state bar of wisconsin form 21 and ensure optimal communication at any stage of the form preparation process with airSlate SignNow.
Create this form in 5 minutes or less
FAQs wisconsin state bar form 21 2003 editable
-
Elizabeth Warren filled out a form for the State Bar of Texas claiming Indian heritage. What's your view on this?
My view on this is that this is very common.She had lore of Native blood, and spun it into a self-fabricated identity. She went from self-conceptualizing as part-Native American, to being ostensibly Native American when it suited her notion of identity or when she had to box-check forms.Do you all have any idea how common this is??Ask people that work at school or college admissions or in the Child Welfare spheres.People with no real affiliation, and usually no actual ancestry for that matter, will frequently mark these Native American boxes under race or self-identify as such on various forms.And in some cases, it causes real bureaucratic headaches! You basically have to waste time verifying if this is legitimate Native status or ancestry or if it is “lore”-based rubbish.In the Child Welfare system, state workers and Cherokee Nation employees get bombarded with forms that have to be verified (as to tribal status). Simply because someone under race marked the child as “Native American/Cherokee.”I’ll show you a random thing I just came across today. Here’s a random White dude - in this case a moderately well-known rapper - that is talking about being “Cherokee.”Skip to 1:33.Notice how he talks about this status because there is no cache in being White?“It gave me something more than just ‘Whiteboy.’”That’s very common! In other interviews he says he is half Cherokee, or his dad is Cherokee. But, it’s all about an internalized identity based on lore. He said “Cherokee-Blackfoot” and that is an automatic red flag for bogus lore. No tribal affiliation or verified lineages are at play here.Or, why did Jimi Hendrix say his grandmother was a Cherokee? She wasn’t.Why did Burt Reynolds claim his dad was “half Cherokee?” He wasn’t.See: Sam Morningstar's answer to Did Burt Reynolds want to make a picture about Native Americans comparable to Dances with Wolves but Hollywood wouldn’t fund it?Or, why is there a new documentary of Native Americans in music and they’ve got Link Wray as one of the primary figures being profiled?RUMBLE: The Indians Who Rocked the WorldNotice, even the name of the documentary is taken from a Link Wray song, Rumble.But, did anyone even bother to ask if this dude was actually Native? I mean, he said he was Shawnee. Did he ever say who his Shawnee family was? Well, no. Because, he wasn’t Native. He has no Shawnee ancestors at all.That’s just the modern era we live in, and this lore of Native blood and self-constructed identity is ubiquitous.Long way of saying, Elizabeth Warren is pretty much a standard reflection of this phenomenon. She’s simply putting it out there in the public eye.
-
How to decide my bank name city and state if filling out a form, if the bank is a national bank?
Somewhere on that form should be a blank for routing number and account number. Those are available from your check and/or your bank statements. If you can't find them, call the bank and ask or go by their office for help with the form. As long as those numbers are entered correctly, any error you make in spelling, location or naming should not influence the eventual deposit into your proper account.
-
How can I fill out Google's intern host matching form to optimize my chances of receiving a match?
I was selected for a summer internship 2016.I tried to be very open while filling the preference form: I choose many products as my favorite products and I said I'm open about the team I want to join.I even was very open in the location and start date to get host matching interviews (I negotiated the start date in the interview until both me and my host were happy.) You could ask your recruiter to review your form (there are very cool and could help you a lot since they have a bigger experience).Do a search on the potential team.Before the interviews, try to find smart question that you are going to ask for the potential host (do a search on the team to find nice and deep questions to impress your host). Prepare well your resume.You are very likely not going to get algorithm/data structure questions like in the first round. It's going to be just some friendly chat if you are lucky. If your potential team is working on something like machine learning, expect that they are going to ask you questions about machine learning, courses related to machine learning you have and relevant experience (projects, internship). Of course you have to study that before the interview. Take as long time as you need if you feel rusty. It takes some time to get ready for the host matching (it's less than the technical interview) but it's worth it of course.
-
How do I fill out the form of DU CIC? I couldn't find the link to fill out the form.
Just register on the admission portal and during registration you will get an option for the entrance based course. Just register there. There is no separate form for DU CIC.
-
How would it play out if part of a state tried to secede to form another state of the Union?
Article 4, Section 3 of the Constitution states:New States may be admitted by the Congress into this Union; but no new State shall be formed or erected within the Jurisdiction of any other State; nor any State be formed by the Junction of two or more States, or Parts of States, without the Consent of the Legislatures of the States concerned as well as of the Congress.This is really not feasible without direct assent from the state being separated from. Both Maine and Kentucky split based on the assent of Massachusetts and Virginia under the Constitution.West Virginia was a wartime ploy, an act that held up due to the acceptance as fact that enough representatives of the state of Virginia showed up at the Wheeling Conventions to justify a state legislature. Lincoln and Congress accepted it, and in 1863, West Virginia was accepted as a state separate from Virginia. In peacetime, this arrangement would never have worked.To get the obstinate California legislature to go along with the notion of several of their prosperous counties just leave is just impossible.
