
2018-2025 Form


What is the FORM 10 01B HOW TO OBTAIN A DOMESTIC VIOLENCE CIV
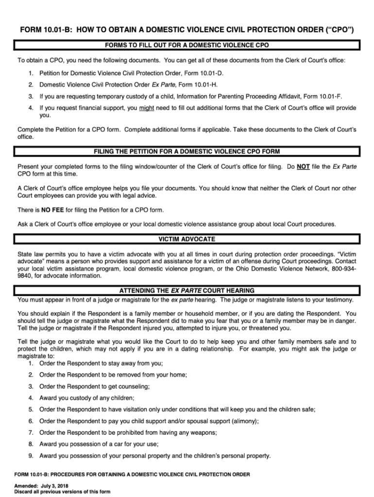
The FORM 10 01B is a legal document used in the United States to request a civil protection order related to domestic violence. This form is essential for individuals seeking legal protection from an abuser. It provides a structured way to present evidence and articulate the need for protection under the law. Understanding its purpose is crucial for anyone navigating the complexities of domestic violence cases.
How to obtain the FORM 10 01B HOW TO OBTAIN A DOMESTIC VIOLENCE CIV
To obtain the FORM 10 01B, individuals can typically visit their local courthouse or the official state court website. Many jurisdictions provide downloadable versions of the form online. It is important to ensure that you are using the most current version of the form, as updates may occur. Additionally, some legal aid organizations may offer assistance in obtaining the form and understanding its requirements.
Steps to complete the FORM 10 01B HOW TO OBTAIN A DOMESTIC VIOLENCE CIV
Completing the FORM 10 01B involves several key steps:
- Gather necessary information, including details about the relationship with the abuser and specific incidents of violence.
- Fill out the form accurately, ensuring all sections are completed as required.
- Review the form for any errors or missing information before submission.
- Submit the completed form to the appropriate court, either in person or via mail, depending on local regulations.
Legal use of the FORM 10 01B HOW TO OBTAIN A DOMESTIC VIOLENCE CIV
The FORM 10 01B is legally binding once it is filed with the court and the necessary procedures are followed. This form initiates the legal process for obtaining a domestic violence civil protection order. It is essential to understand that the information provided must be truthful and accurate, as false statements can lead to legal consequences.
Key elements of the FORM 10 01B HOW TO OBTAIN A DOMESTIC VIOLENCE CIV
Key elements of the FORM 10 01B include:
- Personal information of the petitioner, including name and contact details.
- Details about the alleged abuser, including their relationship to the petitioner.
- Specific incidents of violence or threats that justify the need for a protection order.
- Requested relief, such as no contact orders or temporary custody arrangements.
Eligibility Criteria
To be eligible for filing the FORM 10 01B, individuals must demonstrate that they have experienced domestic violence or threats of violence from a household member or intimate partner. Each state may have specific criteria regarding what constitutes domestic violence, so it is important to consult local laws for precise definitions and eligibility requirements.
Quick guide on how to complete form 10 01b how to obtain a domestic violence civ
Effortlessly Prepare [SKS] on Any Device
Managing documents online has gained traction among businesses and individuals. It offers a superb eco-friendly substitute for conventional printed and signed documentation, as you can easily locate the appropriate form and securely store it online. airSlate SignNow equips you with all the necessary tools to create, edit, and eSign your documents quickly and efficiently. Handle [SKS] on any device using airSlate SignNow's Android or iOS applications and enhance any document-based process today.
The easiest way to edit and eSign [SKS] effortlessly
- Find [SKS] and click on Get Form to begin.
- Utilize the tools we provide to fill out your form.
- Mark relevant sections of your documents or obscure sensitive details with tools that airSlate SignNow specifically offers for that purpose.
- Generate your signature using the Sign feature, which takes just seconds and holds the same legal validity as a conventional wet ink signature.
- Review the information and click on the Done button to save your changes.
- Select your preferred method of sending your form, whether by email, text message (SMS), invitation link, or downloading it to your computer.
Eliminate the hassle of lost or misplaced documents, tedious form searching, or errors that require reprinting new document copies. airSlate SignNow fulfills all your document management needs in just a few clicks from any device of your preference. Edit and eSign [SKS] to ensure excellent communication at every stage of your form preparation process with airSlate SignNow.
Create this form in 5 minutes or less
Find and fill out the correct form 10 01b how to obtain a domestic violence civ
Create this form in 5 minutes!
How to create an eSignature for the form 10 01b how to obtain a domestic violence civ
How to create an electronic signature for a PDF online
How to create an electronic signature for a PDF in Google Chrome
How to create an e-signature for signing PDFs in Gmail
How to create an e-signature right from your smartphone
How to create an e-signature for a PDF on iOS
How to create an e-signature for a PDF on Android
People also ask
-
What is FORM 10 01B HOW TO OBTAIN A DOMESTIC VIOLENCE CIV?
