
Domestic Abuse Family Violence Protection Act Albuquerque Form


Understanding the Domestic Abuse Family Violence Protection Act in Albuquerque
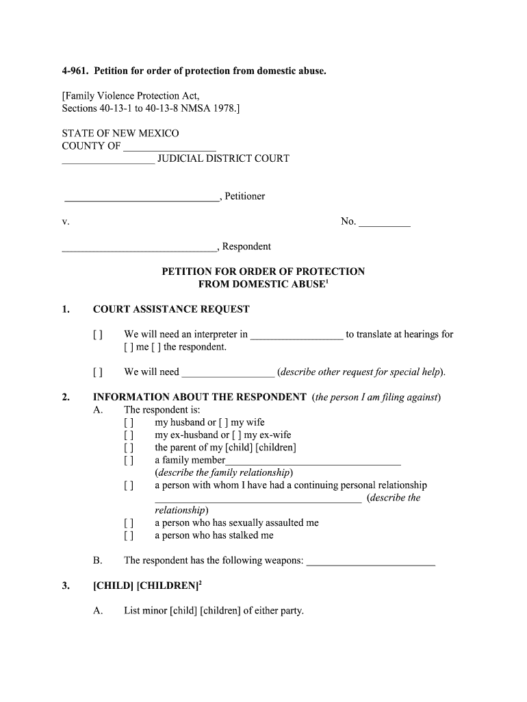
The Domestic Abuse Family Violence Protection Act in Albuquerque is designed to provide legal protections for individuals experiencing domestic abuse. This act allows victims to seek protective orders, ensuring their safety and well-being. It outlines the definition of domestic abuse, which can include physical harm, emotional distress, and threats of violence. Understanding the provisions of this act is essential for those seeking help, as it empowers them to take legal action against their abuser.
Steps to Complete the Domestic Abuse Family Violence Protection Act Form
Completing the Domestic Abuse Family Violence Protection Act form involves several key steps to ensure that it is filled out correctly. First, gather all necessary information, including details about the abuser and any incidents of abuse. Next, accurately fill in the form, providing specific examples of the abuse experienced. It is important to be clear and concise. After completing the form, review it for any errors before submitting it to the appropriate court. This careful process helps ensure that the request for protection is taken seriously by the legal system.
How to Use the Domestic Abuse Family Violence Protection Act
The Domestic Abuse Family Violence Protection Act can be utilized by individuals seeking immediate protection from their abuser. To use this act effectively, victims can file for a protective order through the local court. This order can prohibit the abuser from contacting or coming near the victim. It is advisable to document all incidents of abuse and gather any supporting evidence, such as photographs or witness statements, to strengthen the case. Legal assistance may also be beneficial in navigating the process and ensuring that rights are upheld.
Key Elements of the Domestic Abuse Family Violence Protection Act
Several key elements define the Domestic Abuse Family Violence Protection Act. These include the definition of domestic abuse, the process for obtaining a protective order, and the rights granted to victims. The act emphasizes the importance of immediate safety and provides a framework for legal recourse. Additionally, it outlines the responsibilities of law enforcement in responding to incidents of domestic violence. Understanding these elements can help victims recognize their rights and the resources available to them.
Eligibility Criteria for the Domestic Abuse Family Violence Protection Act
To be eligible for protections under the Domestic Abuse Family Violence Protection Act, individuals must demonstrate that they have experienced domestic abuse as defined by the law. This includes physical violence, emotional abuse, or threats that create a reasonable fear for one’s safety. The act is applicable to individuals in intimate relationships, including spouses, partners, and family members. Eligibility can also depend on the nature of the relationship and the frequency of the abusive behavior.
Obtaining the Domestic Abuse Family Violence Protection Act Form
The Domestic Abuse Family Violence Protection Act form can typically be obtained from local court websites or family law offices in Albuquerque. Many courts also provide physical copies of the form for individuals who prefer to fill it out by hand. It is important to ensure that the correct version of the form is used, as there may be specific requirements or updates that vary by jurisdiction. Accessing the form is the first step in seeking legal protection and support.
Quick guide on how to complete domestic abuse family violence protection act albuquerque
Complete [SKS] effortlessly on any device
Digital document management has gained signNow traction among businesses and individuals alike. It offers a superb eco-friendly substitute for traditional printed and signed documents, allowing you to access the necessary form and securely save it online. airSlate SignNow equips you with the essential tools to create, modify, and electronically sign your documents promptly without any hold-ups. Manage [SKS] on any device using the airSlate SignNow apps for Android or iOS and enhance any document-driven workflow today.
