
Chubb Lawyer Application 2012-2025 Form


What is the Chubb Renewal Application
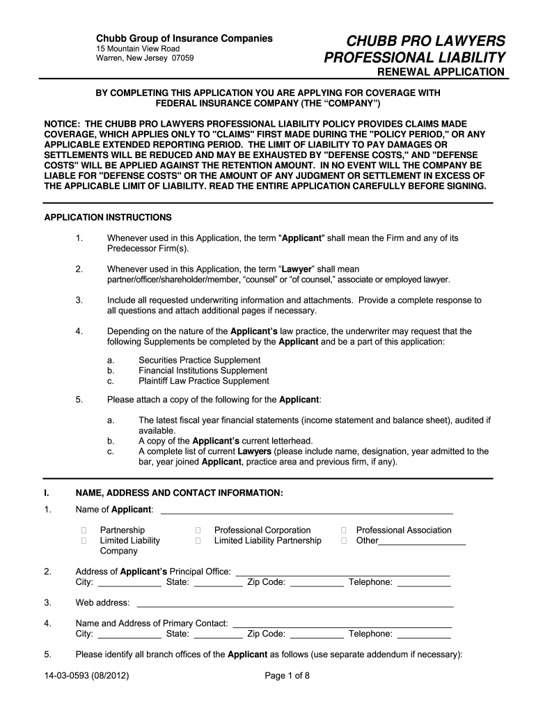
The Chubb Renewal Application is a formal document used by policyholders to renew their Chubb liability coverage. This application is essential for maintaining continuous insurance protection and ensuring that all relevant information is up to date. It typically includes details about the policyholder’s business operations, any changes in risk factors, and updated financial information. Completing this application accurately is crucial for the renewal process and for the assessment of the policyholder's ongoing eligibility for coverage.
Steps to Complete the Chubb Renewal Application
Completing the Chubb Renewal Application involves several important steps to ensure accuracy and compliance. Follow these steps for a smooth application process:
- Gather necessary information: Collect all relevant details about your business, including financial statements, operational changes, and any claims history.
- Review your current policy: Understand the coverage limits and terms of your existing policy to identify any changes needed for renewal.
- Fill out the application: Complete the renewal application form with accurate and up-to-date information. Ensure that all sections are filled out to avoid delays.
- Submit the application: Send the completed application to Chubb through the preferred submission method, whether online or via mail.
- Follow up: After submission, monitor the status of your application and be prepared to provide additional information if requested.
Legal Use of the Chubb Renewal Application
The legal use of the Chubb Renewal Application is governed by several regulations that ensure the validity of the information provided. For the application to be legally binding, it must be signed by an authorized representative of the policyholder’s organization. Additionally, the application must comply with relevant state and federal laws concerning insurance practices. Using a reliable electronic signature tool can enhance the legitimacy of the application by providing an audit trail and ensuring compliance with eSignature regulations.
Eligibility Criteria
To successfully complete the Chubb Renewal Application, applicants must meet specific eligibility criteria. Generally, these criteria include:
- Existing policyholder: The applicant must currently hold a Chubb liability policy that is up for renewal.
- Business operations: The applicant's business must operate within the guidelines set forth by Chubb, including any industry-specific requirements.
- Claims history: A review of the applicant's claims history may be conducted to assess risk and determine eligibility for renewal.
Key Elements of the Chubb Renewal Application
The Chubb Renewal Application consists of several key elements that are critical for the renewal process. These elements typically include:
- Policyholder information: Basic details about the business, including name, address, and contact information.
- Coverage details: Information regarding the types of coverage being renewed, including limits and deductibles.
- Risk assessment: Questions regarding changes in business operations, employee counts, and any new risks that may affect coverage.
- Signature section: A space for the authorized representative to sign, confirming the accuracy of the information provided.
Form Submission Methods
The Chubb Renewal Application can be submitted through various methods to accommodate different preferences. Common submission methods include:
- Online submission: Many applicants prefer to complete and submit the application electronically through Chubb’s online portal, which offers convenience and speed.
- Mail: Applicants can also print the completed application and send it via postal service to the designated Chubb office.
- In-person submission: For those who prefer direct interaction, submitting the application in person at a local Chubb office is an option.
Quick guide on how to complete liability damages
Prepare liability damages effortlessly on any device
Online document management has become increasingly popular among organizations and individuals. It offers a perfect eco-friendly alternative to traditional printed and signed documents, enabling you to find the right form and securely store it online. airSlate SignNow equips you with all the tools necessary to create, edit, and eSign your documents swiftly without delays. Manage chubb lawyer application on any device with airSlate SignNow's Android or iOS applications and simplify any document-related task today.
The easiest way to modify and eSign chubb liability coverage with ease
- Obtain chubb liability and click Get Form to begin.
- Utilize the tools we provide to fill out your form.