FORM 10 01B HOW TO OBTAIN A DOMESTIC VIOLENCE CIV is a legal document used for filing a request related to domestic violence civil matters. It is essential for individuals seeking legal protection or remedies in domestic violence situations. Understanding this form is crucial for ensuring your legal rights are protected.
-
How can airSlate SignNow help with FORM 10 01B HOW TO OBTAIN A DOMESTIC VIOLENCE CIV?
airSlate SignNow provides an intuitive platform for creating, signing, and submitting FORM 10 01B HOW TO OBTAIN A DOMESTIC VIOLENCE CIV quickly and securely. Our solution streamlines the document management process, making it easier for you to focus on the legal matters at hand. With our features, you can eliminate the hassle of paperwork.
-
What are the pricing options for using airSlate SignNow to handle FORM 10 01B HOW TO OBTAIN A DOMESTIC VIOLENCE CIV?
airSlate SignNow offers flexible pricing plans tailored to individual and business needs when dealing with FORM 10 01B HOW TO OBTAIN A DOMESTIC VIOLENCE CIV. Our cost-effective solutions ensure you have access to all necessary features without breaking the bank. We also offer free trials so you can explore our services before committing.
-
Can I store FORM 10 01B HOW TO OBTAIN A DOMESTIC VIOLENCE CIV securely with airSlate SignNow?
Yes, airSlate SignNow prioritizes document security, allowing you to store FORM 10 01B HOW TO OBTAIN A DOMESTIC VIOLENCE CIV safely in an encrypted environment. Our platform safeguards your sensitive information and provides easy access whenever you need it. You can rest assured that your documents are secure and compliant.
-
What features does airSlate SignNow offer for processing FORM 10 01B HOW TO OBTAIN A DOMESTIC VIOLENCE CIV?
airSlate SignNow includes various features such as eSigning, templates, and document sharing that enhance your experience with FORM 10 01B HOW TO OBTAIN A DOMESTIC VIOLENCE CIV. These features help you manage your legal documents efficiently and help streamline communication with stakeholders. Our user-friendly interface ensures that you can navigate the process easily.
-
How does airSlate SignNow integrate with other tools for managing FORM 10 01B HOW TO OBTAIN A DOMESTIC VIOLENCE CIV?
With airSlate SignNow, seamless integrations with tools like Google Drive, Dropbox, and CRM software are available when managing FORM 10 01B HOW TO OBTAIN A DOMESTIC VIOLENCE CIV. This allows you to connect your existing workflow and enhance document handling capabilities. The integration options promote efficiency and organization.
-
Is there customer support available for queries about FORM 10 01B HOW TO OBTAIN A DOMESTIC VIOLENCE CIV?
Yes, our customer support team is available to assist you with any queries related to FORM 10 01B HOW TO OBTAIN A DOMESTIC VIOLENCE CIV. We provide multiple support channels, including chat, email, and phone support, ensuring you get the help you need quickly. Our experts are knowledgeable and ready to help you navigate complexities.
Get more for FORM 10 01B HOW TO OBTAIN A DOMESTIC VIOLENCE CIV
- Survival actions vs wrongful death claimsalllaw form
- Life table life expectancy for cp vs tbi and sci form
- Psychic interest in continuation of ones own life penn law form
- What is a loss of consortium claimalllaw form
- Proof of actual damage corporatecommercial law india form
- 42 damages commercial lost profitgain tort form
- This problem the applicable present value and future chegg form
- Print principles of risk management and insurance chapter form
Find out other FORM 10 01B HOW TO OBTAIN A DOMESTIC VIOLENCE CIV
- eSign Wisconsin Introduction Letter Free
- eSign Oklahoma Confirmation Of Reservation Or Order Safe
- eSign Wisconsin Introduction Letter Secure
- eSign Wisconsin Introduction Letter Fast
- eSign Pennsylvania Confirmation Of Reservation Or Order Mobile
- eSign Wisconsin Introduction Letter Simple
- eSign Wisconsin Introduction Letter Easy
- eSign Wisconsin Introduction Letter Safe
- eSign Pennsylvania Confirmation Of Reservation Or Order Now
- How To eSign Wisconsin Introduction Letter
- eSign Oregon Confirmation Of Reservation Or Order Online
- eSign Pennsylvania Confirmation Of Reservation Or Order Later
- eSign Oregon Confirmation Of Reservation Or Order Computer
- eSign Oregon Confirmation Of Reservation Or Order Mobile
- How Do I eSign Wisconsin Introduction Letter
- eSign Oregon Confirmation Of Reservation Or Order Now
- eSign Pennsylvania Confirmation Of Reservation Or Order Myself
- eSign Oregon Confirmation Of Reservation Or Order Later
- Help Me With eSign Wisconsin Introduction Letter
- eSign Oregon Confirmation Of Reservation Or Order Myself