
District of Columbia Warranty Deed from Parents to Child with Life Estate Reserved by Parents Form


What is the District Of Columbia Warranty Deed From Parents To Child With Life Estate Reserved By Parents
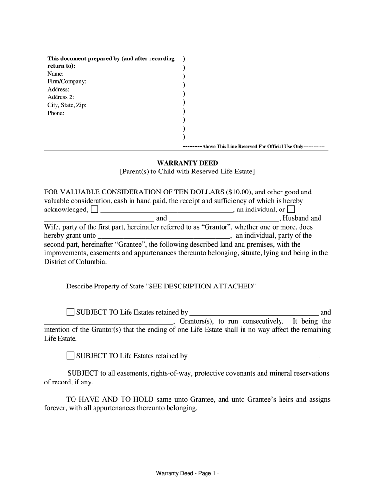
The District Of Columbia Warranty Deed From Parents To Child With Life Estate Reserved By Parents is a legal document that facilitates the transfer of property ownership from parents to their child while allowing the parents to retain the right to use and occupy the property for the duration of their lives. This type of deed ensures that the child will receive full ownership of the property upon the parents' passing, providing a secure and structured way to manage family property transitions. The life estate reserved by the parents means they maintain control and enjoyment of the property until their death, after which the child becomes the sole owner.
How to use the District Of Columbia Warranty Deed From Parents To Child With Life Estate Reserved By Parents
Using the District Of Columbia Warranty Deed From Parents To Child With Life Estate Reserved By Parents involves several key steps. First, both parties should review the property details and agree on the terms of the transfer. Next, the deed must be properly filled out, including the legal description of the property, the names of the parents and child, and the specific language that reserves the life estate for the parents. Once completed, the deed must be signed by the parents in the presence of a notary public to ensure its validity. Finally, the signed deed should be recorded with the District of Columbia Recorder of Deeds to make the transfer official.
Steps to complete the District Of Columbia Warranty Deed From Parents To Child With Life Estate Reserved By Parents
Completing the District Of Columbia Warranty Deed From Parents To Child With Life Estate Reserved By Parents involves a series of structured steps:
- Gather necessary information, including the legal description of the property and the full names of the parents and child.
- Obtain a blank warranty deed form, which can often be found online or through legal resources.
- Fill out the form accurately, ensuring all details are correct and complete.
- Include specific language that reserves a life estate for the parents.
- Have the parents sign the document in front of a notary public.
- Submit the signed deed to the District of Columbia Recorder of Deeds for recording.
Key elements of the District Of Columbia Warranty Deed From Parents To Child With Life Estate Reserved By Parents
Several key elements are essential for the District Of Columbia Warranty Deed From Parents To Child With Life Estate Reserved By Parents to be effective:
- Grantor and Grantee Information: The names and addresses of the parents (grantors) and the child (grantee) must be clearly stated.
- Legal Description of Property: A detailed description of the property being transferred is crucial for legal clarity.
- Reservation of Life Estate: Specific language must be included to indicate that the parents retain a life estate.
- Signatures and Notarization: The document must be signed by the grantors and notarized to ensure its legal standing.
- Recording: The deed must be recorded with the appropriate government office to finalize the transfer.
Legal use of the District Of Columbia Warranty Deed From Parents To Child With Life Estate Reserved By Parents
The legal use of the District Of Columbia Warranty Deed From Parents To Child With Life Estate Reserved By Parents is governed by property and estate laws within the District of Columbia. This deed is utilized primarily for estate planning purposes, allowing parents to transfer property to their child while retaining the right to live in the property during their lifetime. It is important to ensure compliance with local laws and regulations when drafting and executing this deed to avoid potential disputes or legal challenges in the future.
State-specific rules for the District Of Columbia Warranty Deed From Parents To Child With Life Estate Reserved By Parents
In the District of Columbia, specific rules apply to the Warranty Deed From Parents To Child With Life Estate Reserved By Parents. The deed must comply with local statutes regarding property transfers, including the requirement for notarization and proper recording. Additionally, the deed should include clear language that defines the life estate and any conditions associated with it. It is advisable for individuals to consult with a legal professional familiar with D.C. property law to ensure all requirements are met and to address any unique circumstances related to the property or family situation.
Quick guide on how to complete district of columbia warranty deed from parents to child with life estate reserved by parents
Complete [SKS] effortlessly on any device
Web-based document management has gained popularity among businesses and individuals alike. It offers an ideal eco-friendly substitute for traditional printed and signed documents, allowing you to obtain the correct format and securely store it online. airSlate SignNow equips you with all the necessary tools to create, alter, and eSign your files swiftly without interruptions. Manage [SKS] on any device using the airSlate SignNow Android or iOS applications and enhance any document-centric operation today.
How to modify and eSign [SKS] easily
- Obtain [SKS] and click Get Form to begin.
- Utilize the tools we offer to fill out your form.
- Emphasize critical sections of your documents or obscure sensitive information using tools that airSlate SignNow provides specifically for this purpose.
