
Exclusive Distribution Agreement Form


What is the Exclusive Distribution Agreement
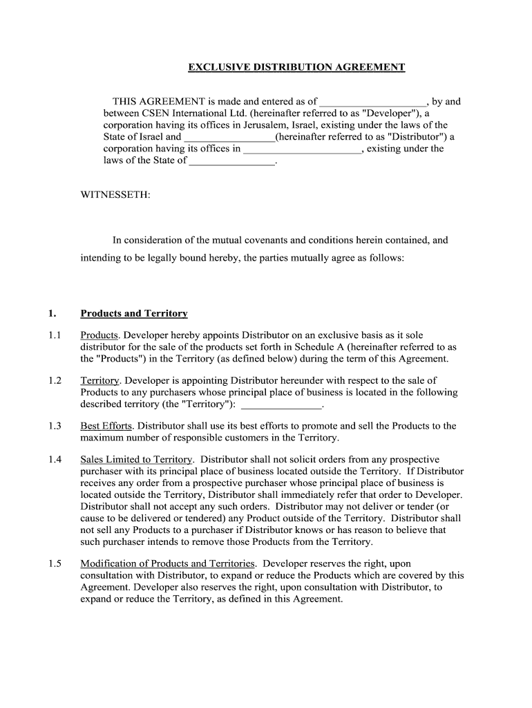
An exclusive distribution agreement is a legal contract between a supplier and a distributor, granting the distributor exclusive rights to sell the supplier's products within a specified territory. This type of agreement ensures that the distributor has the sole authority to market and sell the products, preventing the supplier from appointing other distributors in the same area. Such agreements are commonly used in various industries, including pharmaceuticals, electronics, and consumer goods, to establish clear terms of distribution and protect the interests of both parties.
Key Elements of the Exclusive Distribution Agreement
Several critical components must be included in an exclusive distribution agreement to ensure its effectiveness and legality. These elements typically consist of:
- Parties Involved: Clearly identify the supplier and distributor.
- Territory: Define the geographical area where the distributor has exclusive rights.
- Duration: Specify the length of the agreement and any renewal terms.
- Products Covered: List the specific products included in the agreement.
- Obligations: Outline the responsibilities of both parties, including marketing and sales targets.
- Termination Conditions: Detail the circumstances under which the agreement can be terminated.
Steps to Complete the Exclusive Distribution Agreement
Completing an exclusive distribution agreement involves several key steps to ensure that all necessary information is included and that both parties agree to the terms. Follow these steps:
- Identify the parties involved and their roles.
- Define the territory and duration of the agreement.
- List the specific products to be distributed.
- Outline the obligations and responsibilities of each party.
- Review the termination conditions and any legal requirements.
- Ensure both parties sign the agreement, preferably in the presence of a witness.
Legal Use of the Exclusive Distribution Agreement
For an exclusive distribution agreement to be legally binding, it must comply with relevant laws and regulations. In the United States, it is essential to ensure that the agreement does not violate antitrust laws, which prevent unfair competition. Additionally, both parties should understand their rights and obligations under the agreement. Utilizing a reliable eSignature platform, like signNow, can facilitate the signing process while ensuring compliance with the ESIGN Act and UETA, which govern electronic signatures.
How to Use the Exclusive Distribution Agreement
Using an exclusive distribution agreement effectively requires understanding its purpose and the obligations it entails. Once the agreement is signed, the distributor should focus on:
- Implementing marketing strategies to promote the products within the designated territory.
- Maintaining communication with the supplier regarding inventory levels and sales performance.
- Adhering to any sales targets or performance metrics outlined in the agreement.
- Providing regular reports to the supplier about market conditions and customer feedback.
Examples of Using the Exclusive Distribution Agreement
Exclusive distribution agreements can be found in various industries, showcasing their versatility. Some examples include:
- A pharmaceutical company granting exclusive rights to a distributor to sell a new medication in a specific state.
- A technology firm allowing a distributor to market its software products exclusively within a defined region.
- A consumer goods manufacturer partnering with a retailer to sell its products exclusively in select stores.
Quick guide on how to complete exclusive distribution agreement template word
Complete exclusive distribution agreement template word effortlessly on any device
Digital document management has gained popularity among businesses and individuals. It offers an ideal environmentally friendly alternative to conventional printed and signed documents, as you can access the proper form and securely store it online. airSlate SignNow provides you with all the tools necessary to generate, modify, and eSign your documents quickly without interruptions. Manage exclusive distribution agreement template on any device using airSlate SignNow's Android or iOS applications and streamline your document-related tasks today.
