Deregister an Aircraft Form
What is the aircraft deregistration form?
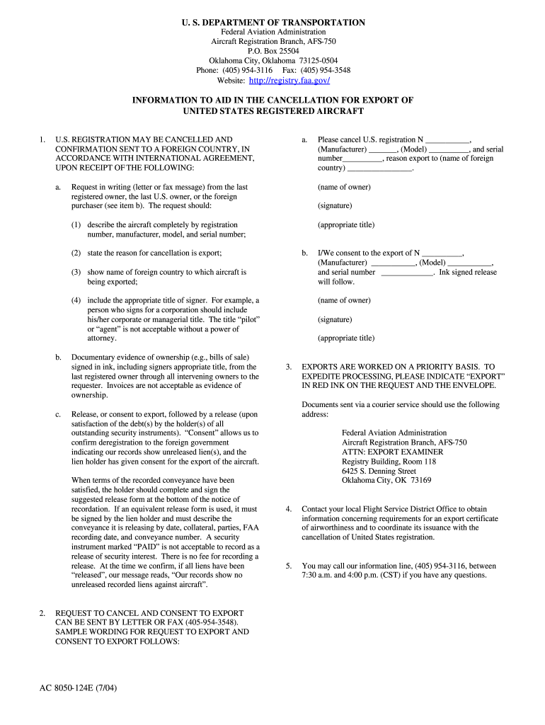
The aircraft deregistration form is a legal document used to officially remove an aircraft from the Federal Aviation Administration (FAA) registry. This process is essential for aircraft owners who wish to sell, transfer, or permanently retire their aircraft. By completing this form, owners ensure that the aircraft is no longer associated with their name, thereby releasing them from any liabilities or responsibilities related to the aircraft. The FAA aircraft deregistration form must be filled out accurately to avoid complications during the deregistration process.
Steps to complete the aircraft deregistration form
Completing the aircraft deregistration form involves several key steps to ensure accuracy and compliance with FAA regulations. Here’s a straightforward guide:
- Gather necessary information, including the aircraft's registration number, make, model, and serial number.
- Provide details about the current owner, including full name and address.
- Indicate the reason for deregistration, such as sale, export, or destruction of the aircraft.
- Sign and date the form, ensuring that all provided information is correct.
- Submit the completed form to the FAA, either online or by mail, as per the guidelines.
Legal use of the aircraft deregistration form
The aircraft deregistration form serves as a legally binding document once it is submitted and processed by the FAA. It is crucial that the form is completed in accordance with the FAA's regulations to ensure its validity. Legal requirements include providing accurate information and obtaining the necessary signatures. The form must also comply with federal laws governing aircraft registration and deregistration to avoid potential legal issues.
Required documents for deregistration
When filling out the aircraft deregistration form, certain documents may be required to support the application. These typically include:
- A copy of the aircraft's current registration certificate.
- Proof of ownership, such as a bill of sale or transfer document.
- Any additional documentation that may be required based on the reason for deregistration.
Having these documents ready can facilitate a smoother deregistration process.
Form submission methods
The aircraft deregistration form can be submitted to the FAA through multiple methods, providing flexibility for aircraft owners. The available submission methods include:
- Online: Utilize the FAA's online portal for immediate processing.
- Mail: Send the completed form and required documents to the appropriate FAA office.
- In-person: Visit a local FAA office to submit the form directly.
Choosing the right submission method can help ensure timely processing of the deregistration.
Penalties for non-compliance
Failure to properly complete and submit the aircraft deregistration form may result in penalties. These can include:
- Continued liability for taxes and fees associated with the aircraft.
- Legal repercussions if the aircraft is involved in an incident while still registered.
- Potential fines imposed by the FAA for non-compliance with deregistration regulations.
It is essential for aircraft owners to understand these penalties to avoid unnecessary complications.
Quick guide on how to complete deregister an aircraft
Complete deregister an aircraft effortlessly on any device
Digital document management has gained popularity among businesses and individuals. It presents a great environmentally-friendly alternative to traditional printed and signed documents, allowing you to obtain the necessary form and securely store it online. airSlate SignNow equips you with all the tools necessary to create, modify, and electronically sign your documents swiftly without delays. Manage aircraft deregistration form on any device with airSlate SignNow Android or iOS applications and streamline any document-related task today.
The easiest method to modify and electronically sign faa aircraft deregistration form without hassle
- Find faa deregistration and click Get Form to initiate.
- Utilize the tools provided to complete your form.
- Emphasize pertinent sections of the documents or obscure sensitive details with tools specifically provided by airSlate SignNow for this purpose.
- Create your signature using the Sign tool, which takes seconds and holds the same legal validity as a conventional wet ink signature.
