
Justia Exemption Claim Washington Garnishment Form


What is the Justia Exemption Claim Washington Garnishment
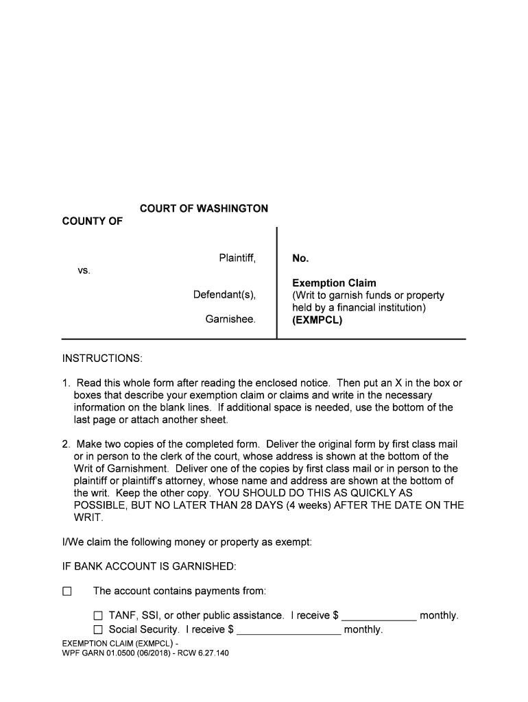
The Justia Exemption Claim Washington Garnishment is a legal form used by individuals in Washington State to claim exemptions from garnishment of their wages or bank accounts. This form is essential for protecting certain income and assets from being seized to satisfy a debt. It is designed to ensure that individuals can maintain a minimum standard of living while addressing their financial obligations. The form outlines specific exemptions allowed under Washington law, which may include income from social security, unemployment benefits, and certain retirement accounts.
How to use the Justia Exemption Claim Washington Garnishment
To effectively use the Justia Exemption Claim Washington Garnishment, individuals must first determine their eligibility for the exemptions listed on the form. Once eligibility is established, the form should be completed with accurate information regarding the individual's financial situation. It is crucial to provide details about income sources and any relevant documentation to support the claim. After completing the form, it must be submitted to the court or the creditor as directed, ensuring that all deadlines are met to protect the exemptions claimed.
Steps to complete the Justia Exemption Claim Washington Garnishment
Completing the Justia Exemption Claim Washington Garnishment involves several key steps:
- Gather necessary documentation, including proof of income and any relevant financial statements.
- Review the exemptions listed on the form to determine which apply to your situation.
- Fill out the form accurately, ensuring all required fields are completed.
- Attach supporting documents that validate your claims for exemption.
- Submit the completed form to the appropriate court or creditor by the specified deadline.
Legal use of the Justia Exemption Claim Washington Garnishment
The legal use of the Justia Exemption Claim Washington Garnishment is governed by Washington State laws regarding garnishment and exemptions. This form must be filed correctly and timely to be considered valid. Failure to comply with legal requirements may result in the loss of the claimed exemptions. It is important to understand the legal framework surrounding garnishments in Washington, including the types of income that are exempt and the procedures for contesting a garnishment.
Eligibility Criteria
Eligibility for the Justia Exemption Claim Washington Garnishment is based on specific criteria outlined in Washington law. Generally, individuals may qualify for exemptions based on their income sources, such as public assistance, social security, or disability benefits. Additionally, certain assets may be exempt from garnishment, including retirement accounts and necessary personal property. It is essential to review these criteria carefully to determine if you qualify for an exemption before filing the claim.
Form Submission Methods
The Justia Exemption Claim Washington Garnishment can be submitted through various methods, depending on the requirements of the court or creditor. Common submission methods include:
- Online submission via the court's electronic filing system, if available.
- Mailing the completed form and supporting documents to the appropriate court or creditor.
- In-person delivery at the court clerk's office or the creditor's location.
Key elements of the Justia Exemption Claim Washington Garnishment
Key elements of the Justia Exemption Claim Washington Garnishment include the identification of the debtor, the specific exemptions being claimed, and the supporting documentation that justifies the claim. The form must clearly outline the income and assets that are being protected from garnishment, along with any relevant legal citations that support the exemptions. Accurate completion of these elements is critical for the form to be recognized as valid by the court or creditor.
Quick guide on how to complete justia exemption claim washington garnishment
Effortlessly Prepare [SKS] on Any Device
Digital document management has gained popularity among businesses and individuals. It offers an excellent eco-friendly substitute for conventional printed and signed documents, as you can access the necessary form and securely store it online. airSlate SignNow provides you with all the tools you require to create, modify, and eSign your documents quickly and without complications. Manage [SKS] on any device using airSlate SignNow Android or iOS applications and enhance any document-related workflow today.
