
2020-2025 Form


What is the CIV 201 ANCH District Court Report Of Parties State Of Alaska
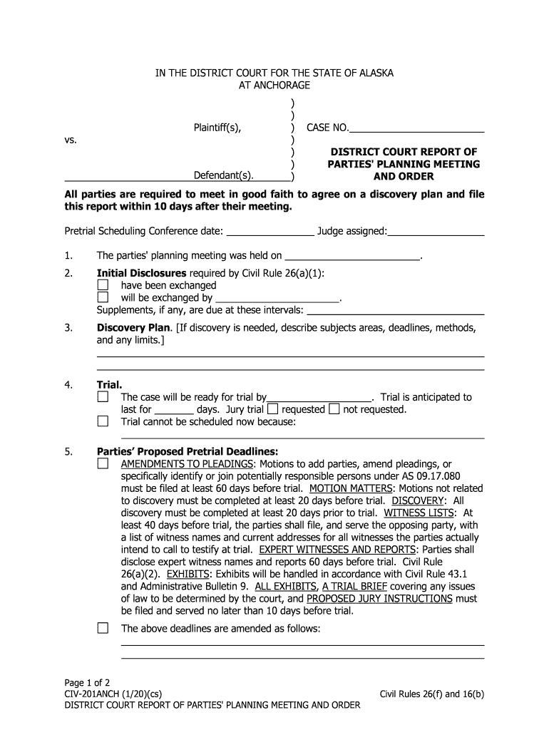
The CIV 201 ANCH District Court Report Of Parties is a legal document used within the Alaska court system. It serves to provide essential information about the parties involved in a legal case, including their names, addresses, and roles in the proceedings. This report is crucial for maintaining transparency and ensuring that all relevant parties are properly notified throughout the legal process. It is often required in civil cases to facilitate communication and procedural compliance.
How to use the CIV 201 ANCH District Court Report Of Parties State Of Alaska
To effectively use the CIV 201 ANCH District Court Report Of Parties, individuals must first gather the necessary information about all parties involved in the case. This includes full names, contact details, and their respective roles, such as plaintiff or defendant. Once the information is compiled, it should be accurately filled out on the form. After completing the form, it must be submitted to the appropriate court, either electronically or via mail, depending on the court's guidelines.
Steps to complete the CIV 201 ANCH District Court Report Of Parties State Of Alaska
Completing the CIV 201 ANCH District Court Report Of Parties involves several key steps:
- Gather all necessary information about the parties involved in the case.
- Access the form through the Alaska court's official website or obtain a physical copy from the court.
- Fill out the form with accurate and complete information, ensuring there are no errors.
- Review the completed form for accuracy and completeness.
- Submit the form to the court by the required deadline, following the specified submission methods.
Legal use of the CIV 201 ANCH District Court Report Of Parties State Of Alaska
The CIV 201 ANCH District Court Report Of Parties is legally binding and must be filled out correctly to ensure compliance with court procedures. This document is used to officially inform the court of the parties involved in a case, which is essential for legal notifications and proceedings. Failure to submit this report or providing inaccurate information can lead to delays or complications in the legal process.
Key elements of the CIV 201 ANCH District Court Report Of Parties State Of Alaska
Key elements of the CIV 201 ANCH District Court Report Of Parties include:
- Full names of all parties involved in the case.
- Addresses of the parties for proper notification.
- Identification of each party's role in the case (e.g., plaintiff, defendant).
- Case number and court information to ensure proper filing.
State-specific rules for the CIV 201 ANCH District Court Report Of Parties State Of Alaska
Each state has specific rules governing the use of court documents, including the CIV 201 ANCH District Court Report Of Parties. In Alaska, it is important to adhere to local court rules regarding submission deadlines, required information, and formatting. Familiarizing oneself with these rules can help ensure that the report is accepted without issues and that all legal requirements are met.
Create this form in 5 minutes or less
Find and fill out the correct civ 201 anch district court report of parties state of alaska
Related searches to CIV 201 ANCH District Court Report Of Parties State Of Alaska
Create this form in 5 minutes!
How to create an eSignature for the civ 201 anch district court report of parties state of alaska
How to create an electronic signature for a PDF online
How to create an electronic signature for a PDF in Google Chrome
How to create an e-signature for signing PDFs in Gmail
How to create an e-signature right from your smartphone
How to create an e-signature for a PDF on iOS
How to create an e-signature for a PDF on Android
People also ask
-
What is the CIV 201 ANCH District Court Report Of Parties State Of Alaska?