- Emphasize relevant sections of the documents or redact sensitive information with tools that airSlate SignNow specifically provides for this purpose.
- Create your eSignature using the Sign tool, which takes seconds and holds the same legal validity as a traditional ink signature.
- Review all the details and click on the Done button to save your changes.
- Choose how you wish to send your form, whether by email, text message (SMS), invitation link, or download it to your computer.
Say goodbye to lost or misplaced documents, tedious form searching, or errors that necessitate printing new copies. airSlate SignNow addresses all your document management needs in just a few clicks from your preferred device. Modify and eSign chubb coverage and ensure exceptional communication at any stage of the form preparation process with airSlate SignNow.
Create this form in 5 minutes or less
Find and fill out the correct lawyer liability app
Related searches to chubb renewal application
Create this form in 5 minutes!
How to create an eSignature for the chubb d o policy form
How to make an eSignature for a PDF file online
How to make an eSignature for a PDF file in Google Chrome
The way to create an electronic signature for signing PDFs in Gmail
How to create an eSignature straight from your mobile device
The best way to make an eSignature for a PDF file on iOS
How to create an eSignature for a PDF document on Android devices
People also ask chubb forefront application
-
What is the chubb renewal application process?
The chubb renewal application process involves submitting your updated information through an easy-to-use online platform. airSlate SignNow simplifies this process by allowing you to create, send, and eSign documents seamlessly. This helps ensure a smooth experience for users while managing their insurance renewals efficiently.
-
How can airSlate SignNow help with the chubb renewal application?
airSlate SignNow streamlines the chubb renewal application by providing a secure environment for electronic signatures and document management. This platform reduces paperwork and accelerates the application process, making it easier for businesses to complete their renewals on time. Plus, with built-in templates, you can quickly adapt documents to meet your specific needs.
-
What are the pricing options for using airSlate SignNow for the chubb renewal application?
Pricing for airSlate SignNow can vary based on the features you choose, but it remains a cost-effective solution for managing the chubb renewal application. Our plans are designed to suit different business sizes and needs, ensuring you pay only for what you use. Explore our pricing page for detailed options to find the best fit for your organization.
-
What features does airSlate SignNow offer for the chubb renewal application?
AirSlate SignNow offers several key features to enhance the chubb renewal application process, including eSignature capabilities, document templates, and automated workflows. These features work together to minimize error, save time, and improve efficiency. You can easily track document status and ensure compliance throughout the renewal cycle.
-
Are there integrations available for the chubb renewal application with airSlate SignNow?
Yes, airSlate SignNow provides numerous integrations that can enhance your chubb renewal application process. You can connect with popular CRM, accounting, and project management tools to streamline your workflow. These integrations help centralize your operations and keep all relevant documents accessible and organized.
-
What benefits does airSlate SignNow provide for the chubb renewal application?
Using airSlate SignNow for the chubb renewal application offers numerous benefits, such as speeding up the signing process and reducing manual errors. The platform ensures that your documents are secure and compliant with regulations, enhancing trust with clients. Additionally, the ability to track and manage documents efficiently leads to better overall productivity.
-
Is the airSlate SignNow platform user-friendly for the chubb renewal application?
Absolutely! The airSlate SignNow platform is designed with user experience in mind, making it exceptionally user-friendly for the chubb renewal application. With intuitive navigation and easy access to features, even those who are not tech-savvy can manage their documents with confidence, helping to expedite the renewal process signNowly.
Get more for da 31 form
- Influencers contract template form
- Information technology contract template
- Instagram collaboration contract template form
- Instagram influencer influencer contract template form
- Instagram influencer contract template form
- Installation contract template 787752377 form
- Installment contract template form
- Installment loan contract template form
Find out other chubb renewal applications
- Electronic signature Nebraska Day Care Contract Free
- eSignature Michigan Content Provider Agreement Easy
- Electronic signature Nebraska Day Care Contract Secure
- eSignature Michigan Content Provider Agreement Safe
- Electronic signature Nebraska Day Care Contract Fast
- How To Electronic signature Nebraska Day Care Contract
- How Do I Electronic signature Nebraska Day Care Contract
- Electronic signature Nebraska Day Care Contract Simple
- How To eSignature Michigan Content Provider Agreement
- Help Me With Electronic signature Nebraska Day Care Contract
- How Can I Electronic signature Nebraska Day Care Contract
- Can I Electronic signature Nebraska Day Care Contract
- Electronic signature Nebraska Day Care Contract Easy
- How Do I eSignature Michigan Content Provider Agreement
- Electronic signature New Hampshire Day Care Contract Online
- Electronic signature Nebraska Day Care Contract Safe
- Electronic signature New Hampshire Day Care Contract Computer
- Electronic signature New Hampshire Day Care Contract Mobile
- Help Me With eSignature Michigan Content Provider Agreement
- Electronic signature New Hampshire Day Care Contract Now