
General Notice of Default for Contract for Deed Kentucky Form


What is the General Notice Of Default For Contract For Deed Kentucky
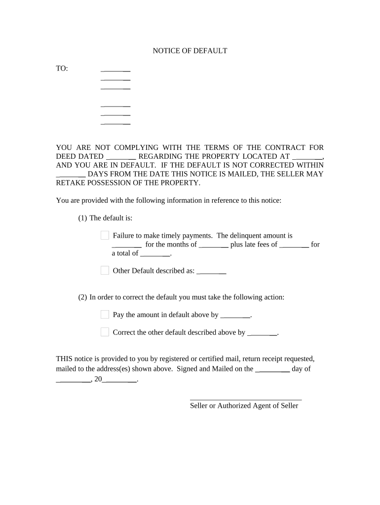
The General Notice of Default for Contract for Deed in Kentucky serves as an official document that notifies a buyer or borrower of their default on a contract for deed. This type of contract is commonly used in real estate transactions where the seller finances the purchase. The notice outlines the specific terms of the default, including the amount owed and the actions required to remedy the situation. It is a crucial step in the process of enforcing the terms of the contract and can lead to further legal actions if not addressed promptly.
How to use the General Notice Of Default For Contract For Deed Kentucky
To effectively use the General Notice of Default for Contract for Deed in Kentucky, the lender or seller must ensure that the document is filled out accurately and delivered to the defaulting party. The notice should clearly state the nature of the default, including any missed payments or breaches of contract. It is important to provide a reasonable timeframe for the borrower to respond or rectify the default. This document not only serves as a formal notification but also establishes a record of the lender's attempts to resolve the issue amicably before pursuing further legal action.
Steps to complete the General Notice Of Default For Contract For Deed Kentucky
Completing the General Notice of Default for Contract for Deed in Kentucky involves several key steps:
- Gather necessary information, including the names of the parties involved, property details, and specifics of the default.
- Fill out the notice form, ensuring that all fields are accurately completed.
- Specify the default amount and any relevant dates, such as the due date of the missed payment.
- Provide instructions for remedying the default, including any deadlines for payment or corrective action.
- Sign and date the notice to validate it as an official document.
- Deliver the notice to the defaulting party via a method that provides proof of receipt, such as certified mail.
Legal use of the General Notice Of Default For Contract For Deed Kentucky
The legal use of the General Notice of Default for Contract for Deed in Kentucky is governed by state laws regarding real estate transactions and contract enforcement. This notice serves as a formal declaration of default, which may be necessary for initiating foreclosure proceedings if the default is not resolved. It is essential for the lender or seller to comply with all legal requirements when issuing this notice to ensure its enforceability in court. Proper documentation and adherence to state-specific regulations are critical to protect the rights of all parties involved.
Key elements of the General Notice Of Default For Contract For Deed Kentucky
Key elements of the General Notice of Default for Contract for Deed in Kentucky include:
- Parties Involved: Names and addresses of both the lender and borrower.
- Property Description: A clear description of the property associated with the contract.
- Details of Default: Specifics regarding the missed payments or breaches of contract.
- Remedy Instructions: Clear guidance on how the borrower can rectify the default.
- Deadline for Response: A specified timeframe for the borrower to address the default.
- Signature: The signature of the lender or their representative to validate the notice.
State-specific rules for the General Notice Of Default For Contract For Deed Kentucky
In Kentucky, state-specific rules govern the issuance and handling of the General Notice of Default for Contract for Deed. These rules dictate the required content of the notice, the method of delivery, and the timeframe allowed for the borrower to respond. It is essential for lenders and sellers to familiarize themselves with Kentucky's real estate laws to ensure compliance. Failure to adhere to these regulations may result in delays or complications in enforcing the contract and could affect the lender's ability to pursue legal remedies.
Quick guide on how to complete general notice of default for contract for deed kentucky
Complete [SKS] effortlessly on any device
Digital document management has become increasingly favored by both organizations and individuals. It offers an ideal environmentally friendly alternative to conventional printed and signed documents, allowing you to locate the necessary template and securely store it online. airSlate SignNow equips you with all the tools required to create, modify, and electronically sign your documents swiftly without delays. Manage [SKS] on any device with airSlate SignNow's Android or iOS applications and enhance any document-related task today.
The easiest way to modify and eSign [SKS] effortlessly
- Locate [SKS] and hit Get Form to begin.
- Utilize the tools we provide to finalize your document.
- Emphasize key sections of your documents or obscure sensitive information with tools specifically designed by airSlate SignNow for this purpose.
- Generate your signature using the Sign tool, which takes mere seconds and carries the same legal authority as a conventional ink signature.