The CIV 201 ANCH District Court Report Of Parties State Of Alaska is a legal document that outlines the parties involved in a civil case within the Anchorage District Court. This report is essential for ensuring all parties are properly notified and included in legal proceedings.
-
How can airSlate SignNow help with the CIV 201 ANCH District Court Report Of Parties State Of Alaska?
airSlate SignNow provides a streamlined platform for creating, sending, and eSigning the CIV 201 ANCH District Court Report Of Parties State Of Alaska. Our solution simplifies the document management process, ensuring that all necessary parties can easily access and sign the report.
-
What are the pricing options for using airSlate SignNow for the CIV 201 ANCH District Court Report Of Parties State Of Alaska?
airSlate SignNow offers flexible pricing plans that cater to various business needs. Whether you are a small business or a large enterprise, you can find a plan that allows you to efficiently manage documents like the CIV 201 ANCH District Court Report Of Parties State Of Alaska at a cost-effective rate.
-
What features does airSlate SignNow offer for managing the CIV 201 ANCH District Court Report Of Parties State Of Alaska?
With airSlate SignNow, you can utilize features such as customizable templates, automated workflows, and secure eSigning to manage the CIV 201 ANCH District Court Report Of Parties State Of Alaska. These features enhance efficiency and ensure compliance with legal standards.
-
Is airSlate SignNow compliant with legal standards for the CIV 201 ANCH District Court Report Of Parties State Of Alaska?
Yes, airSlate SignNow is designed to comply with all relevant legal standards for documents like the CIV 201 ANCH District Court Report Of Parties State Of Alaska. Our platform ensures that all eSignatures are legally binding and that your documents are securely stored.
-
Can I integrate airSlate SignNow with other software for the CIV 201 ANCH District Court Report Of Parties State Of Alaska?
Absolutely! airSlate SignNow offers integrations with various software applications, allowing you to seamlessly manage the CIV 201 ANCH District Court Report Of Parties State Of Alaska alongside your existing tools. This integration capability enhances productivity and streamlines your workflow.
-
What are the benefits of using airSlate SignNow for the CIV 201 ANCH District Court Report Of Parties State Of Alaska?
Using airSlate SignNow for the CIV 201 ANCH District Court Report Of Parties State Of Alaska offers numerous benefits, including increased efficiency, reduced turnaround time, and enhanced security. Our platform simplifies the document signing process, making it easier for all parties involved.
Get more for CIV 201 ANCH District Court Report Of Parties State Of Alaska
- Income tax symposium institute for professionals in taxation ipt form
- Credits amp incentives symposium registration form ipt
- Who39s the fairest of them all dattner consulting llc form
- 2012cannonredemptionform indd cvc opioid progress report
- Sph hpm2 ad umn edusph hpm2shares2resdacsharedwebsitedrupaldata entry docsrif data file docsrif dme saf version i cms htm resdac form
- Humor style mediates the association between pathological narcissism form
- How to donkey fc and npi any corpora parles upf universitat form
- Test story healthit gov form
Find out other CIV 201 ANCH District Court Report Of Parties State Of Alaska
- How Can I eSign Hawaii Terms of Use Agreement
- eSign New Jersey Stock Certificate Safe
- Can I eSign Hawaii Terms of Use Agreement
- eSign Idaho Terms of Use Agreement Online
- eSign Idaho Terms of Use Agreement Computer
- eSign New Mexico Stock Certificate Online
- eSign New Mexico Stock Certificate Mobile
- eSign New Mexico Stock Certificate Computer
- eSign Idaho Terms of Use Agreement Mobile
- eSign New Mexico Stock Certificate Now
- eSign New Mexico Stock Certificate Later
- eSign Idaho Terms of Use Agreement Now
- How To eSign New Mexico Stock Certificate
- eSign New Mexico Stock Certificate Myself
- eSign New Mexico Stock Certificate Free
- eSign Idaho Terms of Use Agreement Later
- eSign New Mexico Stock Certificate Secure
- eSign New Mexico Stock Certificate Fast
- How Do I eSign New Mexico Stock Certificate
- eSign Idaho Terms of Use Agreement Myself