
Purchasers Pre Settlement Occupancy Agreement Dulles Area Form


What is the Purchasers Pre Settlement Occupancy Agreement?
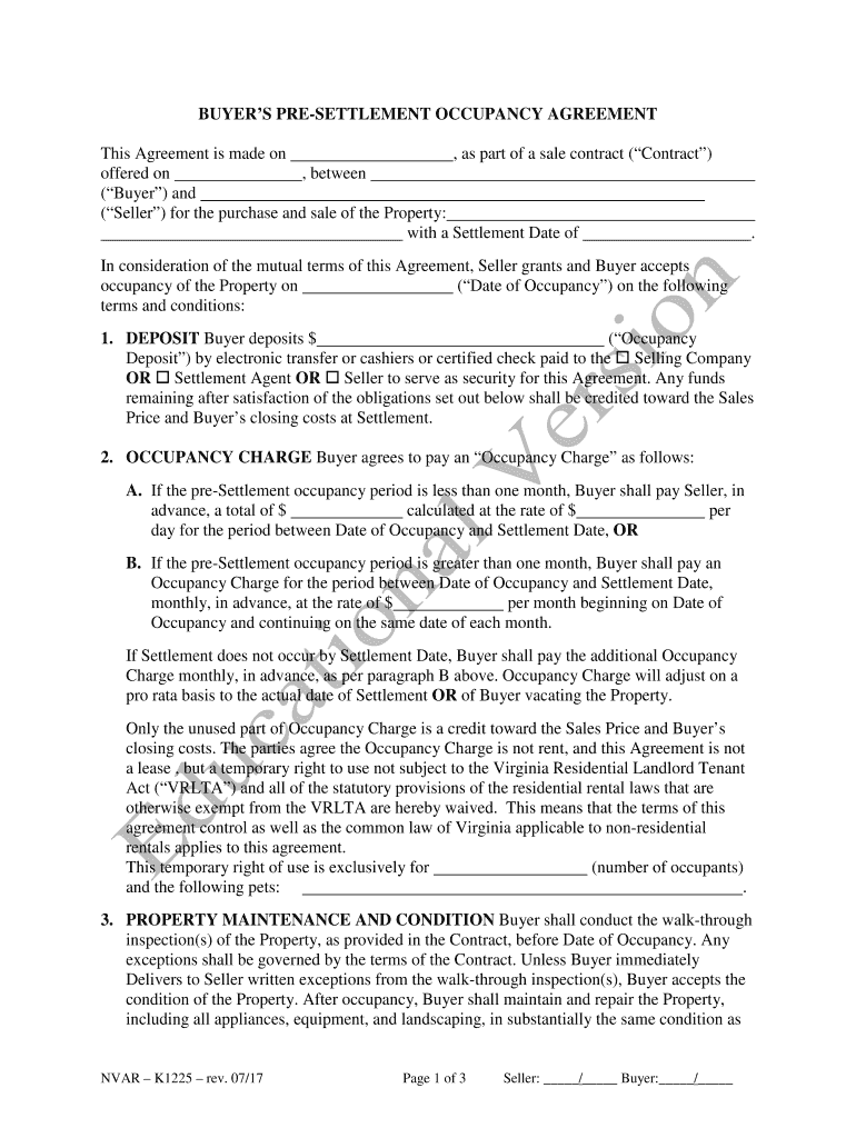
The Purchasers Pre Settlement Occupancy Agreement is a legal document that allows buyers to occupy a property before the formal closing of the sale. This agreement is particularly useful in real estate transactions where the buyer needs to move in prior to the completion of the sale. It outlines the terms and conditions under which the buyer can occupy the property, including the duration of the occupancy, rental payments, and responsibilities for maintenance and utilities.
Key Elements of the Purchasers Pre Settlement Occupancy Agreement
Several key elements are essential in a Purchasers Pre Settlement Occupancy Agreement to ensure clarity and legal compliance. These elements typically include:
- Parties Involved: Clearly identify the buyer and seller.
- Property Description: Provide a detailed description of the property being occupied.
- Occupancy Dates: Specify the start and end dates of the occupancy period.
- Rental Terms: Outline any rental payments required during the occupancy period.
- Responsibilities: Define maintenance, repair obligations, and utility payments.
- Legal Compliance: Ensure that the agreement adheres to local laws and regulations.
Steps to Complete the Purchasers Pre Settlement Occupancy Agreement
Completing the Purchasers Pre Settlement Occupancy Agreement involves several straightforward steps:
- Gather Information: Collect all necessary information regarding the property and parties involved.
