
Owner's or Seller's Affidavit of No Liens Montana Form


What is the Owner's Or Seller's Affidavit Of No Liens Montana
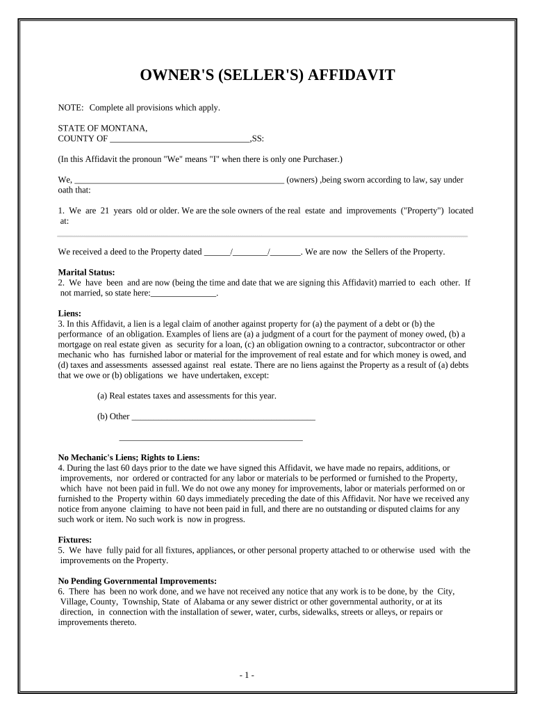
The Owner's or Seller's Affidavit of No Liens in Montana is a legal document that certifies the absence of any liens on a property being sold. This affidavit serves as a declaration by the owner or seller, confirming that there are no outstanding debts or claims against the property that could affect its transfer. It is often required during real estate transactions to ensure that the buyer receives clear title to the property. This document is crucial for protecting the interests of both parties involved in the transaction.
How to use the Owner's Or Seller's Affidavit Of No Liens Montana
Steps to complete the Owner's Or Seller's Affidavit Of No Liens Montana
Completing the Owner's or Seller's Affidavit of No Liens involves several steps:
- Obtain the affidavit form from a reliable source.
- Fill in the required information, including the property address and details of the owner or seller.
- Declare that there are no liens against the property.
- Sign the affidavit in front of a notary public.
- Distribute copies to relevant parties and retain one for your records.
Key elements of the Owner's Or Seller's Affidavit Of No Liens Montana
The key elements of the Owner's or Seller's Affidavit of No Liens include:
- The full name and address of the owner or seller.
- A clear description of the property, including its legal description.
- A statement confirming that no liens exist on the property.
- The date of signing and the signature of the owner or seller.
- The notary public's signature and seal, confirming the authenticity of the affidavit.
Legal use of the Owner's Or Seller's Affidavit Of No Liens Montana
The legal use of the Owner's or Seller's Affidavit of No Liens in Montana is to provide assurance to buyers and lenders that the property is free from any encumbrances. This document can be presented during the closing process of a real estate transaction. If the affidavit is found to be false or misleading, the signer may face legal consequences, including potential lawsuits from the buyer or financial institutions involved.
State-specific rules for the Owner's Or Seller's Affidavit Of No Liens Montana
In Montana, the Owner's or Seller's Affidavit of No Liens must adhere to specific state regulations. It must be notarized to be considered valid. Additionally, the affidavit should be filed with the county clerk and recorder's office if required by local laws. Each county may have its own requirements regarding the format and submission process, so it is advisable to check with local authorities for any additional stipulations.
Quick guide on how to complete owners or sellers affidavit of no liens montana
Effortlessly Prepare [SKS] on Any Device
The popularity of online document management has surged among businesses and individuals alike. It offers an excellent environmentally friendly alternative to traditional printed and signed paperwork, allowing you to access the right form and securely store it online. airSlate SignNow equips you with all the tools necessary to create, modify, and eSign your documents swiftly and without delays. Manage [SKS] on any device using airSlate SignNow's Android or iOS applications and enhance your document-driven processes today.
Easily Edit and eSign [SKS]
- Locate [SKS] and click Get Form to begin.
- Utilize the tools we offer to complete your form.
- Emphasize important sections of your documents or redact sensitive information using the tools specifically provided by airSlate SignNow for that purpose.
- Generate your eSignature with the Sign tool, which takes mere seconds and carries the same legal authority as a conventional pen-and-ink signature.
- Review the details and click on the Done button to save your modifications.