- Review the details and click the Done button to store your modifications.
- Choose how you want to send your document, whether through email, SMS, or invitation link, or download it to your computer.
Put an end to lost or misfiled documents, exhausting form searches, or errors that necessitate creating new document copies. airSlate SignNow meets your document management needs in just a few clicks from any device you prefer. Edit and eSign [SKS] and guarantee effective communication at every stage of your document preparation process with airSlate SignNow.
Create this form in 5 minutes or less
Related searches to General Notice Of Default For Contract For Deed Kentucky
Create this form in 5 minutes!
People also ask
-
What is a General Notice Of Default For Contract For Deed in Kentucky?
A General Notice Of Default For Contract For Deed in Kentucky is a formal notification that informs a party in a contract that they have failed to meet specific obligations. This document is crucial for protecting the interests of the parties involved and to initiate potential legal actions if necessary. Understanding this notice helps in taking timely actions to resolve any issues that may arise during the contract period.
-
How can airSlate SignNow assist me with managing General Notices Of Default For Contract For Deed in Kentucky?
airSlate SignNow provides an easy-to-use platform for drafting, sending, and electronically signing a General Notice Of Default For Contract For Deed in Kentucky. By simplifying the document management process, you can ensure timely notifications to all relevant parties. This helps in maintaining compliance and avoiding potential legal issues related to contract defaults.
-
What features does airSlate SignNow offer for creating legal documents?
With airSlate SignNow, you have access to customizable templates for legal documents, including a General Notice Of Default For Contract For Deed in Kentucky. The platform allows for easy editing, signing in real-time, and automatic storage of documents. These features streamline the legal documentation process, making it efficient and secure.
-
Is airSlate SignNow cost-effective for small businesses needing a General Notice Of Default For Contract For Deed in Kentucky?
Yes, airSlate SignNow offers a cost-effective solution suitable for small businesses that need to issue a General Notice Of Default For Contract For Deed in Kentucky. The pricing plans are designed to make eSignatures accessible without compromising on quality and features. This affordable option helps small businesses manage their legal documents effectively.
-
Can I integrate airSlate SignNow with other software for managing contracts?
Absolutely! airSlate SignNow allows integration with various business applications, enhancing the management of contracts, including the General Notice Of Default For Contract For Deed in Kentucky. This seamless integration ensures that you can automate workflows and improve productivity while managing your documents.
-
What advantages does eSigning a General Notice Of Default For Contract For Deed in Kentucky offer?
eSigning a General Notice Of Default For Contract For Deed in Kentucky provides quick and secure document handling. It eliminates the need for physical paperwork, ensuring that all parties receive immediate notification of any defaults. Additionally, eSigning can help speed up the legal processes associated with contract management.
-
How secure is the document signing process with airSlate SignNow?
The document signing process with airSlate SignNow is highly secure, utilizing advanced encryption standards to protect your documents, including a General Notice Of Default For Contract For Deed in Kentucky. Your data is safeguarded through secure cloud storage and multi-factor authentication options. This level of security ensures that your legal documents remain confidential and safe.
Get more for General Notice Of Default For Contract For Deed Kentucky
- R44 weight and balancepdf 702 helicopter training form
- The northeast guide for estimating staffing at publicly neiwpcc form
- Netball score sheet form
- Metro detroit application form
- Shorthornplus registration form
- Dd 2249 fillable form
- Imm5877e form
- Commonwealth of dominica visa application form haiti
Find out other General Notice Of Default For Contract For Deed Kentucky
- How Do I eSignature Pennsylvania Police Presentation
- How Do I eSignature Pennsylvania Police Presentation
- How To eSignature Pennsylvania Police Presentation
- Help Me With eSignature Pennsylvania Police Presentation
- Help Me With eSignature Pennsylvania Police Presentation
- How Do I eSignature Pennsylvania Police Presentation
- How Can I eSignature Pennsylvania Police Presentation
- How Can I eSignature Pennsylvania Police Presentation
- Can I eSignature Pennsylvania Police Presentation
- Help Me With eSignature Pennsylvania Police Presentation
- Can I eSignature Pennsylvania Police Presentation
- How To eSignature Pennsylvania Police Presentation
- How Do I eSignature Pennsylvania Police Presentation
- How Can I eSignature Pennsylvania Police Presentation
- Help Me With eSignature Pennsylvania Police Presentation
- How Can I eSignature Pennsylvania Police Presentation
- Can I eSignature Pennsylvania Police Presentation
- Can I eSignature Pennsylvania Police Presentation
- How To eSignature Pennsylvania Police Presentation
- How To eSignature Pennsylvania Police Presentation