
Quitclaim Deed from Individual to Two Individuals in Joint Tenancy Idaho Form


What is the Quitclaim Deed From Individual To Two Individuals In Joint Tenancy Idaho
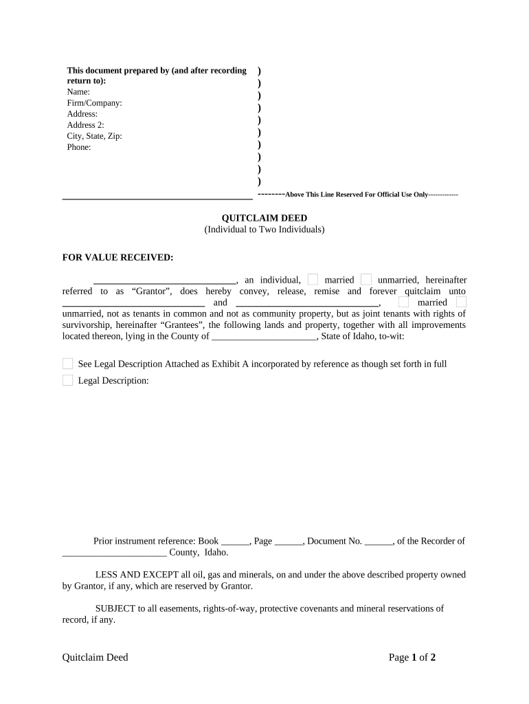
A quitclaim deed from an individual to two individuals in joint tenancy in Idaho is a legal document used to transfer ownership of real property. This type of deed allows the original owner, known as the grantor, to convey their interest in the property to two individuals, referred to as grantees, who will hold the property jointly. In joint tenancy, both individuals have equal rights to the property, and if one owner passes away, their share automatically transfers to the surviving owner, avoiding probate. This deed does not guarantee that the grantor holds clear title to the property, as it merely transfers whatever interest the grantor has.
Steps to complete the Quitclaim Deed From Individual To Two Individuals In Joint Tenancy Idaho
Completing a quitclaim deed in Idaho involves several key steps to ensure the document is valid and legally binding. First, gather the necessary information, including the names of the grantor and grantees, the property description, and the county where the property is located. Next, fill out the quitclaim deed form accurately, ensuring all names are spelled correctly and the property is described in detail. Once completed, the grantor must sign the deed in the presence of a notary public to ensure authenticity. After notarization, the deed should be filed with the appropriate county recorder's office to make the transfer official.
Key elements of the Quitclaim Deed From Individual To Two Individuals In Joint Tenancy Idaho
Several key elements must be included in a quitclaim deed for it to be valid in Idaho. These elements include:
- Grantor's Information: The full name and address of the individual transferring the property.
- Grantees' Information: The full names and addresses of the two individuals receiving the property.
- Property Description: A legal description of the property being transferred, including its address and any relevant parcel number.
- Statement of Joint Tenancy: A clear statement indicating that the property is being held in joint tenancy.
- Signature and Notarization: The grantor's signature must be notarized to validate the deed.
State-specific rules for the Quitclaim Deed From Individual To Two Individuals In Joint Tenancy Idaho
Idaho has specific rules governing the use of quitclaim deeds. The deed must be executed in writing and signed by the grantor. Notarization is required to ensure the authenticity of the signature. Additionally, the deed must be recorded with the county recorder's office where the property is located to provide public notice of the transfer. Idaho law also requires that the deed include a legal description of the property, which can typically be found in the property’s title documents. Failure to comply with these regulations may result in the deed being deemed invalid.
How to use the Quitclaim Deed From Individual To Two Individuals In Joint Tenancy Idaho
The quitclaim deed can be used in various scenarios, such as transferring property between family members, adding a spouse to the property title, or clarifying ownership interests. To use the deed effectively, the grantor should ensure that the transfer aligns with their intentions, particularly regarding joint tenancy rights. It is advisable to consult with a real estate attorney or a legal professional to understand the implications of joint tenancy and ensure that the deed is executed correctly. Once the deed is completed and filed, it serves as legal proof of the ownership transfer.
Legal use of the Quitclaim Deed From Individual To Two Individuals In Joint Tenancy Idaho
The legal use of a quitclaim deed in Idaho is primarily for the transfer of property ownership without warranties. This means the grantor does not guarantee that the title is free of claims or encumbrances. While quitclaim deeds are often used in informal transactions, they are legally binding once executed and recorded. It is essential for both parties to understand the nature of the transfer, especially in joint tenancy, where the rights of survivorship apply. Legal advice may be beneficial to navigate any complexities associated with property ownership and transfer.
Quick guide on how to complete quitclaim deed from individual to two individuals in joint tenancy idaho
Effortlessly Prepare [SKS] on Any Device
Digital document management has become increasingly popular among businesses and individuals alike. It offers an ideal eco-friendly substitute for traditional printed and signed documents, allowing you to find the necessary form and securely store it online. airSlate SignNow provides all the tools required to swiftly create, modify, and eSign your documents without any delays. Manage [SKS] on any device with airSlate SignNow's Android or iOS applications and simplify any document-related process today.
