
WAIVER of LIEN INDIVIDUAL Form


What is the Waiver of Lien Individual?
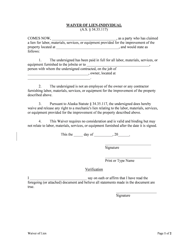
The Waiver of Lien Individual is a legal document that relinquishes the right of a contractor or subcontractor to place a lien on a property for unpaid work or materials. This form is often used in the construction industry to ensure that payments are made promptly and to provide property owners with peace of mind. By signing this document, the individual acknowledges receipt of payment and agrees not to pursue any claims against the property for the specified work.
Key Elements of the Waiver of Lien Individual
Understanding the key elements of the Waiver of Lien Individual is crucial for both parties involved. The essential components typically include:
- Identification of Parties: Clearly stating the names and addresses of the contractor, subcontractor, and property owner.
- Description of Work: A detailed description of the work performed or materials supplied.
- Payment Acknowledgment: Confirmation of the amount paid for the work completed.
- Signature and Date: The document must be signed by the individual waiving their lien rights, along with the date of signing.
Steps to Complete the Waiver of Lien Individual
Completing the Waiver of Lien Individual involves several straightforward steps:
- Gather Information: Collect all necessary details, including names, addresses, and payment amounts.
- Fill Out the Form: Accurately complete the form, ensuring all required fields are filled in.
- Review for Accuracy: Double-check all information for correctness to avoid future disputes.
- Sign the Document: The individual waiving the lien must sign and date the form.
- Distribute Copies: Provide copies to all relevant parties, including the property owner and contractor.
Legal Use of the Waiver of Lien Individual
The Waiver of Lien Individual serves a vital legal purpose in construction and contracting. It protects property owners from potential liens that could arise from unpaid work. By using this document, contractors and subcontractors demonstrate professionalism and transparency in their financial dealings. It is important to ensure that the waiver is executed in compliance with state laws, as regulations can vary significantly.
State-Specific Rules for the Waiver of Lien Individual
Each state has its own rules and regulations governing the use of the Waiver of Lien Individual. It is essential to be aware of these variations to ensure compliance. Some states may require specific language to be included in the waiver, while others may have particular forms that must be used. Consulting with a legal professional familiar with local laws can help navigate these requirements effectively.
Examples of Using the Waiver of Lien Individual
Practical examples of using the Waiver of Lien Individual can help clarify its application:
- A subcontractor completes electrical work for a general contractor and receives payment. They sign a Waiver of Lien Individual to confirm payment and waive any future claims against the property.
- A supplier provides materials for a construction project and is paid in full. They use the waiver to assure the property owner that no lien will be placed on the property for the supplied materials.
Quick guide on how to complete waiver of lien individual
Complete [SKS] effortlessly on any device
Managing documents online has become increasingly popular among businesses and individuals. It offers an ideal eco-friendly alternative to traditional printed and signed papers, as you can access the correct form and securely store it online. airSlate SignNow equips you with all the necessary tools to create, modify, and electronically sign your documents quickly without delays. Handle [SKS] on any platform with the airSlate SignNow apps for Android or iOS and enhance any document-focused process today.
The simplest way to modify and electronically sign [SKS] effortlessly
- Locate [SKS] and click on Get Form to begin.
- Use the tools we offer to complete your form.
- Emphasize important parts of your documents or obscure sensitive information using tools specifically designed for that purpose by airSlate SignNow.
- Create your signature with the Sign tool, which takes seconds and holds the same legal validity as a conventional wet ink signature.
- Review the details and click on the Done button to save your changes.
- Select your preferred method for submitting your form, either by email, SMS, or invite link, or download it to your computer.
Eliminate concerns about lost or misplaced files, tedious form searches, or errors that necessitate printing new document copies. airSlate SignNow addresses all your document management requirements in just a few clicks from any device you choose. Modify and electronically sign [SKS] to ensure clear communication at any stage of your form preparation process with airSlate SignNow.
Create this form in 5 minutes or less
Related searches to WAIVER OF LIEN INDIVIDUAL
Create this form in 5 minutes!
People also ask
-
What is a WAIVER OF LIEN INDIVIDUAL and why do I need it?
A WAIVER OF LIEN INDIVIDUAL is a legal document that a contractor or supplier signs to waive their right to file a lien against a property. This document protects property owners from potential claims by ensuring all parties involved in the project have been paid. Understanding the WAIVER OF LIEN INDIVIDUAL is crucial for maintaining good business relationships and compliance.
