
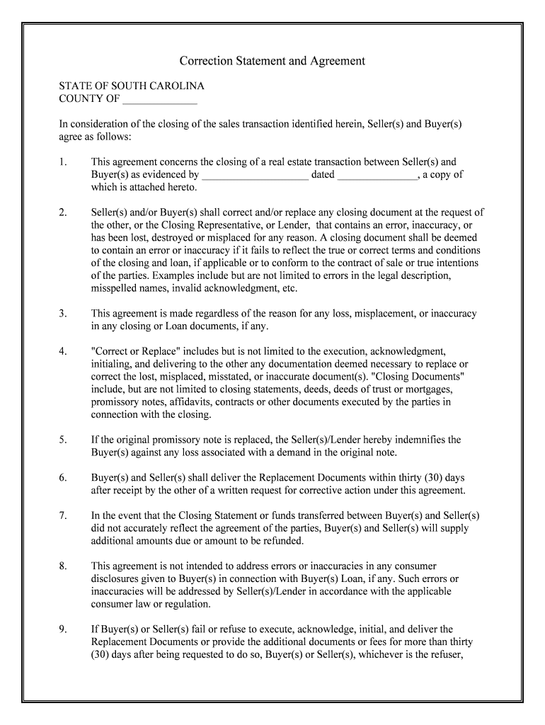
EXCLUSIVE RIGHT to SELL AGREEMENT LISTING AGREEMENT in Form


What is the exclusive right to sell agreement listing agreement in?
The exclusive right to sell agreement listing agreement is a legal document that grants a real estate agent or broker the sole authority to market and sell a property. This agreement ensures that the agent is compensated for their efforts, regardless of who ultimately sells the property. It typically outlines the terms of the listing, including the duration, commission rate, and any specific conditions agreed upon by the seller and the agent.
Key elements of the exclusive right to sell agreement listing agreement in
Several key elements define the exclusive right to sell agreement listing agreement. These include:
- Property Description: A detailed description of the property being sold, including its address and unique features.
- Listing Price: The price at which the property will be listed for sale.
- Commission Structure: The percentage or flat fee that the agent will receive upon the successful sale of the property.
- Duration of Agreement: The time frame during which the agreement is valid, after which it may be renewed or terminated.
- Seller's Obligations: Any responsibilities the seller must fulfill, such as maintaining the property or allowing showings.
Steps to complete the exclusive right to sell agreement listing agreement in
Completing the exclusive right to sell agreement listing agreement involves several steps:
- Gather Property Information: Collect all relevant details about the property, including its features and market value.
- Select a Real Estate Agent: Choose an agent who is experienced and knowledgeable about your local market.
- Negotiate Terms: Discuss and agree on the listing price, commission, and duration of the agreement.
- Review the Agreement: Carefully read through the agreement to ensure all terms are clear and acceptable.
- Sign the Agreement: Both parties should sign the document, making it legally binding.
Legal use of the exclusive right to sell agreement listing agreement in
The legal use of the exclusive right to sell agreement listing agreement is essential for protecting the interests of both the seller and the agent. This agreement is recognized under U.S. law, provided it meets specific legal standards. It must include all necessary elements, be signed by both parties, and comply with state regulations regarding real estate transactions. Proper execution ensures that the agreement is enforceable in a court of law.
State-specific rules for the exclusive right to sell agreement listing agreement in
Each state in the U.S. has its own regulations governing real estate transactions, including the exclusive right to sell agreement listing agreement. It is crucial for sellers and agents to be aware of their state's specific rules, which may include:
- Licensing requirements for real estate agents.
- Mandatory disclosures that must be included in the agreement.
- Specific forms or templates that must be used.
Consulting with a local real estate attorney or agent can help ensure compliance with these regulations.
How to use the exclusive right to sell agreement listing agreement in
Using the exclusive right to sell agreement listing agreement involves several practical steps. Once the agreement is signed, the agent can begin marketing the property through various channels, such as online listings, open houses, and networking with other agents. The agent is responsible for representing the seller's interests, providing updates on potential buyers, and negotiating offers. Throughout the process, clear communication between the seller and the agent is vital to ensure a successful sale.
Quick guide on how to complete exclusive right to sell agreement listing agreement in
Complete [SKS] effortlessly on any device
Managing documents online has become increasingly favored by businesses and individuals. It serves as an ideal environmentally-friendly substitute for traditional printed and signed documents, as you can access the correct form and securely store it in the cloud. airSlate SignNow provides all the tools you need to create, modify, and electronically sign your documents quickly and without complications. Handle [SKS] on any device using airSlate SignNow apps for Android or iOS and enhance any document-related process today.
The easiest way to modify and eSign [SKS] with ease
- Find [SKS] and click Get Form to begin.
- Utilize the tools we offer to fill out your document.
- Select important sections of the documents or redact sensitive information with tools that airSlate SignNow provides specifically for that purpose.
- Create your signature using the Sign tool, which takes just seconds and holds the same legal validity as a traditional handwritten signature.
- Review the details and click the Done button to save your modifications.
- Decide how you wish to send your form, via email, SMS, or invite link, or download it to your computer.