Related searches to wisconsin state bar forms
Create this form in 5 minutes!
How to create an eSignature for the warranty deed state bar of wisconsin form 2 2003
How to generate an electronic signature for the State Bar Of Wisconsin Form 21 2003 Mortgage 201714436 in the online mode
How to make an eSignature for your State Bar Of Wisconsin Form 21 2003 Mortgage 201714436 in Chrome
How to create an eSignature for putting it on the State Bar Of Wisconsin Form 21 2003 Mortgage 201714436 in Gmail
How to make an electronic signature for the State Bar Of Wisconsin Form 21 2003 Mortgage 201714436 straight from your mobile device
How to generate an eSignature for the State Bar Of Wisconsin Form 21 2003 Mortgage 201714436 on iOS devices
How to create an eSignature for the State Bar Of Wisconsin Form 21 2003 Mortgage 201714436 on Android
People also ask wisconsin mortgage form
-
What is a Wisconsin mortgage form?
A Wisconsin mortgage form is a legal document used to secure a loan against a property in Wisconsin. It outlines the terms of the mortgage agreement and is essential for both borrowers and lenders. Utilizing airSlate SignNow can streamline the process of completing and eSigning this form.
-
How can airSlate SignNow help with filling out a Wisconsin mortgage form?
airSlate SignNow provides an intuitive platform that simplifies the completion of Wisconsin mortgage forms. You can easily input your information, upload necessary documents, and eSign directly on the platform. This enhances efficiency and ensures compliance with Wisconsin state requirements.
-
Is airSlate SignNow cost-effective for handling Wisconsin mortgage forms?
Yes, airSlate SignNow is a cost-effective solution for managing Wisconsin mortgage forms. With its flexible pricing plans, businesses can choose an option that best suits their needs while saving on traditional paperwork costs. The platform also minimizes delays associated with physical document handling.
-
What features does airSlate SignNow offer for Wisconsin mortgage forms?
airSlate SignNow offers various features including eSigning, document templates, and real-time tracking for Wisconsin mortgage forms. These features ensure that users can manage their documents efficiently and monitor the signing process closely. Additionally, the platform allows for easy collaboration among all parties involved.
-
Are there any integrations available for processing Wisconsin mortgage forms?
Yes, airSlate SignNow offers multiple integrations with popular CRM and document management systems. This allows for a seamless workflow when handling Wisconsin mortgage forms, as users can combine tools they already use. Integration enhances productivity and streamlines operations for mortgage-related tasks.
-
What are the benefits of using airSlate SignNow for Wisconsin mortgage forms?
The primary benefits of using airSlate SignNow for Wisconsin mortgage forms include increased efficiency, reduced paperwork, and enhanced security. By going digital, you can avoid manual errors and speed up the signing process. Furthermore, airSlate SignNow’s security features help protect sensitive information.
-
Can I use airSlate SignNow on mobile devices for Wisconsin mortgage forms?
Absolutely! airSlate SignNow is optimized for mobile use, allowing you to manage Wisconsin mortgage forms on the go. This flexibility enables users to eSign and send documents from any device, improving accessibility and convenience. Whether you're in the office or in the field, you can stay compliant effortlessly.
Get more for state bar of wisconsin forms
Find out other sconsin state bar form 21 2003
- eSign Maryland Insurance Agreement Secure
- eSign Washington Lawers Job Offer Later
- eSign Virginia Lawers NDA Online
- eSign Virginia Lawers NDA Computer
- eSign Washington Lawers Job Offer Myself
- eSign Maryland Insurance Agreement Fast
- eSign Virginia Lawers NDA Mobile
- eSign Virginia Lawers NDA Now
- eSign Virginia Lawers NDA Later
- eSign Washington Lawers Job Offer Free
- eSign Virginia Lawers NDA Myself
- eSign Virginia Lawers NDA Free
- eSign Maryland Insurance Agreement Simple
- eSign Washington Lawers Job Offer Secure
- eSign Virginia Lawers NDA Secure
- eSign Virginia Lawers NDA Fast
- eSign Virginia Lawers NDA Simple
- eSign Washington Lawers Job Offer Fast
- eSign Maryland Insurance Agreement Easy
- eSign Virginia Lawers NDA Easy