
PG 505 Instructions for Adult Guardianship State of Alaska Form


What is the PG 505 Instructions For Adult Guardianship State Of Alaska
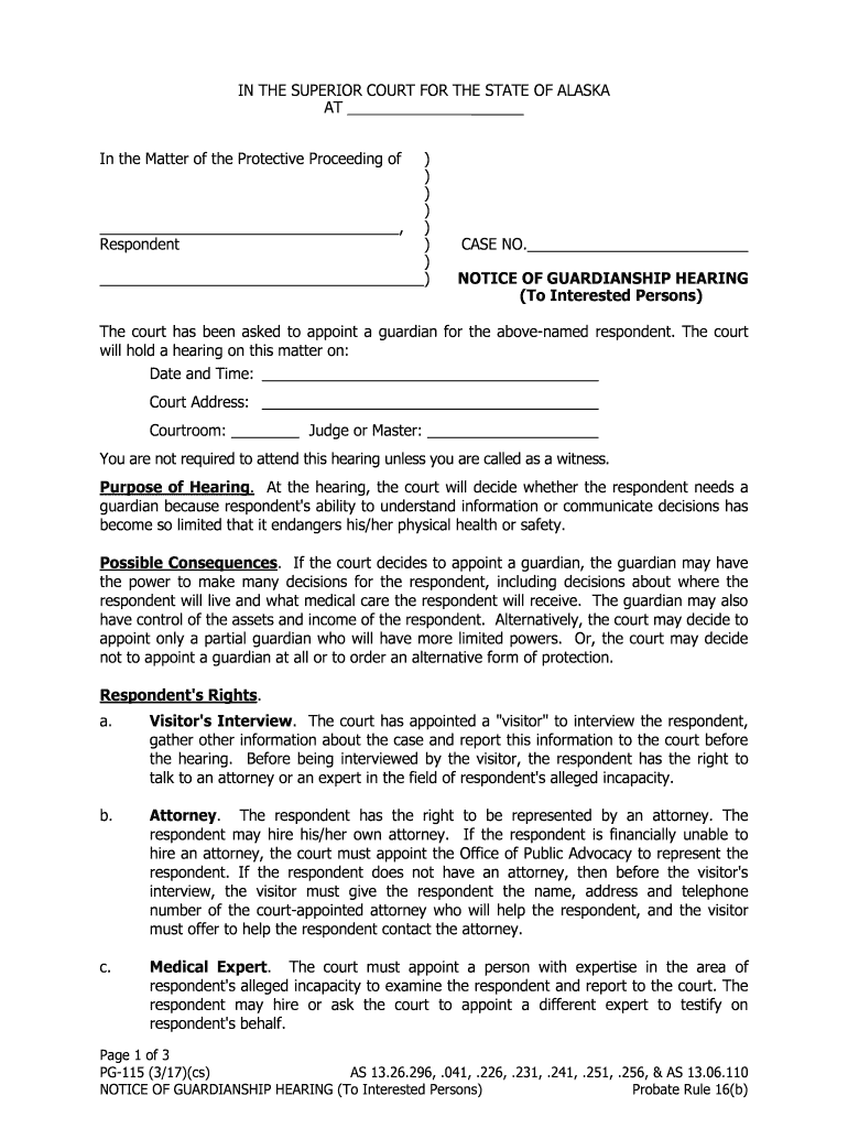
The PG 505 Instructions for Adult Guardianship in the State of Alaska is a legal document designed to guide individuals through the process of establishing guardianship for adults who are unable to make decisions for themselves. This form outlines the necessary steps, requirements, and legal implications involved in guardianship proceedings. It is essential for ensuring that the rights and well-being of the individual in need of guardianship are protected under Alaska law.
Steps to Complete the PG 505 Instructions For Adult Guardianship State Of Alaska
Completing the PG 505 form involves several key steps:
- Gather necessary information about the individual needing guardianship, including their personal details and medical history.
- Complete the PG 505 form accurately, ensuring all sections are filled out as required.
- File the completed form with the appropriate court in Alaska, along with any supporting documents.
- Attend the court hearing, where a judge will review the application and make a determination regarding the guardianship.
Legal Use of the PG 505 Instructions For Adult Guardianship State Of Alaska
The PG 505 form is legally binding once it is filed with the court and approved by a judge. It serves as a formal request for guardianship, and its proper completion is crucial for the legal recognition of the guardian's authority. This document must comply with Alaska state laws regarding guardianship to ensure its validity and enforceability.
State-Specific Rules for the PG 505 Instructions For Adult Guardianship State Of Alaska
In Alaska, specific rules govern the guardianship process, including:
- The requirement for a court hearing to establish guardianship.
- The necessity for the petitioner to demonstrate that the individual in question is incapacitated.
- The obligation to notify interested parties, such as family members, about the guardianship proceedings.
How to Obtain the PG 505 Instructions For Adult Guardianship State Of Alaska
The PG 505 Instructions can be obtained through the Alaska court system's website or by visiting the local courthouse. It is important to ensure that you are using the most current version of the form, as updates may occur. Additionally, legal aid organizations in Alaska may provide assistance in obtaining and completing the form.
Eligibility Criteria for the PG 505 Instructions For Adult Guardianship State Of Alaska
To be eligible to file the PG 505 form, the petitioner must meet certain criteria:
- The petitioner must be an adult resident of Alaska.
- The individual for whom guardianship is sought must be unable to make informed decisions due to mental or physical incapacity.
- The petitioner must demonstrate that guardianship is in the best interest of the individual needing assistance.