Say goodbye to lost or misplaced documents, tedious form searches, or mistakes that necessitate the printing of new copies. airSlate SignNow meets your document management needs in just a few clicks from any device you choose. Modify and eSign [SKS] while ensuring seamless communication throughout the form preparation process with airSlate SignNow.
Create this form in 5 minutes or less
Related searches to EXCLUSIVE RIGHT TO SELL AGREEMENT LISTING AGREEMENT In
Create this form in 5 minutes!
People also ask
-
What is an EXCLUSIVE RIGHT TO SELL AGREEMENT LISTING AGREEMENT In?
An EXCLUSIVE RIGHT TO SELL AGREEMENT LISTING AGREEMENT In is a legal contract that gives a real estate agent the exclusive right to market and sell a property. This agreement ensures that the agent receives a commission regardless of who finds a buyer, providing a strong incentive to maximize the property's exposure. Understanding this agreement is crucial for sellers to ensure they are making informed decisions.
-
How does airSlate SignNow facilitate the EXCLUSIVE RIGHT TO SELL AGREEMENT LISTING AGREEMENT In?
airSlate SignNow offers an efficient platform for eSigning the EXCLUSIVE RIGHT TO SELL AGREEMENT LISTING AGREEMENT In documents securely and conveniently. With our user-friendly interface, you can send and sign documents instantly, protecting the interests of all parties involved. This streamlines the process and enhances the overall experience for both real estate agents and sellers.
-
What are the pricing options for using airSlate SignNow with my EXCLUSIVE RIGHT TO SELL AGREEMENT LISTING AGREEMENT In?
airSlate SignNow provides flexible pricing plans that cater to individual users as well as businesses. You can choose from a monthly or annual subscription, depending on your needs. All plans come with the necessary features to manage your EXCLUSIVE RIGHT TO SELL AGREEMENT LISTING AGREEMENT In efficiently, ensuring value for your investment.
-
What features does airSlate SignNow offer for handling EXCLUSIVE RIGHT TO SELL AGREEMENT LISTING AGREEMENT In?
airSlate SignNow includes key features for the management of your EXCLUSIVE RIGHT TO SELL AGREEMENT LISTING AGREEMENT In, such as document templates, real-time tracking, and secure storage. The platform also enables seamless collaboration with multiple parties to expedite the signing process. These features empower real estate agents to work efficiently and effectively.
-
Can I integrate airSlate SignNow with other real estate tools for my EXCLUSIVE RIGHT TO SELL AGREEMENT LISTING AGREEMENT In?
Yes, airSlate SignNow supports integration with various real estate tools and CRMs, making it easier to manage your EXCLUSIVE RIGHT TO SELL AGREEMENT LISTING AGREEMENT In alongside other processes. This compatibility helps streamline workflows, allowing you to keep your documentation organized and accessible. Leveraging these integrations maximizes efficiency throughout your real estate transactions.
-
What are the benefits of using airSlate SignNow for my EXCLUSIVE RIGHT TO SELL AGREEMENT LISTING AGREEMENT In?
Utilizing airSlate SignNow for your EXCLUSIVE RIGHT TO SELL AGREEMENT LISTING AGREEMENT In brings numerous benefits, including time savings, enhanced security, and ease of use. The platform allows for quick, electronic signing, reducing the turnaround time signNowly. Additionally, the secure storage options help you keep all your important documents in one place.
-
Is airSlate SignNow compliant with legal regulations for EXCLUSIVE RIGHT TO SELL AGREEMENT LISTING AGREEMENT In?
Absolutely! airSlate SignNow is designed to comply with all relevant legal regulations for electronic signatures, ensuring your EXCLUSIVE RIGHT TO SELL AGREEMENT LISTING AGREEMENT In is legally binding. This compliance not only provides peace of mind but also reassures all parties involved that the agreement meets legal standards. You can confidently use our platform for your real estate documents.
Get more for EXCLUSIVE RIGHT TO SELL AGREEMENT LISTING AGREEMENT In
Find out other EXCLUSIVE RIGHT TO SELL AGREEMENT LISTING AGREEMENT In
- How Do I eSign Virginia Life Sciences PPT
- How To eSign Virginia Life Sciences PPT
- How Do I eSign Virginia Life Sciences PPT
- Help Me With eSign Virginia Life Sciences PPT
- Help Me With eSign Virginia Life Sciences PPT
- How Can I eSign Virginia Life Sciences PPT
- Can I eSign Virginia Life Sciences PPT
- How Can I eSign Virginia Life Sciences PPT
- How To eSign Virginia Life Sciences PPT
- Can I eSign Virginia Life Sciences PPT
- How To eSign Virginia Life Sciences Presentation
- How Do I eSign Virginia Life Sciences Presentation
- How Do I eSign Virginia Life Sciences PPT
- Help Me With eSign Virginia Life Sciences Presentation
- How Can I eSign Virginia Life Sciences Presentation
- Can I eSign Virginia Life Sciences Presentation
- Help Me With eSign Virginia Life Sciences PPT
- How To eSign Virginia Life Sciences Presentation
- How To eSign Virginia Life Sciences Presentation
- How Do I eSign Virginia Life Sciences Presentation