- Choose your preferred method for submitting your form, whether by email, SMS, or invitation link, or download it to your computer.
Say goodbye to lost or misplaced files, tedious form searching, or errors that necessitate creating new document copies. airSlate SignNow addresses all your document management needs in just a few clicks from any device you prefer. Edit and eSign [SKS] while ensuring exceptional communication throughout the document preparation process with airSlate SignNow.
Create this form in 5 minutes or less
Related searches to Owner's Or Seller's Affidavit Of No Liens Montana
Create this form in 5 minutes!
People also ask
-
What is an Owner's Or Seller's Affidavit Of No Liens Montana?
An Owner's Or Seller's Affidavit Of No Liens Montana is a legal document used to declare that a property or asset is free of any liens. This affidavit is crucial when selling property, ensuring that buyers are aware there are no outstanding claims against it. Utilizing airSlate SignNow allows for easy creation and eSigning of this document to streamline the process.
-
How can I create an Owner's Or Seller's Affidavit Of No Liens Montana using airSlate SignNow?
Creating an Owner's Or Seller's Affidavit Of No Liens Montana with airSlate SignNow is simple. You can use our intuitive online editor to fill in the necessary details and customize the document as needed. This user-friendly platform ensures your affidavit is generated accurately and meets legal requirements.
-
What are the benefits of using airSlate SignNow for my Owner's Or Seller's Affidavit Of No Liens Montana?
Using airSlate SignNow for your Owner's Or Seller's Affidavit Of No Liens Montana offers numerous benefits, including efficiency and ease of use. You can complete and eSign documents from any device, ensuring convenience. Moreover, our secure platform provides peace of mind, as your sensitive information is protected.
-
Is there a cost associated with creating an Owner's Or Seller's Affidavit Of No Liens Montana through airSlate SignNow?
Yes, there is a cost associated with using airSlate SignNow, but it remains affordable and competitive. We offer different pricing plans depending on your needs, which include features for document management and eSigning. This makes it an economical solution for obtaining your Owner's Or Seller's Affidavit Of No Liens Montana.
-
Can I integrate airSlate SignNow with other applications for my Owner's Or Seller's Affidavit Of No Liens Montana?
Absolutely! airSlate SignNow allows for easy integration with numerous applications, enhancing your workflow. Whether you use CRMs, document storage services, or other business tools, you can streamline the process for your Owner's Or Seller's Affidavit Of No Liens Montana seamlessly.
-
How does airSlate SignNow ensure the legality of my Owner's Or Seller's Affidavit Of No Liens Montana?
airSlate SignNow complies with legal standards for electronic signatures, ensuring your Owner's Or Seller's Affidavit Of No Liens Montana is legally binding. Our platform follows secure protocols to maintain document integrity and authenticity, which is crucial in legal transactions.
-
What if I have questions while creating my Owner's Or Seller's Affidavit Of No Liens Montana?
If you have questions while creating your Owner's Or Seller's Affidavit Of No Liens Montana, airSlate SignNow offers comprehensive customer support. Our team is available to assist you with any concerns, ensuring that your document creation process is as smooth as possible.
Get more for Owner's Or Seller's Affidavit Of No Liens Montana
Find out other Owner's Or Seller's Affidavit Of No Liens Montana
- How Do I eSignature Nebraska Orthodontists PDF
- How To eSignature Nebraska Orthodontists PDF
- Help Me With eSignature Nebraska Orthodontists PDF
- How Can I eSignature Nebraska Orthodontists PDF
- Can I eSignature Nebraska Orthodontists PDF
- How To eSignature Nebraska Orthodontists PDF
- How Do I eSignature Nebraska Orthodontists PDF
- Help Me With eSignature Nebraska Orthodontists PDF
- How Can I eSignature Nebraska Orthodontists PDF
- Can I eSignature Nebraska Orthodontists PDF
- How To eSignature Nebraska Orthodontists PDF
- How Do I eSignature Nebraska Orthodontists PDF
- Help Me With eSignature Nebraska Orthodontists PDF
- How Can I eSignature Nebraska Orthodontists PDF
- Can I eSignature Nebraska Orthodontists PDF
- How To eSignature Nebraska Orthodontists PDF
- How To eSignature Nebraska Orthodontists PDF
- How Do I eSignature Nebraska Orthodontists PDF
- How Do I eSignature Nebraska Orthodontists PDF
- Help Me With eSignature Nebraska Orthodontists PDF