- Verify all the information and click the Done button to save your alterations.
- Select how you wish to send your form, whether by email, SMS, or invitation link, or download it to your computer.
Purge any concerns about lost or misplaced documents, tedious form searching, or errors requiring the printing of new document copies. airSlate SignNow meets your document management needs in just a few clicks from any device you prefer. Alter and electronically sign aircraft deregistration and ensure excellent communication throughout the form preparation process with airSlate SignNow.
Create this form in 5 minutes or less
Related searches to aircraft deregistration
Create this form in 5 minutes!
How to create an eSignature for the deregister an aircraft
The best way to make an eSignature for a PDF file online
The best way to make an eSignature for a PDF file in Google Chrome
The way to create an electronic signature for signing PDFs in Gmail
The way to generate an eSignature straight from your mobile device
How to make an eSignature for a PDF file on iOS
The way to generate an eSignature for a PDF document on Android devices
People also ask faa aircraft deregistration form
-
What is an aircraft deregistration form?
An aircraft deregistration form is a legal document used to officially remove an aircraft from the register of a country. This form helps ensure that ownership records are updated and that the aircraft is no longer subject to regulatory requirements in that jurisdiction. Using airSlate SignNow, you can easily complete and eSign this form online.
-
How can airSlate SignNow assist with filling out the aircraft deregistration form?
airSlate SignNow offers an intuitive platform that allows users to fill out the aircraft deregistration form conveniently. With our easy-to-use tools, you can input necessary information, attach relevant documents, and electronically sign the form, streamlining the entire process for you or your business.
-
What are the benefits of using airSlate SignNow for aircraft deregistration?
Using airSlate SignNow for your aircraft deregistration form offers enhanced efficiency and convenience. Our platform ensures that you can access your documents anytime, anywhere, minimizing delays in the deregistration process. Additionally, secure electronic signatures protect your information while complying with legal standards.
-
Is there a cost associated with using airSlate SignNow for the aircraft deregistration form?
Yes, airSlate SignNow offers various pricing plans tailored to meet different business needs. Depending on the plan you choose, you can access features that facilitate the completion of your aircraft deregistration form at an affordable rate. We recommend checking our pricing page for detailed information on options.
-
Can I integrate airSlate SignNow with other tools for the aircraft deregistration process?
Absolutely! airSlate SignNow provides seamless integration with various applications to enhance your workflow. Whether you need to connect with accounting software, document storage services, or project management tools, our platform ensures your aircraft deregistration form fits smoothly into your existing systems.
-
What documents do I need to complete the aircraft deregistration form on airSlate SignNow?
To complete the aircraft deregistration form on airSlate SignNow, you will typically need proof of ownership, the aircraft registration certificate, and specific identification documents. Ensure you have digital copies of these documents ready to upload. Our platform will guide you through the necessary steps with clarity.
-
How secure is airSlate SignNow when dealing with sensitive information in the aircraft deregistration form?
airSlate SignNow prioritizes the security of your sensitive information. We use industry-leading encryption and comply with stringent data protection regulations to ensure that your aircraft deregistration form and other documents remain confidential and secure during the signing and storage process.
Get more for faa deregistration
- Louisiana dept of revenue form
- Staar science tutorial 33 answer key form
- Undertaking 1a and authorisation letter form
- Form 3300 077 and form 3300 007a water quality test and well construction report
- Class 1 commercial improvement location permit application indygov form
- Gl assessment answer sheets form
- Gold coast direct referral form
- Dr 13 form
Find out other aircraft deregistration
- How Can I eSignature Alaska Legal Forbearance Agreement
- Can I eSignature Alaska Legal Forbearance Agreement
- eSignature Alaska Legal Forbearance Agreement Later
- eSignature Alaska Legal Limited Power Of Attorney Mobile
- How To eSignature Alaska Legal Limited Power Of Attorney
- eSignature Alaska Legal Forbearance Agreement Myself
- How Do I eSignature Alaska Legal Limited Power Of Attorney
- eSignature Alaska Legal Limited Power Of Attorney Now
- Help Me With eSignature Alaska Legal Limited Power Of Attorney
- eSignature Alaska Legal Forbearance Agreement Free
- How Can I eSignature Alaska Legal Limited Power Of Attorney
- Can I eSignature Alaska Legal Limited Power Of Attorney
- eSignature Alaska Legal Forbearance Agreement Secure
- eSignature Alaska Legal Limited Power Of Attorney Later
- eSignature Alaska Legal Forbearance Agreement Fast
- eSignature Lawers Document California Online
- eSignature Lawers Document California Computer
- eSignature Alaska Legal Limited Power Of Attorney Myself
- eSignature Lawers Document California Mobile
- eSignature Alaska Legal Forbearance Agreement Simple