- Create your eSignature with the Sign tool, which takes just moments and carries the same legal validity as a conventional wet ink signature.
- Review the details and then click on the Done button to save your modifications.
- Choose how you wish to send your form: via email, SMS, or invitation link, or download it to your computer.
Eliminate concerns about lost or misplaced documents, tedious form navigation, or errors that necessitate printing new document copies. airSlate SignNow addresses all your document management needs in a few clicks from a device of your choice. Edit and eSign [SKS] to ensure outstanding communication at any stage of your form preparation process with airSlate SignNow.
Create this form in 5 minutes or less
Create this form in 5 minutes!
People also ask
-
What is a District Of Columbia Warranty Deed From Parents To Child With Life Estate Reserved By Parents?
A District Of Columbia Warranty Deed From Parents To Child With Life Estate Reserved By Parents is a legal document that allows parents to transfer ownership of property to their child while retaining the right to live in the property for their lifetime. This deed ensures that parents maintain certain rights while providing for the child’s future ownership.
-
What are the benefits of using a District Of Columbia Warranty Deed From Parents To Child With Life Estate Reserved By Parents?
The primary benefits include the ability to avoid probate, preserve family assets, and potentially reduce estate taxes. Additionally, it establishes clarity in property ownership and rights, which can protect both parents and children in the long run.
-
How much does it cost to create a District Of Columbia Warranty Deed From Parents To Child With Life Estate Reserved By Parents?
The cost can vary depending on factors such as the complexity of the deed and whether you use a legal service or consult with a lawyer. Typically, you can expect to pay anywhere from a few hundred dollars to over a thousand for professional assistance to ensure the document meets all legal requirements.
-
Can I create a District Of Columbia Warranty Deed From Parents To Child With Life Estate Reserved By Parents using airSlate SignNow?
Yes, airSlate SignNow enables you to create, customize, and eSign a District Of Columbia Warranty Deed From Parents To Child With Life Estate Reserved By Parents easily. Our platform provides templates and a user-friendly interface that make the process straightforward and efficient.
-
Is it necessary to have a lawyer when creating a District Of Columbia Warranty Deed From Parents To Child With Life Estate Reserved By Parents?
While it's not mandatory to have a lawyer, it's highly recommended to ensure that the District Of Columbia Warranty Deed From Parents To Child With Life Estate Reserved By Parents is executed properly and complies with all legal requirements. Consulting a lawyer can help address specific concerns and prevent future legal issues.
-
What is the process for recording a District Of Columbia Warranty Deed From Parents To Child With Life Estate Reserved By Parents?
To record a District Of Columbia Warranty Deed From Parents To Child With Life Estate Reserved By Parents, you must complete the deed, have it signed, and then submit it to the appropriate governmental office in Washington, D.C. Proper recording is essential for the deed to be legally effective and to inform others of the property ownership.
-
Are there any tax implications associated with a District Of Columbia Warranty Deed From Parents To Child With Life Estate Reserved By Parents?
Yes, there can be gift tax implications depending on the value of the property transferred. It is advisable to consult with a tax professional to understand the potential tax consequences and ensure compliance with federal and local tax regulations.
Get more for District Of Columbia Warranty Deed From Parents To Child With Life Estate Reserved By Parents
- Computer friendly resume form
- Search for tomorrow j richard stevens form
- Understanding patient needs congressmen aid nuclear medicine jnm snmjournals form
- Stevens johnson syndrome foundation online newsletter sjsupport form
- The dirty little secrets of search agriculture defense coalition agriculturedefensecoalition form
- Search optimization and its dirty little secrets nytimes com cs washington form
- How much is sir john stevens being paid police service of psni police form
- Iep department of water resources water ca form
Find out other District Of Columbia Warranty Deed From Parents To Child With Life Estate Reserved By Parents
- eSign Alabama Divorce Settlement Agreement Template Computer
- eSign Maine Child Custody Agreement Template Safe
- Can I eSign Alabama Divorce Settlement Agreement Template
- eSign Alabama Divorce Settlement Agreement Template Mobile
- eSign Alabama Divorce Settlement Agreement Template Now
- eSign Alaska Divorce Settlement Agreement Template Online
- eSign Alaska Divorce Settlement Agreement Template Computer
- eSign Alaska Divorce Settlement Agreement Template Mobile
- eSign Alabama Divorce Settlement Agreement Template Later
- eSign Alaska Divorce Settlement Agreement Template Now
- eSign Alaska Divorce Settlement Agreement Template Later
- eSign Alabama Divorce Settlement Agreement Template Myself
- eSign Alaska Divorce Settlement Agreement Template Myself
- eSign Alaska Divorce Settlement Agreement Template Free
- eSign Alabama Divorce Settlement Agreement Template Free
- How To eSign South Carolina Prenuptial Agreement Template
- eSign Alaska Divorce Settlement Agreement Template Secure
- eSign Alaska Divorce Settlement Agreement Template Fast
- eSign Alabama Divorce Settlement Agreement Template Secure
- eSign Alaska Divorce Settlement Agreement Template Simple