
Reaffirmation Agreement FAQsDistrict of Rhode Island Form


What is the Reaffirmation Agreement FAQs District Of Rhode Island
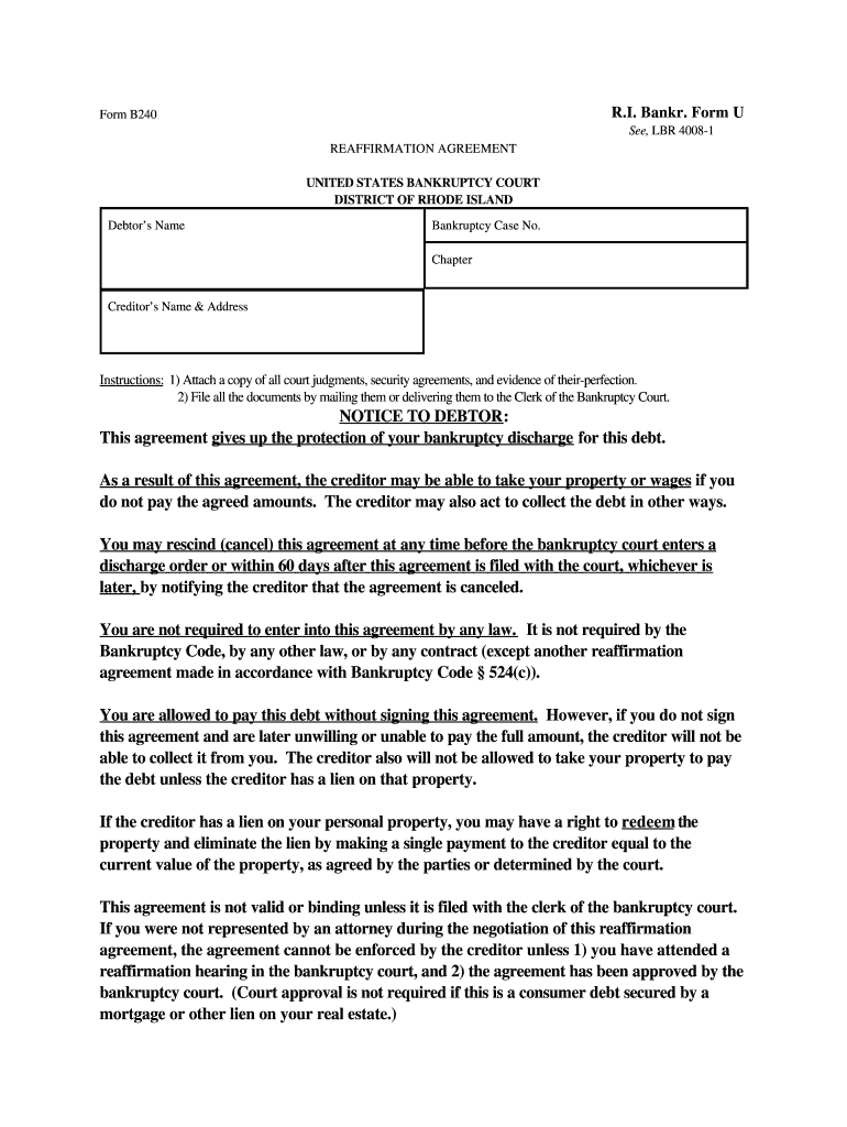
The Reaffirmation Agreement FAQs District Of Rhode Island is a legal document used in bankruptcy proceedings. It allows debtors to reaffirm their debts, typically on secured loans, ensuring that they retain the collateral while continuing to make payments. This agreement is essential for individuals who wish to keep certain assets, such as a home or vehicle, after filing for bankruptcy. Understanding the implications of this agreement is crucial for anyone navigating the bankruptcy process in Rhode Island.
Steps to complete the Reaffirmation Agreement FAQs District Of Rhode Island
Completing the Reaffirmation Agreement requires several key steps to ensure that the document is legally valid and meets all necessary requirements. First, the debtor must review the terms of the existing loan and determine the feasibility of reaffirming the debt. Next, the debtor should fill out the reaffirmation agreement form, which includes details about the loan, the debtor's financial situation, and the terms of repayment. After completing the form, it must be signed by both the debtor and the creditor. Finally, the signed agreement needs to be filed with the bankruptcy court for approval.
Legal use of the Reaffirmation Agreement FAQs District Of Rhode Island
The legal use of the Reaffirmation Agreement in Rhode Island is governed by federal bankruptcy law, which requires that the agreement be made voluntarily and without undue pressure. It is essential that the debtor fully understands the consequences of reaffirming a debt, including the potential for continued liability in the event of default. The agreement must also be approved by the bankruptcy court to ensure that it is in the best interest of the debtor, particularly if the debtor is not represented by an attorney.
State-specific rules for the Reaffirmation Agreement FAQs District Of Rhode Island
In Rhode Island, specific rules apply to the Reaffirmation Agreement that may differ from other states. For example, debtors must ensure that the agreement is filed within a certain timeframe after filing for bankruptcy. Additionally, Rhode Island law may impose particular requirements regarding the disclosures that must be made to the debtor, including the risks associated with reaffirming a debt. It is advisable for debtors to consult with a legal professional familiar with Rhode Island bankruptcy law to navigate these rules effectively.
Examples of using the Reaffirmation Agreement FAQs District Of Rhode Island
Examples of using the Reaffirmation Agreement in Rhode Island typically involve secured loans, such as mortgages or auto loans. For instance, a debtor who wishes to keep their home may enter into a reaffirmation agreement with their mortgage lender, committing to continue making payments despite their bankruptcy status. Similarly, a debtor may reaffirm an auto loan to retain their vehicle. Each case is unique, and the decision to reaffirm should be based on an individual's financial circumstances and long-term goals.