- Draft the Agreement: Use a template or draft the agreement, ensuring all key elements are included.
- Review Terms: Both parties should review the terms to ensure mutual understanding and agreement.
- Sign the Document: Utilize an electronic signature tool to sign the agreement securely.
- Distribute Copies: Provide copies of the signed agreement to all parties involved.
Legal Use of the Purchasers Pre Settlement Occupancy Agreement
The legal use of the Purchasers Pre Settlement Occupancy Agreement is crucial for protecting the rights of both buyers and sellers. This document serves as a binding contract that outlines the expectations and obligations of each party. It is important to ensure that the agreement complies with local laws and regulations to avoid potential disputes. The agreement should also include clauses that address what happens in case of breach, thereby providing legal recourse if necessary.
How to Obtain the Purchasers Pre Settlement Occupancy Agreement
Obtaining a Purchasers Pre Settlement Occupancy Agreement can be done through various means. Many real estate professionals provide templates that can be customized to fit specific transactions. Additionally, legal document services offer ready-made agreements that comply with state laws. It is advisable to consult with a real estate attorney to ensure that the agreement meets all legal requirements and adequately protects the interests of both parties.
Examples of Using the Purchasers Pre Settlement Occupancy Agreement
There are several scenarios where a Purchasers Pre Settlement Occupancy Agreement may be beneficial:
- Relocation: A buyer may need to move into a new home before closing due to job relocation.
- Renovations: A buyer may want to start renovations on the property before the official closing date.
- Timing Issues: If the seller needs more time to vacate, this agreement allows the buyer to occupy the property in the interim.
Quick guide on how to complete occupancy agreement
Prepare occupancy agreement effortlessly on any device
Online document management has gained popularity among businesses and individuals. It offers a perfect environmentally friendly alternative to traditional printed and signed documents, allowing you to locate the appropriate form and securely store it online. airSlate SignNow provides you with all the resources necessary to create, alter, and eSign your documents quickly without delays. Manage occupancy agreement on any device using the airSlate SignNow Android or iOS applications and simplify any document-based process today.
How to alter and eSign pre occupancy agreement with ease
- Find pre settlement occupancy and then click Get Form to begin.
- Utilize the tools we provide to submit your document.
- Highlight crucial sections of your documents or obscure sensitive information with tools that airSlate SignNow provides specifically for that purpose.
- Create your signature using the Sign tool, which takes mere seconds and carries the same legal validity as a traditional wet ink signature.
- Review the information and then click on the Done button to save your changes.
- Select how you wish to share your form, by email, text message (SMS), or invitation link, or download it to your computer.
Forget about lost or misplaced files, tiring form searches, or errors that require printing new document copies. airSlate SignNow caters to all your document management needs in just a few clicks from your chosen device. Edit and eSign printable occupancy agreement and ensure effective communication at every step of the form preparation process with airSlate SignNow.
Create this form in 5 minutes or less
FAQs printable occupancy agreement
-
There is curfew in my area and Internet service is blocked, how can I fill my exam form as today is the last day to fill it out?
Spend less time using your blocked Internet to ask questions on Quora, andTravel back in time to when there was no curfew and you were playing Super Mario Kart, and instead, fill out your exam form.
-
How can I claim the VAT amount for items purchased in the UK? Do I need to fill out any online forms or formalities to claim?
Easy to follow instructions can be found here Tax on shopping and servicesThe process works like this.Get a VAT 407 form from the retailer - they might ask for proof that you’re eligible, for example your passport.Show the goods, the completed form and your receipts to customs at the point when you leave the EU (this might not be in the UK).Customs will approve your form if everything is in order. You then take the approved form to get paid.The best place to get the form is from a retailer on the airport when leaving.
-
I am a working software professional in the Bay Area and looking to switch jobs. I can't openly write in my LinkedIn profile about the same. How do I approach recruiters/companies? Is there an easier way than filling out 4 - 5 page forms in the career website of the company?
I'd say that you should just seek out the jobs that interest you and apply for them. Many don't have such onerous application forms. Some even allow you to apply through LinkedIn. And if you target a small set of companies that really interest you, then it's worth the extra effort to customize each application. Many recruiters and hiring managers, myself included, give more weight to candidates who seem specifically interested in an opportunity, as compared to those who seem to be taking a shotgun approach to the job seeking process.
Related searches to occupancy agreement
Create this form in 5 minutes!
