
Fam 001 Form


What is the Fam 001?
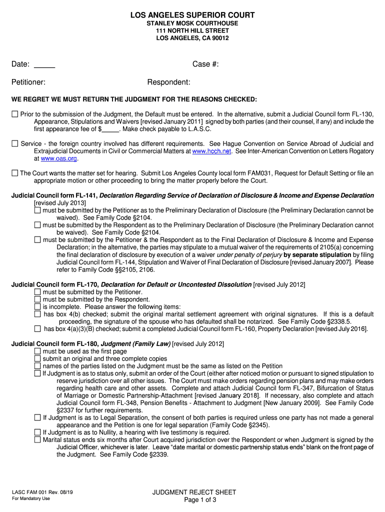
The Fam 001 judgment form is a legal document used in the United States, specifically for family law cases. This form typically addresses matters related to child custody, visitation rights, and other family-related disputes. It serves as a formal request for the court to review and make decisions regarding the issues presented. Understanding the purpose and function of the Fam 001 is essential for individuals navigating the family court system.
How to use the Fam 001
Using the Fam 001 involves several steps to ensure that the form is completed accurately and submitted correctly. First, gather all necessary information related to your case, including details about the parties involved and any relevant documentation. Next, fill out the form clearly and completely, ensuring that all required fields are addressed. After completing the form, review it for accuracy before submitting it to the appropriate court. This careful approach helps avoid delays in the legal process.
Steps to complete the Fam 001
Completing the Fam 001 requires attention to detail. Here are the steps to follow:
- Gather necessary information about the case, including names, addresses, and case numbers.
- Download the Fam 001 form in PDF format from a reliable source.
- Carefully fill out each section of the form, ensuring all required information is included.
- Double-check for any errors or omissions before finalizing the document.
- Sign the form where indicated, ensuring compliance with any signature requirements.
- Submit the completed form to the appropriate court, either online, by mail, or in person.
Legal use of the Fam 001
The Fam 001 judgment form is legally binding when completed and submitted according to the rules of the court. It is important to comply with all legal requirements, including proper signatures and any necessary supporting documents. Failure to adhere to these guidelines may result in the rejection of the form or delays in your case. Understanding the legal implications of using the Fam 001 is crucial for ensuring that your rights and interests are protected in family law matters.
Key elements of the Fam 001
Several key elements must be included in the Fam 001 to ensure its validity:
- Identification of the parties involved, including their names and contact information.
- A clear statement of the issues being addressed, such as custody or visitation arrangements.
- Details about any previous court orders or agreements related to the case.
- Signature lines for all parties involved, along with dates to indicate when the form was signed.
State-specific rules for the Fam 001
Each state may have specific rules and regulations governing the use of the Fam 001 form. It is essential to familiarize yourself with your state's requirements, as these can affect how the form is filled out and submitted. Some states may require additional documentation or have unique filing procedures. Checking with the local family court or legal resources can provide clarity on any state-specific rules that apply to the Fam 001.
Quick guide on how to complete reject sheet make
Effortlessly Prepare reject sheet make on Any Device
Online document management has become increasingly popular among businesses and individuals. It offers a perfect eco-friendly solution to traditional printed and signed documents, as you can access the necessary form and securely save it online. airSlate SignNow equips you with all the tools needed to create, edit, and eSign your documents swiftly without delays. Manage fam001 judgment form on any platform using airSlate SignNow Android or iOS applications and streamline your document-related processes today.
How to Edit and eSign fam 001 with Ease
- Locate fam001 form and click Get Form to begin.
- Utilize the tools we provide to complete your form.
- Highlight pertinent sections of your documents or redact sensitive information with tools that airSlate SignNow specifically offers for that purpose.
- Create your eSignature using the Sign tool, which only takes seconds and holds the same legal validity as a traditional handwritten signature.
- Review all the details and click the Done button to save your modifications.
- Choose how you wish to send your form, whether by email, text message (SMS), or invitation link, or download it to your computer.
Say goodbye to lost or misplaced documents, endless form searches, or mistakes that require printing new document copies. airSlate SignNow fulfills all your document management needs in just a few clicks from any device you prefer. Edit and eSign judgment reject to ensure outstanding communication at every stage of your form preparation process with airSlate SignNow.