How to Modify and eSign [SKS] with Ease
- Obtain [SKS] and click Get Form to begin.
- Use the tools we offer to complete your document.
- Emphasize signNow sections of the documents or obscure sensitive information with tools that airSlate SignNow specifically provides for this purpose.
- Create your eSignature with the Sign feature, which takes mere seconds and has the same legal validity as a traditional handwritten signature.
- Review all details, then click on the Done button to save your changes.
- Select your preferred method to send your form, whether by email, SMS, or invitation link, or download it to your computer.
Eliminate concerns about lost or misfiled documents, tedious form searches, or errors that necessitate new document copies. airSlate SignNow meets all your requirements for document management in just a few clicks from any device of your choice. Modify and eSign [SKS] and guarantee exceptional communication at every step of the document preparation process with airSlate SignNow.
Create this form in 5 minutes or less
Create this form in 5 minutes!
People also ask
-
What is a Justia Exemption Claim Washington Garnishment?
A Justia Exemption Claim Washington Garnishment is a legal claim made by debtors to protect certain assets from garnishment under Washington law. This process ensures that individuals can retain essential funds and property while managing their debts. Understanding this exemption is critical for anyone facing potential garnishment in Washington.
-
How can airSlate SignNow help with my Justia Exemption Claim Washington Garnishment?
airSlate SignNow provides a user-friendly platform to streamline the document preparation and signing process for your Justia Exemption Claim Washington Garnishment. With our eSignature features, you can quickly and securely gather the necessary signatures needed for your claim. This saves you time and ensures compliance with legal requirements.
-
What features are included in the airSlate SignNow platform for managing garnishment claims?
The airSlate SignNow platform includes robust features such as customizable templates, secure cloud storage, and real-time tracking of document status. These features are particularly useful for preparing and managing your Justia Exemption Claim Washington Garnishment. Additionally, our platform supports multiple file formats for ease of use.
-
Is airSlate SignNow cost-effective for filing a Justia Exemption Claim Washington Garnishment?
Yes, airSlate SignNow is designed to be a cost-effective solution for individuals and businesses alike when preparing to file a Justia Exemption Claim Washington Garnishment. Our pricing structure is competitive, offering various plans to fit your needs without sacrificing essential functionality. Plus, it can save you money on printing and postage costs.
-
How secure is my information when using airSlate SignNow for legal documents?
Security is a top priority at airSlate SignNow. Our platform employs advanced encryption and compliance with industry standards to protect your sensitive information, especially for documents related to your Justia Exemption Claim Washington Garnishment. You can trust that your data is safe with us as you navigate your legal processes.
-
Can I integrate airSlate SignNow with other applications for my Justia Exemption Claim Washington Garnishment?
Absolutely! airSlate SignNow seamlessly integrates with various applications, including CRM systems and cloud storage services, to enhance your workflow for managing your Justia Exemption Claim Washington Garnishment. This integration allows you to automate tasks and keep all related documents organized in one place.
-
What are the benefits of using airSlate SignNow for legal document management?
Using airSlate SignNow for your legal document management offers numerous benefits, such as improved efficiency, reduced turnaround times, and enhanced accuracy when preparing your Justia Exemption Claim Washington Garnishment. Our electronic signature capabilities ensure legally binding agreements without the hassles of traditional methods, making your experience smoother.
Get more for Justia Exemption Claim Washington Garnishment
Find out other Justia Exemption Claim Washington Garnishment
- eSignature Michigan Courts POA Computer
- eSignature Michigan Courts POA Mobile
- eSignature Minnesota Courts Profit And Loss Statement Safe
- eSignature Michigan Courts POA Now
- eSignature Michigan Courts POA Later
- How Do I eSignature South Dakota Sports Rental Application
- eSignature Michigan Courts POA Myself
- eSignature Michigan Courts POA Free
- eSignature Michigan Courts POA Secure
- eSignature Michigan Courts POA Fast
- Help Me With eSignature South Dakota Sports Rental Application
- eSignature Michigan Courts POA Simple
- eSignature Michigan Courts POA Easy
- How To eSignature Michigan Courts POA
- eSignature Michigan Courts POA Safe
- How Can I eSignature South Dakota Sports Rental Application
- How Do I eSignature Michigan Courts POA
- eSignature Minnesota Courts Business Letter Template Online
- Can I eSignature South Dakota Sports Rental Application
- eSignature Minnesota Courts Business Letter Template Computer