The easiest way to modify and eSign sample exclusive distribution agreement without hassle
- Obtain exclusive distribution agreement and click on Get Form to begin.
- Utilize the tools we provide to complete your form.
- Emphasize important sections of your documents or redact sensitive details using tools that airSlate SignNow specifically offers for this purpose.
- Generate your eSignature with the Sign tool, which takes mere seconds and carries the same legal validity as a conventional wet ink signature.
- Review all the information and click on the Done button to save your changes.
- Select how you wish to send your form, whether by email, SMS, invite link, or download it to your computer.
Eliminate concerns about lost or misfiled documents, tedious form searches, or mistakes that necessitate creating new document copies. airSlate SignNow meets all your document management needs in just a few clicks from any device you prefer. Modify and eSign simple distribution agreement pdf and ensure outstanding communication throughout the form preparation process with airSlate SignNow.
Create this form in 5 minutes or less
Related searches to exclusive distribution agreement word
Create this form in 5 minutes!
How to create an eSignature for the csen exclusive sample
The best way to create an electronic signature for a PDF file online
The best way to create an electronic signature for a PDF file in Google Chrome
How to create an electronic signature for signing PDFs in Gmail
The way to generate an eSignature right from your mobile device
The way to create an eSignature for a PDF file on iOS
The way to generate an eSignature for a PDF on Android devices
People also ask csen exclusive agreement
-
What is an exclusive distribution agreement template?
An exclusive distribution agreement template is a legal document that outlines the terms between a supplier and a distributor, granting the distributor exclusive rights to sell the supplier's products in a defined area. This template helps in avoiding misunderstandings and lays the groundwork for a successful business relationship.
-
How can airSlate SignNow help me create an exclusive distribution agreement template?
With airSlate SignNow, you can easily customize and create your own exclusive distribution agreement template using our user-friendly platform. The document editor allows you to add, edit, and format text, ensuring you include all necessary clauses tailored to your specific needs.
-
Is there a cost associated with using the exclusive distribution agreement template on airSlate SignNow?
Yes, while airSlate SignNow offers a free trial, a subscription plan is required for full access to features, including the exclusive distribution agreement template. Pricing plans are competitively structured to provide a cost-effective solution for businesses of all sizes.
-
What features are included with the exclusive distribution agreement template?
The exclusive distribution agreement template includes essential features like eSignature capabilities, document sharing, and real-time tracking of changes. Additionally, it allows you to store and manage your documents securely within the airSlate SignNow platform.
-
What are the benefits of using an exclusive distribution agreement template?
Using an exclusive distribution agreement template ensures that all vital terms and conditions are clearly defined, reducing the risk of disputes. Furthermore, it saves time and effort, as you can quickly modify the template to fit different distribution agreements.
-
Can I integrate airSlate SignNow with other software while using the exclusive distribution agreement template?
Yes, airSlate SignNow integrates seamlessly with various CRM and business software, allowing you to manage your exclusive distribution agreement template efficiently. This integration streamlines your workflow, making it easier to initiate and track agreements.
-
How do I access the exclusive distribution agreement template from airSlate SignNow?
To access the exclusive distribution agreement template, simply sign up for an account on airSlate SignNow. Once logged in, navigate to the templates section, where you can find, customize, and download the template as needed.
Get more for exclusive distribution agreement form
Find out other csen exclusive template
- Help Me With Sign Hawaii Banking Document
- How Can I Sign Hawaii Banking Document
- Can I Sign Hawaii Banking Document
- Help Me With Sign Hawaii Banking Document
- How Can I Sign Hawaii Banking Document
- How To Sign Hawaii Banking Document
- How Can I Sign Hawaii Banking Document
- Can I Sign Hawaii Banking Document
- Help Me With Sign Hawaii Banking Document
- How Do I Sign Hawaii Banking Document
- How Can I Sign Hawaii Banking Document
- Can I Sign Hawaii Banking Document
- Can I Sign Hawaii Banking Document
- How To Sign Hawaii Banking Document
- How Do I Sign Hawaii Banking Document
- How To Sign Hawaii Banking Form
- Help Me With Sign Hawaii Banking Document
- How Can I Sign Hawaii Banking Document
- Can I Sign Hawaii Banking Document
- How Do I Sign Hawaii Banking Form