
This Financial Statement Consists of Three Parts Part I, General Statement; Part II, Inventory of Assets and Debts; and Part III Form


What is the financial statement consisting of three parts?
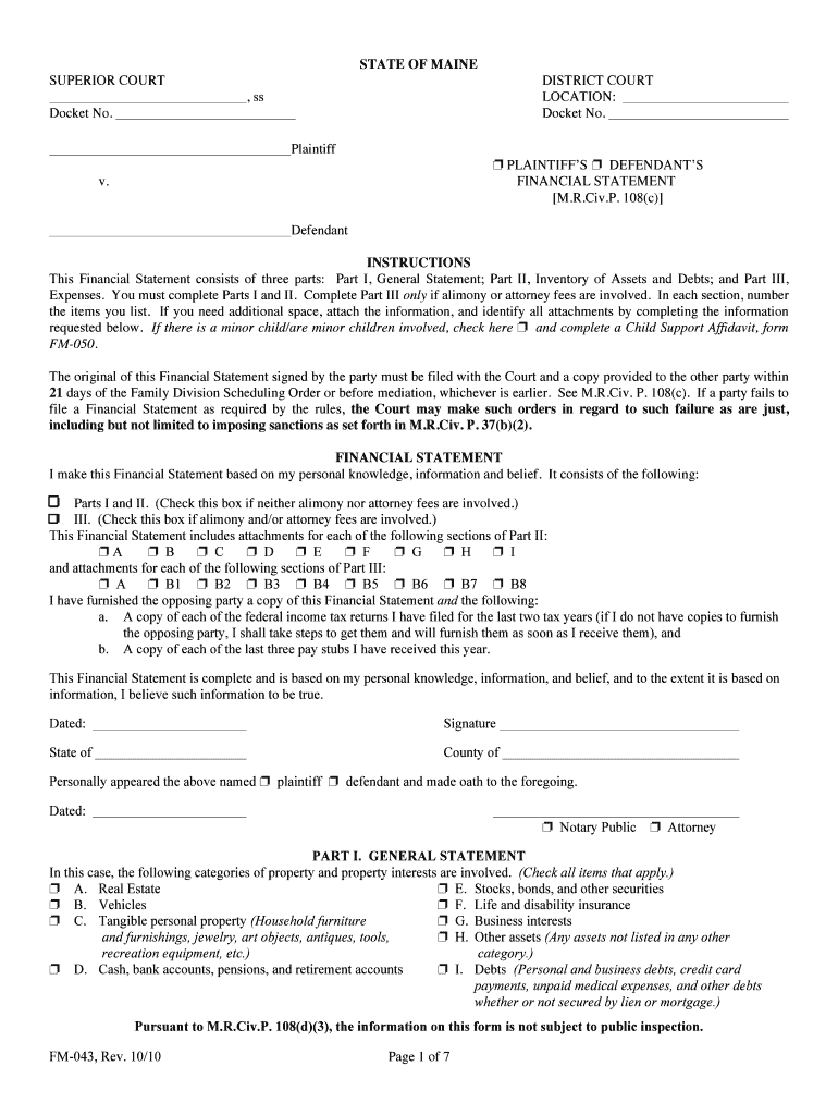
The financial statement that consists of three parts includes a General Statement, an Inventory of Assets and Debts, and a concluding section. This document serves as a comprehensive overview of an individual's or entity's financial position. The General Statement provides a summary of the financial situation, while the Inventory of Assets and Debts details specific items of value and obligations. This structure is essential for transparency and clarity in financial reporting.
How to use the financial statement?
Using the financial statement involves several steps. First, gather all necessary financial information, including assets, debts, income, and expenses. Next, complete each section of the statement accurately, ensuring that all figures are correct and verifiable. Once filled out, the statement can be used for various purposes, such as applying for loans, preparing for tax filings, or providing a clear picture of financial health to stakeholders.
Steps to complete the financial statement
Completing the financial statement requires careful attention to detail. Follow these steps:
- Collect all relevant financial documents, such as bank statements, invoices, and loan agreements.
- Begin with the General Statement, summarizing your financial situation.
- List all assets, including cash, property, and investments in the Inventory of Assets and Debts section.
- Detail all debts, including loans and credit obligations, to provide a complete picture of liabilities.
- Review the entire document for accuracy before finalizing it.
Legal use of the financial statement
The financial statement is legally binding when executed correctly. It must comply with relevant regulations, ensuring that all signatures and information are valid. In the United States, electronic signatures are recognized under laws such as ESIGN and UETA, making it possible to complete and submit this document digitally. Adhering to these legal standards is crucial for the document's acceptance in legal and financial contexts.
Key elements of the financial statement
Key elements of the financial statement include:
- General Statement: A summary of overall financial health.
- Inventory of Assets: A detailed list of owned items of value.
- Inventory of Debts: A comprehensive account of all outstanding obligations.
Each element plays a vital role in providing a clear financial overview, necessary for informed decision-making.
Examples of using the financial statement
The financial statement can be utilized in various scenarios, such as:
- Applying for a mortgage, where lenders require a clear picture of your financial situation.