Create this form in 5 minutes or less
Related searches to fam 001 download
Create this form in 5 minutes!
How to create an eSignature for the fam 001 form
How to generate an electronic signature for your Prior To The Submission Of The Judgment The Default Must Be Entered in the online mode
How to make an electronic signature for the Prior To The Submission Of The Judgment The Default Must Be Entered in Google Chrome
How to generate an eSignature for putting it on the Prior To The Submission Of The Judgment The Default Must Be Entered in Gmail
How to create an eSignature for the Prior To The Submission Of The Judgment The Default Must Be Entered straight from your smart phone
How to create an electronic signature for the Prior To The Submission Of The Judgment The Default Must Be Entered on iOS devices
How to generate an electronic signature for the Prior To The Submission Of The Judgment The Default Must Be Entered on Android
People also ask judgment council declaration
-
What is fam 001 and how does it relate to airSlate SignNow?
fam 001 refers to a designated plan offered by airSlate SignNow that simplifies the process of electronic signatures and document management. This plan is tailored for businesses seeking an efficient and cost-effective solution for sending and eSigning documents.
-
How much does the fam 001 plan cost?
The fam 001 plan is competitively priced, providing great value for businesses looking to streamline their document processes. By selecting fam 001, users can access advanced features without breaking the bank, making it an economical choice for many organizations.
-
What features are included in the fam 001 plan?
The fam 001 plan includes a suite of features designed to enhance your document workflow. Users benefit from unlimited eSignatures, customizable templates, and integrations with popular applications, making it a comprehensive solution for businesses of all sizes.
-
What are the primary benefits of using fam 001 for eSigning?
Using fam 001 for eSigning offers numerous benefits, including increased efficiency in document management and enhanced security for your transactions. Additionally, this plan supports team collaboration, ensuring that all stakeholders can access and sign documents seamlessly.
-
Can fam 001 integrate with other software tools we currently use?
Yes! The fam 001 plan seamlessly integrates with various software tools such as Google Workspace, Salesforce, and more. This compatibility allows businesses to leverage their existing systems while benefiting from the powerful features of airSlate SignNow.
-
Is there a free trial available for the fam 001 plan?
Absolutely! airSlate SignNow offers a free trial of the fam 001 plan, allowing businesses to experience its benefits firsthand. This trial is a great way to evaluate how fam 001 can improve your document processes before committing to a subscription.
-
How secure is the fam 001 plan for document management?
The fam 001 plan is built with advanced security features, including encryption and compliance with industry regulations. This ensures that all documents handled through airSlate SignNow are secure and that your data remains confidential and protected.
Get more for fam001 judgment template
- Teachers choice accountability form 458202936
- Bill nye sound form
- Yorktown police department chief of police robert m noble form
- Crowley rodeo entry fees form
- City of fremont business license form
- Sunnyvale alarm permit form
- Team shirt order form
- Poker run sponsorship lake wateree powerboat association form
Find out other judgment reject get
- Can I Electronic signature New Hampshire Courts Contract
- Electronic signature New Jersey Courts Stock Certificate Safe
- Electronic signature New Hampshire Courts Contract Now
- Electronic signature New Jersey Courts Emergency Contact Form Computer
- Electronic signature New Jersey Courts Emergency Contact Form Online
- Electronic signature New Hampshire Courts Contract Later
- Electronic signature New Jersey Courts Emergency Contact Form Mobile
- Electronic signature New Jersey Courts Emergency Contact Form Now
- Electronic signature New Jersey Courts Emergency Contact Form Later
- Electronic signature New Jersey Courts Emergency Contact Form Myself
- Electronic signature New Hampshire Courts Contract Myself
- Electronic signature New Jersey Courts Emergency Contact Form Free
- How To Electronic signature New Jersey Courts Emergency Contact Form
- Electronic signature New Jersey Courts Emergency Contact Form Secure
- Electronic signature New Jersey Courts Emergency Contact Form Fast
- How Do I Electronic signature New Jersey Courts Emergency Contact Form
- Electronic signature New Hampshire Courts Contract Free
- Electronic signature New Jersey Courts Emergency Contact Form Simple
- Electronic signature New Jersey Courts Emergency Contact Form Easy
- Help Me With Electronic signature New Jersey Courts Emergency Contact Form