-
How does airSlate SignNow facilitate the signing of a WAIVER OF LIEN INDIVIDUAL?
With airSlate SignNow, you can easily create, send, and eSign a WAIVER OF LIEN INDIVIDUAL from anywhere, at any time. The platform provides a user-friendly interface that simplifies document management, streamlining the signing process. This efficiency not only saves time but also enhances workflow productivity.
-
What are the costs associated with using airSlate SignNow for WAIVER OF LIEN INDIVIDUAL documents?
airSlate SignNow offers flexible pricing plans that cater to various business needs, ensuring you get the best value for managing your WAIVER OF LIEN INDIVIDUAL documents. Pricing is competitive, with options for individual users and teams, allowing you to choose a plan that fits your budget. Monthly and yearly subscriptions are available, each designed for different levels of usage.
-
Can I integrate airSlate SignNow with other applications for WAIVER OF LIEN INDIVIDUAL management?
Yes, airSlate SignNow supports integration with various applications, enhancing the management of your WAIVER OF LIEN INDIVIDUAL documents. This includes CRM systems, project management tools, and accounting software, which helps to streamline your workflow. These integrations allow for seamless data transfer and more efficient document handling.
-
Is there a mobile app available for managing WAIVER OF LIEN INDIVIDUAL documents?
Absolutely! airSlate SignNow provides a mobile app that allows users to manage WAIVER OF LIEN INDIVIDUAL documents on the go. With this app, you can easily send and sign documents from your mobile device, ensuring you never miss a crucial deadline. This mobility enhances your productivity and keeps your projects moving forward.
-
What features does airSlate SignNow offer for WAIVER OF LIEN INDIVIDUAL documentation?
airSlate SignNow presents numerous features specifically designed for managing WAIVER OF LIEN INDIVIDUAL documents. These include customizable templates, secure cloud storage, and real-time tracking of document status. Additionally, its electronic signature functionality ensures that your documents are legally binding and compliant with regulations.
-
How secure are my WAIVER OF LIEN INDIVIDUAL documents in airSlate SignNow?
The security of your WAIVER OF LIEN INDIVIDUAL documents is a top priority at airSlate SignNow. The platform employs advanced encryption technologies to protect your data and complies with strict regulatory standards. This ensures that your documents are safeguarded against unauthorized access and tampering.
Get more for WAIVER OF LIEN INDIVIDUAL
- Form 944 x rev february 2022 adjusted employers annual federal tax return or claim for refund
- Instructions for form 941 ss internal revenue service
- Wwwirsgovpubirs pdfinstrucciones para el anexo b formulario 941 pr rev marzo
- Instrucciones para irs tax forms
- Before completing students should review the minor policy as printed on the back of this form andor in the undergraduate catalog
- Wwwpdffillercom513143999 re entry application 2020 2022 form cuny baruch college re entry application fill
- Contract intake form rf research foundation cuny
- Enrollment form for uc medicare ppo or po box ucnet
Find out other WAIVER OF LIEN INDIVIDUAL
- Electronic signature Ohio Real Estate Profit And Loss Statement Safe
- Electronic signature Ohio Real Estate Business Letter Template Free
- Electronic signature Ohio Real Estate Business Letter Template Secure
- Electronic signature Ohio Real Estate Business Letter Template Fast
- Electronic signature Ohio Real Estate Business Letter Template Simple
- How To Electronic signature Ohio Real Estate Confidentiality Agreement
- Electronic signature Ohio Real Estate Business Letter Template Easy
- Electronic signature Ohio Real Estate Business Letter Template Safe
- How To Electronic signature Ohio Real Estate Business Letter Template
- How Do I Electronic signature Ohio Real Estate Confidentiality Agreement
- Electronic signature Illinois Police Executive Summary Template Online
- Electronic signature Illinois Police Executive Summary Template Computer
- How Do I Electronic signature Ohio Real Estate Business Letter Template
- Electronic signature Illinois Police Executive Summary Template Mobile
- Help Me With Electronic signature Ohio Real Estate Confidentiality Agreement
- Help Me With Electronic signature Ohio Real Estate Business Letter Template
- Electronic signature Illinois Police Executive Summary Template Later
- Electronic signature Illinois Police Executive Summary Template Now
- Electronic signature Illinois Police Executive Summary Template Myself
- How Can I Electronic signature Ohio Real Estate Business Letter Template