- Filing taxes, as it helps in accurately reporting income and deductions.
- Assessing personal or business financial health during planning or investment decisions.
These examples illustrate the document's importance in both personal and professional contexts.
Quick guide on how to complete this financial statement consists of three parts part i general statement part ii inventory of assets and debts and part iii
Effortlessly prepare [SKS] on any gadget
The management of online documents has become increasingly favored by businesses and individuals alike. It offers an ideal environmentally friendly alternative to conventional printed and signed paperwork, allowing you to access the right form and securely save it online. airSlate SignNow equips you with all the tools necessary to create, modify, and electronically sign your documents promptly and without interruptions. Manage [SKS] on any device using airSlate SignNow's Android or iOS applications and simplify your document-related processes today.
How to modify and eSign [SKS] easily
- Find [SKS] and click Get Form to begin.
- Utilize the tools we offer to fill out your document.
- Emphasize important sections of the documents or obscure sensitive details with tools that airSlate SignNow specifically provides for this purpose.
- Create your signature with the Sign tool, which takes mere seconds and carries the same legal validity as an authentic ink signature.
- Review all the details and click on the Done button to save your modifications.
- Select your preferred method of delivering your form, whether by email, SMS, invitation link, or downloading it to your computer.
Say goodbye to lost or misplaced documents, tedious form searches, or errors that require reprinting new document copies. airSlate SignNow takes care of all your document management needs with just a few clicks from any device you choose. Modify and electronically sign [SKS] to ensure effective communication at every stage of the form preparation process with airSlate SignNow.
Create this form in 5 minutes or less
Related searches to This Financial Statement Consists Of Three Parts Part I, General Statement; Part II, Inventory Of Assets And Debts; And Part III
Create this form in 5 minutes!
People also ask
-
What is included in the financial statement that consists of three parts?
This financial statement consists of three parts: Part I, General Statement; Part II, Inventory of Assets and Debts; and Part III, which provides detailed insights into financial health. Each section is crucial for understanding an organization’s liabilities, assets, and overall financial situation.
-
How does airSlate SignNow simplify the process of creating a financial statement?
AirSlate SignNow streamlines the process by allowing users to easily create and eSign documents. This financial statement consists of three parts, enabling businesses to compile comprehensive reports without the complexities of traditional document management.
-
What pricing plans does airSlate SignNow offer for businesses?
AirSlate SignNow offers flexible pricing plans tailored to different business needs, starting from basic to advanced features. Each plan empowers users to generate important documents, including those where this financial statement consists of three parts: Part I, General Statement; Part II, Inventory of Assets and Debts; And Part III.
-
Can airSlate SignNow integrate with other financial software?
Yes, airSlate SignNow seamlessly integrates with a variety of financial software, enhancing its functionality. This allows businesses to incorporate their workflows and manage documents, including financial statements that consist of three parts, efficiently.
-
What are the benefits of using airSlate SignNow for financial documentation?
Using airSlate SignNow for financial documentation provides signNow benefits such as increased efficiency, enhanced security, and ease of collaboration. This financial statement consists of three parts, making it simpler for teams to manage their financial records without unnecessary delays.
-
Is it easy to eSign the financial statement that consists of three parts?
Absolutely! With airSlate SignNow, eSigning this financial statement that consists of three parts is quick and easy. Users can sign from any device, ensuring that documents are finalized promptly and securely, facilitating smoother business operations.
-
How can I ensure my financial statements are compliant with regulations?
AirSlate SignNow helps ensure compliance with industry standards and regulations by providing templates and guided workflows. This financial statement consists of three parts, and our platform makes it easy to maintain compliance while focusing on accuracy and completeness.
Get more for This Financial Statement Consists Of Three Parts Part I, General Statement; Part II, Inventory Of Assets And Debts; And Part III
Find out other This Financial Statement Consists Of Three Parts Part I, General Statement; Part II, Inventory Of Assets And Debts; And Part III
- How Do I Sign Pennsylvania Non-Profit Presentation
- Help Me With Sign Pennsylvania Non-Profit Presentation
- Help Me With Sign Pennsylvania Non-Profit Presentation
- How Can I Sign Pennsylvania Non-Profit Presentation
- Can I Sign Pennsylvania Non-Profit Presentation
- How Can I Sign Pennsylvania Non-Profit Presentation
- Can I Sign Pennsylvania Non-Profit Presentation
- How To Sign Rhode Island Non-Profit PDF
- How Do I Sign Rhode Island Non-Profit PDF
- Help Me With Sign Rhode Island Non-Profit PDF
- How Can I Sign Rhode Island Non-Profit PDF
- Can I Sign Rhode Island Non-Profit PDF
- How To Sign Rhode Island Non-Profit PDF
- How To Sign Rhode Island Non-Profit PDF
- How Do I Sign Rhode Island Non-Profit PDF
- Help Me With Sign Rhode Island Non-Profit PDF
- How Do I Sign Rhode Island Non-Profit PDF
- How Can I Sign Rhode Island Non-Profit PDF
- Can I Sign Rhode Island Non-Profit PDF
- Help Me With Sign Rhode Island Non-Profit PDF