How to create an eSignature for the pre occupancy agreement
How to create an electronic signature for your Purchasers Pre Settlement Occupancy Agreement Dulles Area online
How to generate an electronic signature for your Purchasers Pre Settlement Occupancy Agreement Dulles Area in Chrome
How to make an electronic signature for putting it on the Purchasers Pre Settlement Occupancy Agreement Dulles Area in Gmail
How to make an electronic signature for the Purchasers Pre Settlement Occupancy Agreement Dulles Area from your smartphone
How to make an eSignature for the Purchasers Pre Settlement Occupancy Agreement Dulles Area on iOS devices
How to generate an electronic signature for the Purchasers Pre Settlement Occupancy Agreement Dulles Area on Android OS
People also ask printable occupancy agreement
-
What is an occupancy agreement?
An occupancy agreement is a legal document that outlines the terms and conditions under which one party can occupy a property owned by another. This agreement typically covers aspects such as duration, payment, and responsibilities, ensuring clarity between landlords and occupants.
-
How can airSlate SignNow help with occupancy agreements?
airSlate SignNow streamlines the process of creating, sending, and signing occupancy agreements digitally. This tool not only simplifies document management but also enhances the security and organization of all your occupancy agreements, making it easier to keep track of all related information.
-
What features does airSlate SignNow offer for managing occupancy agreements?
With airSlate SignNow, you can create customizable templates for occupancy agreements, set up automated reminders for deadlines, and track document statuses in real-time. The platform also supports integrations with other software tools, making it easier to manage all aspects of your occupancy agreements.
-
Is airSlate SignNow cost-effective for handling occupancy agreements?
Yes, airSlate SignNow offers competitive pricing plans ideal for businesses of all sizes that require efficient management of occupancy agreements. By reducing the need for paper and manual processes, our solution not only saves time but also minimizes costs associated with traditional document handling.
-
What types of businesses can benefit from using airSlate SignNow for occupancy agreements?
AirSlate SignNow is beneficial for a wide range of businesses, including real estate firms, property management companies, and landlords. Any organization that requires managing occupancy agreements can use our platform to streamline the process and ensure compliance with legal standards.
-
Can I integrate airSlate SignNow with other tools for my occupancy agreements?
Absolutely! airSlate SignNow offers integrations with various applications, helping you to sync data and automate workflows involving occupancy agreements. Whether you're using CRMs, accounting tools, or other document management systems, our platform can seamlessly connect with your existing technology stack.
-
What security measures does airSlate SignNow implement for occupancy agreements?
airSlate SignNow prioritizes the security of your occupancy agreements by implementing advanced encryption, secure cloud storage, and compliance with industry regulations. This ensures that your sensitive documents are protected, giving you peace of mind while managing your agreements online.
Get more for occupancy agreement
- Best practices for guiding behaviour manitoba form
- Ammunition inventory sheet form
- Sample yoga nidra script form
- I 116 form
- Employee availability form 81176683
- Material safety data sheet calcium carbonate section 1 form
- Walton county annual dog beach license application page 2 form
- Interpack case sealer parts form
Find out other pre occupancy agreement
- Electronic signature Missouri Lawers Promissory Note Template Fast
- Electronic signature Oklahoma High Tech Living Will Now
- Electronic signature Missouri Lawers Promissory Note Template Simple
- How To Electronic signature Ohio High Tech Emergency Contact Form
- How Do I Electronic signature Ohio High Tech Emergency Contact Form
- Electronic signature Oklahoma High Tech Living Will Later
- Help Me With Electronic signature Ohio High Tech Emergency Contact Form
- Electronic signature Missouri Lawers Promissory Note Template Easy
- How Can I Electronic signature Ohio High Tech Emergency Contact Form
- Can I Electronic signature Ohio High Tech Emergency Contact Form
- Electronic signature Missouri Lawers Promissory Note Template Safe
- Electronic signature Oklahoma High Tech Living Will Myself
- How To Electronic signature Oklahoma High Tech Living Will
- How Do I Electronic signature Oklahoma High Tech Living Will
- Electronic signature Oklahoma High Tech Living Will Free
- Help Me With Electronic signature Oklahoma High Tech Living Will
- How Can I Electronic signature Oklahoma High Tech Living Will
- Can I Electronic signature Oklahoma High Tech Living Will
- Electronic signature Oklahoma High Tech Living Will Secure
- Electronic signature Oklahoma High Tech Bill Of Lading Online