
Warranty Deed from Husband and Wife to Corporation Georgia Form


What is the warranty deed from husband and wife to corporation in Georgia?
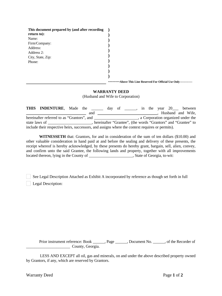
The warranty deed from husband and wife to corporation in Georgia is a legal document that transfers ownership of property from a married couple to a corporation. This type of deed provides a guarantee that the property is free from any liens or encumbrances, ensuring that the corporation receives clear title. It is commonly used in real estate transactions where a couple wishes to convey their property rights to a business entity, facilitating the management and operation of the property under corporate ownership.
Key elements of the warranty deed from husband and wife to corporation in Georgia
Several critical components must be included in the warranty deed to ensure its validity. These elements include:
- Grantor and Grantee Information: The full names and addresses of the husband and wife (grantors) and the corporation (grantee) must be clearly stated.
- Property Description: A detailed legal description of the property being transferred is essential, including boundaries and any relevant identifiers.
- Consideration: The deed should specify the consideration or payment made for the transfer, even if it is nominal.
- Signature and Notarization: Both spouses must sign the deed in the presence of a notary public to validate the document.
Steps to complete the warranty deed from husband and wife to corporation in Georgia
Completing the warranty deed involves several straightforward steps:
- Gather necessary information about the property, including its legal description and any existing liens.
- Draft the warranty deed, ensuring all required elements are included.
- Both spouses must review the document for accuracy and completeness.
- Sign the deed in front of a notary public to authenticate the signatures.
- File the completed deed with the appropriate county office to record the transfer of ownership officially.
Legal use of the warranty deed from husband and wife to corporation in Georgia
The warranty deed is legally binding once properly executed and recorded. It serves as a public record of the property transfer, providing protection to the corporation against claims from third parties. To ensure compliance with Georgia law, it is essential to follow all procedural requirements, including notarization and filing. Failure to adhere to these legal stipulations may result in challenges to the validity of the deed.
State-specific rules for the warranty deed from husband and wife to corporation in Georgia
Georgia has specific regulations governing the execution and recording of warranty deeds. These rules include:
- The requirement for both spouses to sign the deed, regardless of whose name is on the title.
- Notarization of signatures to verify the identity of the signers.
- Filing the deed with the county clerk's office where the property is located to ensure it is officially recorded.
How to use the warranty deed from husband and wife to corporation in Georgia
Using the warranty deed effectively involves understanding its purpose and execution. It is primarily utilized when a married couple wishes to transfer property ownership to a corporation. This deed can be beneficial for estate planning, business operations, or asset protection. When preparing to use the deed, ensure all legal requirements are met, and consider consulting with a legal professional to navigate any complexities involved in the transaction.
Quick guide on how to complete warranty deed articles of incorporation georgia
Easily prepare warranty deed articles of incorporation georgia on any device
Digital document management has become increasingly popular among businesses and individuals. It offers an excellent eco-friendly substitute to conventional printed and signed documents, allowing you to obtain the necessary form and securely store it online. airSlate SignNow equips you with all the resources needed to create, modify, and eSign your documents swiftly without any hold-ups. Manage warranty deed articles of incorporation georgia on any device using the airSlate SignNow apps for Android or iOS and simplify your document-related tasks today.
The simplest way to modify and eSign warranty deed articles of incorporation georgia effortlessly
- Find warranty deed articles of incorporation georgia and click Get Form to begin.
- Utilize the tools we provide to complete your form.
- Highlight pertinent sections of the documents or obscure sensitive information with tools specifically designed for that purpose by airSlate SignNow.
- Create your eSignature using the Sign tool, which takes moments and carries the same legal validity as a traditional ink signature.
- Review the information and click on the Done button to save your changes.
- Select how you want to share your form—via email, SMS, or invitation link, or download it directly to your PC.
Eliminate the hassle of lost or misplaced documents, tedious form searches, or errors that require printing new document copies. airSlate SignNow meets your document management needs in just a few clicks from any device you prefer. Modify and eSign warranty deed articles of incorporation georgia and ensure excellent communication at every step of the form preparation process with airSlate SignNow.