How to modify and electronically sign [SKS] with ease
- Locate [SKS] and click on Get Form to begin.
- Utilize the tools we offer to complete your document.
- Emphasize important sections of your documents or obscure sensitive information with tools that airSlate SignNow specifically provides for that purpose.
- Create your electronic signature using the Sign tool, which takes mere seconds and carries the same legal validity as a traditional handwritten signature.
- Review all the details and click on the Done button to save your changes.
- Choose how you wish to send your form, whether by email, text message (SMS), invitation link, or download it to your computer.
Say goodbye to lost or misplaced files, tedious form searching, or mistakes that necessitate printing new document copies. airSlate SignNow fulfills all your document management needs in just a few clicks from any device you choose. Modify and electronically sign [SKS] and ensure excellent communication at every stage of your form preparation process with airSlate SignNow.
Create this form in 5 minutes or less
Create this form in 5 minutes!
People also ask
-
What is the Domestic Abuse Family Violence Protection Act Albuquerque?
The Domestic Abuse Family Violence Protection Act Albuquerque is a legal framework designed to protect individuals from domestic violence and abuse. It provides necessary measures for victims, such as restraining orders, legal protections, and access to resources. Understanding this act is crucial for victims seeking help in Albuquerque.
-
How can airSlate SignNow support victims of domestic abuse in Albuquerque?
airSlate SignNow can assist victims of domestic abuse in Albuquerque by providing a secure platform for signing legal documents related to the Domestic Abuse Family Violence Protection Act Albuquerque. Our easy-to-use tool simplifies the eSigning process, making it accessible for individuals dealing with sensitive situations. This ensures that important documents can be completed quickly and safely.
-
What features does airSlate SignNow offer for legal documents?
airSlate SignNow offers features tailored for legal documents, including customizable templates, electronic signatures, and secure storage. These features are essential for those navigating the Domestic Abuse Family Violence Protection Act Albuquerque, allowing users to manage their documentation efficiently and with confidence. Convenience and compliance are at the forefront of our platform.
-
Is airSlate SignNow cost-effective for individuals in Albuquerque?
Yes, airSlate SignNow is a cost-effective solution for individuals in Albuquerque needing to manage documents related to the Domestic Abuse Family Violence Protection Act Albuquerque. Our pricing plans cater to various needs, ensuring accessibility for all users. With airSlate SignNow, you get a powerful tool without breaking the bank.
-
Can airSlate SignNow integrate with other platforms used by legal professionals?
Yes, airSlate SignNow integrates seamlessly with various platforms frequently used by legal professionals. This includes popular document management and CRM systems. Such integrations streamline the process for individuals dealing with the Domestic Abuse Family Violence Protection Act Albuquerque, allowing for smooth data transfer and efficient workflow.
-
What benefits does airSlate SignNow provide for legal professionals in Albuquerque?
For legal professionals in Albuquerque, airSlate SignNow enhances efficiency and productivity while managing cases related to the Domestic Abuse Family Violence Protection Act Albuquerque. The platform's robust features simplify document handling, reduce turnaround times, and ensure compliance with legal standards. Ultimately, it supports professionals in better serving their clients.
-
How secure is the information shared through airSlate SignNow?
Security is a top priority for airSlate SignNow, especially for users dealing with sensitive information pertaining to the Domestic Abuse Family Violence Protection Act Albuquerque. The platform employs industry-standard encryption and secure data storage. This ensures that all documents and signatures are protected, instilling confidence in our users.
Get more for Domestic Abuse Family Violence Protection Act Albuquerque
Find out other Domestic Abuse Family Violence Protection Act Albuquerque
- How To Integrate Sign in Banking
- How Do I Integrate Sign in Banking
- Help Me With Integrate Sign in Banking
- How Can I Integrate Sign in Banking
- Can I Integrate Sign in Banking
- How To Use Sign in Banking
- How Do I Use Sign in Banking
- Help Me With Use Sign in Banking
- How Can I Use Sign in Banking
- Can I Use Sign in Banking
- How To Install Sign in Banking
- How Do I Install Sign in Banking
- Help Me With Install Sign in Banking
- How Can I Install Sign in Banking
- Can I Install Sign in Banking
- How To Add Sign in Banking
- How Do I Add Sign in Banking
- Help Me With Add Sign in Banking
- How Can I Add Sign in Banking
- Can I Add Sign in Banking