Required Documents for the Reaffirmation Agreement FAQs District Of Rhode Island
To complete the Reaffirmation Agreement, several documents are typically required. These may include the original loan agreement, proof of income, a list of assets and liabilities, and any court documents related to the bankruptcy filing. It is important to gather all necessary documentation to ensure that the reaffirmation process is smooth and compliant with legal requirements. Having these documents ready can also facilitate discussions with creditors and legal advisors.
Quick guide on how to complete reaffirmation agreement faqsdistrict of rhode island
Effortlessly Complete [SKS] on Any Device
Online document management has gained increased traction among businesses and individuals. It offers a perfect eco-friendly alternative to traditional printed and signed paperwork, as you can obtain the correct format and securely store it online. airSlate SignNow equips you with all the necessary resources to create, modify, and eSign your documents swiftly without delays. Manage [SKS] on any platform using airSlate SignNow's Android or iOS applications and enhance any document-centric process today.
How to Modify and eSign [SKS] with Ease
- Find [SKS] and click on Get Form to begin.
- Utilize the tools we provide to finalize your document.
- Emphasize important sections of the documents or obscure private information with tools that airSlate SignNow offers specifically for that purpose.
- Create your signature using the Sign feature, which takes mere seconds and carries the same legal validity as a conventional wet ink signature.
- Review the information and click the Done button to save your adjustments.
- Select your preferred method to send your form, via email, SMS, invitation link, or download it to your computer.
Eliminate concerns about lost or mislaid documents, tedious form navigation, or errors that require generating new copies. airSlate SignNow meets your document management needs in just a few clicks from any device you choose. Modify and eSign [SKS] to ensure excellent communication at every stage of the form preparation workflow with airSlate SignNow.
Create this form in 5 minutes or less
Related searches to Reaffirmation Agreement FAQsDistrict Of Rhode Island
Create this form in 5 minutes!
People also ask
-
What is a reaffirmation agreement in the District of Rhode Island?
A reaffirmation agreement in the District of Rhode Island is a legal document that allows a borrower to retain certain secured property after declaring bankruptcy. It is essential to understand how it impacts your financial obligations and credit. For detailed insights, refer to the Reaffirmation Agreement FAQsDistrict Of Rhode Island.
-
How can I create a reaffirmation agreement using airSlate SignNow?
With airSlate SignNow, creating a reaffirmation agreement is straightforward. Our user-friendly platform offers templates and the ability to eSign documents securely. For step-by-step guidance on creating these documents, please check our Reaffirmation Agreement FAQsDistrict Of Rhode Island.
-
What are the benefits of using airSlate SignNow for reaffirmation agreements?
Using airSlate SignNow for reaffirmation agreements offers numerous benefits, including cost-effectiveness and ease of use. You can expedite the signing process and ensure compliance with legal standards. For more details, consult the Reaffirmation Agreement FAQsDistrict Of Rhode Island.
-
Are there any fees associated with using airSlate SignNow for reaffirmation agreements?
AirSlate SignNow offers competitive pricing plans tailored for businesses, including features for managing reaffirmation agreements. There may be additional costs for premium features, which are clearly outlined on our pricing page. Learn more in the Reaffirmation Agreement FAQsDistrict Of Rhode Island.
-
Can I integrate airSlate SignNow with other software for managing documents?
Absolutely! AirSlate SignNow easily integrates with a variety of software applications, enhancing your document management capabilities. Integration can streamline processes related to reaffirmation agreements. Explore integration options in the Reaffirmation Agreement FAQsDistrict Of Rhode Island.
-
What types of documents can I eSign with airSlate SignNow?
With airSlate SignNow, you can eSign a wide range of documents, including reaffirmation agreements, contracts, and more. Our platform supports various document formats, making it versatile for your business needs. Check the Reaffirmation Agreement FAQsDistrict Of Rhode Island for examples.
-
How secure is my information with airSlate SignNow?
AirSlate SignNow prioritizes your data security through advanced encryption methods and secure storage solutions. Your information related to reaffirmation agreements is protected to ensure confidentiality. For more info on security measures, refer to the Reaffirmation Agreement FAQsDistrict Of Rhode Island.
Get more for Reaffirmation Agreement FAQsDistrict Of Rhode Island
Find out other Reaffirmation Agreement FAQsDistrict Of Rhode Island
- Electronic signature Delaware Police Memorandum Of Understanding Safe
- How To Electronic signature Delaware Police Operating Agreement
- How Do I Electronic signature Delaware Police Operating Agreement
- Help Me With Electronic signature Delaware Police Operating Agreement
- How Can I Electronic signature Delaware Police Operating Agreement
- Can I Electronic signature Delaware Police Operating Agreement
- How To Electronic signature Colorado Police Business Letter Template
- Electronic signature Colorado Police Business Letter Template Online
- How Do I Electronic signature Colorado Police Business Letter Template
- Electronic signature California Police Separation Agreement Online
- Help Me With Electronic signature Colorado Police Business Letter Template
- How Can I Electronic signature Colorado Police Business Letter Template
- Electronic signature Colorado Police Business Letter Template Computer
- Electronic signature California Police Separation Agreement Computer
- Can I Electronic signature Colorado Police Business Letter Template
- Electronic signature California Police Separation Agreement Mobile
- Electronic signature Colorado Police Business Letter Template Mobile
- Electronic signature Delaware Police Residential Lease Agreement Online
- Electronic signature California Police Separation Agreement Now
- Electronic signature Delaware Police Residential Lease Agreement Computer