How to Edit and eSign [SKS] with Ease
- Find [SKS] and click Get Form to begin.
- Use the tools we offer to complete your document.
- Highlight important sections of the documents or obscure sensitive information with tools that airSlate SignNow provides explicitly for that purpose.
- Generate your eSignature using the Sign tool, which takes just seconds and carries the same legal validity as a conventional wet ink signature.
- Review all the details and then click the Done button to save your modifications.
- Select how you wish to share your form, whether by email, SMS, or invitation link, or download it to your computer.
Say goodbye to lost or misplaced documents, tedious form searches, or errors that require printing new document copies. airSlate SignNow caters to all your document management needs in just a few clicks from your preferred device. Edit and eSign [SKS] and ensure effective communication at every stage of your form preparation process with airSlate SignNow.
Create this form in 5 minutes or less
Related searches to Quitclaim Deed From Individual To Two Individuals In Joint Tenancy Idaho
Create this form in 5 minutes!
People also ask
-
What is a quitclaim deed from individual to two individuals in joint tenancy Idaho?
A quitclaim deed from individual to two individuals in joint tenancy in Idaho is a legal document that allows one person to transfer their ownership interest in a property to two individuals who hold it jointly. This form of property ownership ensures that upon the death of one owner, the surviving owner automatically retains full ownership. Understanding this deed is crucial for estate planning and property transactions.
-
What are the benefits of using a quitclaim deed in Idaho?
Using a quitclaim deed in Idaho simplifies the transfer process between individuals, especially for joint tenancy arrangements. It is a quick and cost-effective way to relinquish ownership without the need for a formal title search. This type of deed is often used within families or trusts, making it beneficial for estate planning.
-
How does airSlate SignNow assist with quitclaim deeds?
airSlate SignNow provides an easy-to-use platform for creating, sending, and electronically signing quitclaim deeds from individual to two individuals in joint tenancy in Idaho. Our solution ensures that all parties involved can review and sign documents securely and efficiently, streamlining the entire process in a cost-effective manner.
-
What features does SignNow offer for handling quitclaim deeds?
SignNow offers a range of features designed to assist with quitclaim deeds, including customizable document templates, secure electronic signature options, and real-time collaboration tools. Users can easily prepare their quitclaim deed from individual to two individuals in joint tenancy in Idaho and ensure compliance with state regulations.
-
Are there any costs associated with using SignNow for quitclaim deeds?
Yes, while airSlate SignNow is a cost-effective solution, there may be subscription fees associated with its use. These fees can grant access to additional features and functionalities that are beneficial when preparing and managing a quitclaim deed from individual to two individuals in joint tenancy in Idaho.
-
Is it necessary to signNow a quitclaim deed in Idaho?
Yes, in Idaho, a quitclaim deed from individual to two individuals in joint tenancy must be signNowd to be legally binding. This ensures the authenticity of the signatures and protects all parties involved in the transaction. Using airSlate SignNow, you can easily integrate notary services into your workflow.
-
What integrations does SignNow offer that are relevant for quitclaim deeds?
airSlate SignNow offers numerous integrations with popular applications like Google Drive, Dropbox, and Microsoft Office. These integrations can enhance your ability to manage and store quitclaim deeds from individual to two individuals in joint tenancy in Idaho, making document retrieval and sharing seamless.
Get more for Quitclaim Deed From Individual To Two Individuals In Joint Tenancy Idaho
- Application for rural relocation benefit 2009 form
- Frances blayney curtis foundation form
- Form 471 universal service administrative company usac
- State of california health and human services agency denti cal ca form
- Do not file form ct 8857 with your tax return ct
- Confidential rental application form
- Bank of america forms 3rd party authorization
- Bank draft form
Find out other Quitclaim Deed From Individual To Two Individuals In Joint Tenancy Idaho
- Help Me With Sign Texas Healthcare / Medical Form
- Can I Sign Texas Healthcare / Medical Form
- How Can I Sign Texas Healthcare / Medical Form
- How Can I Sign Texas Healthcare / Medical Form
- How To Sign Texas Healthcare / Medical Form
- How Do I Sign Texas Healthcare / Medical Form
- Can I Sign Texas Healthcare / Medical Form
- Can I Sign Texas Healthcare / Medical Form
- Help Me With Sign Texas Healthcare / Medical Form
- How Can I Sign Texas Healthcare / Medical Form
- Can I Sign Texas Healthcare / Medical Form
- How To Sign Texas Healthcare / Medical Form
- How Do I Sign Texas Healthcare / Medical Form
- Help Me With Sign Texas Healthcare / Medical Form
- How Can I Sign Texas Healthcare / Medical Form
- How To Sign Texas Healthcare / Medical Form
- Can I Sign Texas Healthcare / Medical Form
- How Do I Sign Texas Healthcare / Medical Form
- Help Me With Sign Texas Healthcare / Medical Form
- How Can I Sign Texas Healthcare / Medical Form