Create this form in 5 minutes or less
Related searches to warranty deed articles of incorporation georgia
Create this form in 5 minutes!
People also ask warranty deed articles of incorporation georgia
-
What are warranty deed articles of incorporation in Georgia?
Warranty deed articles of incorporation in Georgia serve as legal documents that outline the establishment and operational structure of a corporation. They ensure that the corporate entity is recognized by the state and provide legal proof of ownership and authority. Understanding these documents is crucial for any business looking to operate in Georgia.
-
How does airSlate SignNow facilitate the signing of warranty deed articles of incorporation in Georgia?
airSlate SignNow offers a streamlined platform to eSign warranty deed articles of incorporation in Georgia quickly and securely. Our easy-to-use interface allows you to upload, edit, and send these important documents for signature without the hassle of physical paperwork. This digital solution speeds up the process and enhances document management.
-
What are the pricing options for airSlate SignNow when dealing with warranty deed articles of incorporation in Georgia?
We offer flexible pricing options tailored for businesses of all sizes, ensuring an affordable way to manage warranty deed articles of incorporation in Georgia. You can choose from various subscription plans based on your document signing volume and features needed. Flexible pricing allows businesses to optimize expenses without compromising on quality.
-
Are there any benefits to using airSlate SignNow for warranty deed articles of incorporation in Georgia?
Yes, using airSlate SignNow for warranty deed articles of incorporation in Georgia offers numerous benefits. Businesses can save time and reduce paperwork by signing documents electronically. Additionally, our platform enhances security, enabling users to track document statuses and maintain compliance with legal standards.
-
What features does airSlate SignNow provide for managing warranty deed articles of incorporation in Georgia?
airSlate SignNow includes features such as customizable templates, real-time status tracking, and secure cloud storage specifically for managing warranty deed articles of incorporation in Georgia. These features streamline the document preparation and signing processes, making it easier to collaborate and ensure all necessary steps are completed efficiently.
-
Can airSlate SignNow integrate with other applications for handling warranty deed articles of incorporation in Georgia?
Absolutely! airSlate SignNow offers seamless integrations with popular business applications and platforms, enhancing your workflow for warranty deed articles of incorporation in Georgia. Whether it’s CRM systems, project management tools, or storage solutions, our integrations enable users to work more efficiently and effectively.
-
How secure is the electronic signing of warranty deed articles of incorporation in Georgia on airSlate SignNow?
The electronic signing of warranty deed articles of incorporation in Georgia on airSlate SignNow is highly secure. Our platform uses advanced encryption methods and follows legal standards, ensuring that your documents are protected from unauthorized access. Trust is key, and we prioritize keeping your sensitive information safe.
Get more for warranty deed articles of incorporation georgia
- Travel agency contract template form
- Travel agent contract template form
- Travel contract template form
- Travel nanny contract template form
- Travel agency with client contract template form
- Travel nurse contract template form
- Treatment contract template form
- Travel softball contract template 787756196 form
Find out other warranty deed articles of incorporation georgia
- Help Me With eSign Maine Life Sciences Word
- How Can I eSign Maine Life Sciences Word
- How To eSign Maine Life Sciences Word
- How Do I eSign Maine Life Sciences Word
- Can I eSign Maine Life Sciences Word
- Help Me With eSign Maine Life Sciences Word
- How Can I eSign Maine Life Sciences Word
- Can I eSign Maine Life Sciences Word
- How To eSign Maine Life Sciences Word
- How Do I eSign Maine Life Sciences Word
- How To eSign Maine Life Sciences Document
- How Do I eSign Maine Life Sciences Document
- Help Me With eSign Maine Life Sciences Document
- Help Me With eSign Maine Life Sciences Word
- Can I eSign Maine Life Sciences Document
- How Can I eSign Maine Life Sciences Document
- How Do I eSign Maine Life Sciences Document
- How To eSign Maine Life Sciences Document
- How Can I eSign Maine Life Sciences Word
- How To eSign Maine Life Sciences Document