
Northwestern University Facility Use and Services Agreement Form


What is the Northwestern University Facility Use And Services Agreement
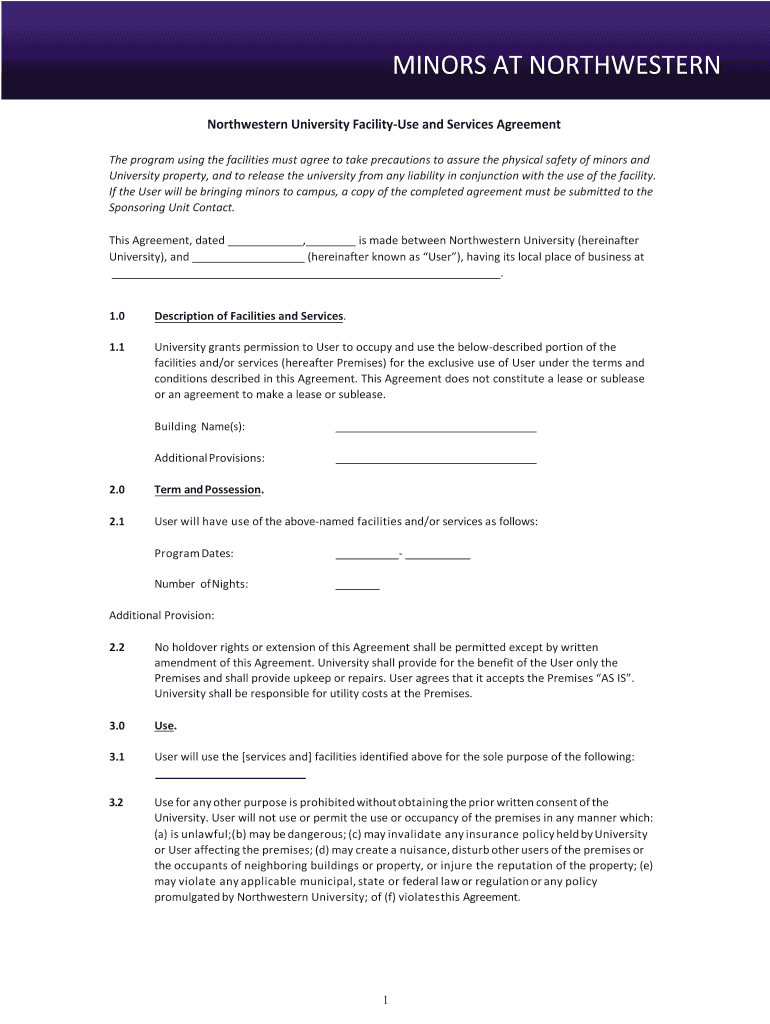
The Northwestern University Facility Use And Services Agreement is a formal document that outlines the terms and conditions under which individuals or organizations can utilize university facilities and services. This agreement is essential for ensuring that all parties understand their rights and responsibilities while using university resources. The document typically includes details about the intended use of the facilities, duration, fees, and any specific requirements or restrictions that may apply. It serves to protect both the university and the users by establishing clear guidelines for facility usage.
How to use the Northwestern University Facility Use And Services Agreement
Using the Northwestern University Facility Use And Services Agreement involves several straightforward steps. First, identify the specific facilities and services you wish to access. Next, obtain the agreement form, which can often be found on the university's official website or through designated administrative offices. Carefully read the terms outlined in the agreement to ensure compliance with university policies. Finally, complete the form by providing the necessary information, such as your name, contact details, and the purpose of the facility use. Once completed, submit the form according to the instructions provided, which may include electronic submission options.
Steps to complete the Northwestern University Facility Use And Services Agreement
Completing the Northwestern University Facility Use And Services Agreement requires attention to detail. Follow these steps for a smooth process:
- Gather necessary information, including personal identification and details about the intended use.
- Access the agreement form from the university’s website or administrative office.
- Read the terms and conditions thoroughly to understand your obligations.
- Fill out the form accurately, ensuring all required fields are completed.
- Review the completed form for any errors or omissions.
- Submit the form through the designated method, whether online, by mail, or in person.
Key elements of the Northwestern University Facility Use And Services Agreement
The Northwestern University Facility Use And Services Agreement includes several key elements that are crucial for both the university and the users. These elements typically encompass:
- The purpose of the facility use, detailing the specific activities planned.
- The duration of the agreement, including start and end dates.
- Any associated fees or costs for using the facilities.
- Liability and insurance requirements, outlining responsibilities in case of damage or injury.
- Compliance with university policies and regulations.
Legal use of the Northwestern University Facility Use And Services Agreement
The legal use of the Northwestern University Facility Use And Services Agreement is governed by various laws and regulations. For the agreement to be considered legally binding, it must be executed in accordance with applicable eSignature laws, such as the ESIGN Act and UETA. This ensures that electronic signatures and documents are recognized as valid in a court of law. Additionally, both parties must have the capacity to enter into the agreement, meaning they must be of legal age and sound mind. It is advisable to retain a copy of the signed agreement for future reference.
How to obtain the Northwestern University Facility Use And Services Agreement
To obtain the Northwestern University Facility Use And Services Agreement, individuals can typically follow these steps:
- Visit the official Northwestern University website, where forms are often available for download.
- Contact the university’s administrative office or facility management department for assistance.
- Inquire about any specific requirements or prerequisites needed to access the form.
- Request a physical copy if necessary, or opt for an electronic version for convenience.