Quick guide on how to complete pg 505 instructions for adult guardianship state of alaska
Complete [SKS] effortlessly on any gadget
Web-based document administration has gained signNow traction among corporations and individuals. It offers an excellent environmentally friendly substitute to conventional printed and signed papers, allowing you to locate the correct form and securely save it online. airSlate SignNow provides you with all the resources required to create, alter, and eSign your documents swiftly and without delays. Handle [SKS] on any gadget using airSlate SignNow's Android or iOS applications and enhance any document-related process today.
The easiest method to update and eSign [SKS] with ease
- Obtain [SKS] and then click Get Form to begin.
- Make use of the tools we offer to complete your document.
- Emphasize important sections of the documents or redact sensitive information with tools that airSlate SignNow provides specifically for that purpose.
- Create your eSignature using the Sign tool, which takes seconds and carries the same legal validity as a conventional handwritten signature.
- Verify all the details and then click the Done button to preserve your changes.
- Select how you wish to send your form, via email, text message (SMS), or invitation link, or download it to your computer.
Eliminate concerns about lost or misplaced documents, tedious form searches, or errors that necessitate the printing of new document copies. airSlate SignNow fulfills all your document management requirements in just a few clicks from any device of your choosing. Update and eSign [SKS] and ensure exceptional communication at every stage of the form preparation process with airSlate SignNow.
Create this form in 5 minutes or less
Related searches to PG 505 Instructions For Adult Guardianship State Of Alaska
Create this form in 5 minutes!
People also ask
-
What are PG 505 Instructions For Adult Guardianship in the State of Alaska?
PG 505 Instructions For Adult Guardianship in the State of Alaska outlines the procedures and requirements for establishing a guardianship for adults. This document is crucial for anyone looking to take legal responsibility for another person's welfare. Understanding these instructions is essential for compliance and protecting the rights of the individual.
-
How can airSlate SignNow assist with PG 505 Instructions For Adult Guardianship in Alaska?
AirSlate SignNow provides a streamlined platform for electronically signing and sending PG 505 Instructions For Adult Guardianship in Alaska. This solution simplifies the document workflow, ensuring all parties can easily access and sign necessary paperwork. It's a convenient way to manage legal documents without the hassle of paper.
-
What are the costs associated with using airSlate SignNow for PG 505 Instructions For Adult Guardianship?
AirSlate SignNow offers various pricing plans to fit different business needs when handling PG 505 Instructions For Adult Guardianship in the State of Alaska. The service focuses on being cost-effective while providing essential features for document management. You can choose a plan based on your volume of documents and required functionalities.
-
What features does airSlate SignNow offer for processing PG 505 Instructions For Adult Guardianship?
AirSlate SignNow includes features like customizable templates, secure eSigning, and real-time tracking for PG 505 Instructions For Adult Guardianship. These tools help ensure that each document is completed correctly and efficiently. Users can also benefit from integration with other platforms for enhanced productivity.
-
Is airSlate SignNow compliant with legal standards for PG 505 Instructions For Adult Guardianship?
Yes, airSlate SignNow is compliant with all legal standards necessary for handling PG 505 Instructions For Adult Guardianship in the State of Alaska. This ensures that all eSignatures and document processes are legally binding and recognized by the courts. Users can confidently manage sensitive legal documentation through the platform.
-
Can I integrate airSlate SignNow with other software for managing PG 505 Instructions For Adult Guardianship?
AirSlate SignNow supports integration with various software solutions to enhance workflow for managing PG 505 Instructions For Adult Guardianship. Popular integrations include CRM systems, cloud storage, and project management tools. This flexibility allows users to customize their document management process for better efficiency.
-
What are the benefits of using airSlate SignNow for PG 505 Instructions For Adult Guardianship?
Utilizing airSlate SignNow for PG 505 Instructions For Adult Guardianship offers numerous benefits, including increased speed and efficiency in document processing. The platform allows for faster turnaround times and reduces the reliance on physical paperwork. Ultimately, it enhances the overall experience for both guardians and those they serve in Alaska.
Get more for PG 505 Instructions For Adult Guardianship State Of Alaska
- Texas single member llc operating agreement form
- Free new hampshire llc operating agreement templates pdf form
- 1040 2019 schedule 2 form
- Experian dispute form letter
- Dhcs discrimination complaint form state of california
- Criminal history record authorization form
- Pc 901ci form
- Cfiaacia 8389253 v2 georgiageo2930oceproposedjuly222016doc form
Find out other PG 505 Instructions For Adult Guardianship State Of Alaska
- How Can I eSign Arizona Real Estate Presentation
- Can I eSign Arizona Real Estate Presentation
- How To eSign Arizona Real Estate Presentation
- How To eSign Arizona Real Estate PPT
- How Do I eSign Arizona Real Estate Presentation
- How To eSign Arizona Real Estate Presentation
- Help Me With eSign Arizona Real Estate Presentation
- How Can I eSign Arizona Real Estate Presentation
- How Do I eSign Arizona Real Estate PPT
- Can I eSign Arizona Real Estate Presentation
- How Do I eSign Arizona Real Estate Presentation
- Help Me With eSign Arizona Real Estate Presentation
- Help Me With eSign Arizona Real Estate PPT
- How To eSign Arizona Real Estate Presentation
- How Do I eSign Arizona Real Estate Presentation
- How Can I eSign Arizona Real Estate Presentation
- Help Me With eSign Arizona Real Estate Presentation
- How Can I eSign Arizona Real Estate PPT
- How Can I eSign Arizona Real Estate Presentation
- Can I eSign Arizona Real Estate Presentation