Quick guide on how to complete northwestern university facility use and services agreement
Finish [SKS] easily on any gadget
Digital document organization has gained traction among businesses and individuals alike. It serves as an ideal eco-friendly alternative to traditional printed and signed documents, allowing you to obtain the correct form and store it securely online. airSlate SignNow provides you with all the resources necessary to create, alter, and eSign your files promptly without interruptions. Manage [SKS] on any gadget using airSlate SignNow Android or iOS applications and simplify any document-related task today.
The simplest method to alter and eSign [SKS] effortlessly
- Obtain [SKS] and click Get Form to begin.
- Utilize the tools we provide to complete your document.
- Select relevant parts of your documents or obscure sensitive information with tools specifically designed for that purpose by airSlate SignNow.
- Create your eSignature with the Sign tool, which takes mere seconds and is legally equivalent to a traditional wet ink signature.
- Review all the information and click the Done button to save your modifications.
- Select your preferred delivery method for your form, whether by email, text message (SMS), invite link, or download it to your computer.
Forget about lost or mislaid documents, tiring searches for forms, or errors that require new document copies to be printed. airSlate SignNow meets your document management needs in just a few clicks from any device you prefer. Edit and eSign [SKS] and guarantee excellent communication at any stage of your form preparation with airSlate SignNow.
Create this form in 5 minutes or less
Related searches to Northwestern University Facility Use And Services Agreement
Create this form in 5 minutes!
How to create an eSignature for the northwestern university facility use and services agreement
How to generate an electronic signature for a PDF file in the online mode
How to generate an electronic signature for a PDF file in Chrome
The way to create an electronic signature for putting it on PDFs in Gmail
The way to generate an electronic signature right from your smartphone
How to make an eSignature for a PDF file on iOS devices
The way to generate an electronic signature for a PDF on Android
People also ask
-
What is the Northwestern University Facility Use And Services Agreement?
The Northwestern University Facility Use And Services Agreement is a contractual document that outlines the terms and conditions for using university facilities. This agreement ensures that both the university and the users understand their rights and responsibilities when utilizing university resources.
-
How can airSlate SignNow help me manage the Northwestern University Facility Use And Services Agreement?
airSlate SignNow allows you to easily create, send, and eSign the Northwestern University Facility Use And Services Agreement digitally. This streamlines the process and reduces the time and effort needed to manage contract agreements, making it more efficient for all parties involved.
-
Is there a cost associated with using airSlate SignNow for the Northwestern University Facility Use And Services Agreement?
Yes, airSlate SignNow offers various pricing plans suited for different needs, including a cost-effective solution for managing the Northwestern University Facility Use And Services Agreement. The plans are designed to provide value for those who frequently handle agreements and contracts.
-
What features does airSlate SignNow offer for the Northwestern University Facility Use And Services Agreement?
airSlate SignNow provides features such as templates, customizable fields, and advanced tracking for the Northwestern University Facility Use And Services Agreement. These features ensure that the agreement process is smooth and that all necessary information is captured correctly.
-
Can I integrate airSlate SignNow with other tools for the Northwestern University Facility Use And Services Agreement?
Absolutely! airSlate SignNow offers integrations with numerous applications, allowing you to manage the Northwestern University Facility Use And Services Agreement alongside your existing workflow. This helps streamline processes and improves overall efficiency.
-
How secure is the airSlate SignNow platform for handling the Northwestern University Facility Use And Services Agreement?
airSlate SignNow prioritizes security and compliance, ensuring that documents, including the Northwestern University Facility Use And Services Agreement, are protected. The platform employs encryption, secure access controls, and audit trails to keep sensitive information safe.
-
What are the benefits of using airSlate SignNow for the Northwestern University Facility Use And Services Agreement?
Using airSlate SignNow for the Northwestern University Facility Use And Services Agreement can enhance efficiency and reduce paper usage. Digital signing saves time, facilitates quicker approvals, and allows for easier record-keeping, benefiting both individuals and organizations.
Get more for Northwestern University Facility Use And Services Agreement
- Merkel isd professional application merkeltexas independent form
- Brittany application brittany apartments form
- Statement of account personal representative 7th judicial circuit form
- The purpose of the following sample examination is to present an example of what is provided on exam day by asq form
- Folk arts marketplace vendor application great form
- Lighthouse scholarship application doc form
- Mcmga membership application monroe county master form
- Registration form ivam
Find out other Northwestern University Facility Use And Services Agreement
- How To Sign Minnesota Education Emergency Contact Form
- Sign Nebraska Education Lease Agreement Free
- How Do I Sign Minnesota Education Emergency Contact Form
- Help Me With Sign Minnesota Education Emergency Contact Form
- Sign Nebraska Education Lease Agreement Secure
- How Can I Sign Minnesota Education Emergency Contact Form
- Can I Sign Minnesota Education Emergency Contact Form
- Sign Missouri Education POA Online
- Sign Nebraska Education Lease Agreement Fast
- Sign Nebraska Education Living Will Online
- Sign Nebraska Education Lease Agreement Simple
- Sign Nebraska Education Living Will Computer
- Sign Missouri Education POA Computer
- Sign Nebraska Education Living Will Mobile
- Sign Nebraska Education Living Will Now
- Sign Nebraska Education Lease Agreement Easy
- Sign Nebraska Education Living Will Later
- Sign Nebraska Education Lease Agreement Safe
- Sign Missouri Education POA Mobile
- Sign Nebraska Education Living Will Myself